Frank ICSE Class 10 Physics Solutions Force, Work, Energy and Power
Formulae Handbook For ICSE Class 9 and 10Educational Loans in India
Icse class 10 Physics study material Force, Work, Energy and Power
Force, Work, Energy and Power Contact and Non-Contact Forces
PAGE NO-10:
Solution 1
A force is that physical force which changes or tends to change the state of rest or state of motion of the body. It can start or stop the body. It can change the speed or direction or both of body. It can bring about change in dimensions of the body.
Solution 2
Contact forces are forces which come into play when the bodies come into physical contact with each other, e.g. frictional forces, force of normal reaction. These forces are produced by way of action and reaction.
Solution 3
Non-contact forces are forces which act on the bodies through the empty space without coming into any physical contact. Also known as action at a distance force or field forces, for example: gravitational forces, electrostatic forces.
Solution 4
(i) We push a door to close it.
(ii) A railway engine pulls a train
(iii) The force that a passenger applies to put a luggage on the platform into the train is a lifting force.
(iv) When we try to move heavy roller, it resists our effort to move it.
Solution 5
When a normal spring held between the hands is pulled outward, we stretch it.
Solution 6
we push a piston fitted inside a cylinder containing gas, we compress the gas.
Solution 7
1 kgf = 9.8 newton
Solution 8
The SI unit of force is ‘newton’.
One newton is the force which when acts on a body of mass 1kg, produces an acceleration of 1ms-2, i.e.
1 newton = 1 kg x 1ms-2
Solution 9
In CGS system, the unit of force is ‘dyne’.
1 newton = 1kg x 1 ms-2
= 1000 g x 100 cms-2
= 105 dyne
Solution 10
1 kgf = 9.8 newton
Solution 11
When a balloon is inflated the force of air inside changes it shape or size.
Solution 12
The magnitude of a non-contact force depends upon the distance between the two objects.
Solution 13
When the resultant of a group of forces acting on the same object is zero, the forces are said to be balanced. Balanced forces do not change the speed of stationary objects. They may deform objects.
e.g. An iron ball suspended from a hook by a wire, a book kept on a table.
Solution 14
When the resultant of a group of forces acting on the same object is not equal to zero, the forces are said to be unbalanced. An unbalanced force changes the state of constant velocity including zero velocity of a body on which it acts.
e.g. If you push a ball, it starts to roll; Applying a force to stop a cricket ball.
Solution 15
(i) Contact force
(ii) Non-contact force
(iii) Contact force
(iv) Non-contact force
(v) Non-contact force
Solution 16
1 kgf = force due to gravity on 1 kg mass
= 1 kg mass x acceleration due to gravity g in ms-2
= g newton
1 kgf = 9.8 newton
Solution 17
It means that 1 kgf or one kilogramme force is the force due to gravity on 1 kilogram mass.
Solution 18
Effects a force can produce and examples:
1. Change the state of rest; e.g. pushing a door to open it or close it.
2. Change the state of motion; e.g. applying a force to stop the cricket ball.
3. Change the direction of motion and not speed; e.g. when a force is applied to move a body in a circular path with uniform speed there is only a change in direction of motion but speed remains constant.
4. Change both speed and direction of motion; e.g. when a body is swirled in the vertical circle its direction of motion and speed changes at every point.
5. Change the dimension; when a balloon is inflated the force of air inside changes its shape or size.
ICSE class 10 Physics online tutorials Force, Work, Energy and Power Turning Effect Force And Equillibrium
PAGE NO-21:
Solution 1
The turning effect produced by a force on a rigid body about a point, pivot or fulcrum is called the moment of force or torque. It is measured by the product of force and the perpendicular distance of the pivot from the line of action of force.Moment of a force = Force x perpendicular distance of the pivot from the force.Its SI unit is newton-metre (Nm).
Solution 2
The moment of force is a vector quantity.
Solution 3
Torque
Solution 4
When some force is applied on a rigid body free to move and the body starts moving along a straight path in the direction of force. This is known as linear or translational motion. Points on the rigid body, undergo displacements forming parallel lines and magnitude of displacement is the same for individual point.e.g. the motion of a bullet fired from a gun, a ball thrown straight up and falling back straight down.
Solution 5
If a rigid body is pivoted at a point, then the applied force will rotate the body about the fixed point or about the axis passing through the fixed point. This motion is called rotational motion.e.g. Earth’s rotation about its axis, wheels of car in motion.
Solution 6
1 Nm = 107 dyne cm
Solution 7
The factors on which the moment of force about a point depends are:1. The magnitude of force applied.2. The distance of the line of action of the force from the axis of rotation.
Solution 8
If the turning effect on the body is clockwise, moment of force is called the clockwise moment and is taken as negative.If the turning effect on the body is anticlockwise, moment of force is called the anticlockwise moment and is taken as positive.
Solution 9
(i) If a rigid body is free to move, the applied force will cause translational motion.(ii) If a rigid body moves around a center or is pivoted at a point, the applied force will cause rotational motion.
Solution 10
This is so because near the free end, the distance of the point of application of force from the axis of rotation becomes maximum, so the torque (= Force x perpendicular distance of the pivot from the force) is very large and hence it is easier to open the door.
Solution 11
A long handle facilitates increased torque with small application of force; hence a spanner has a long handle.
Solution 12
A body is said to be in equilibrium under the action of a number of forces, if the forces are not able to produce any change in the state of rest or of uniform motion or uniform rotation.Equilibrium is a state of zero acceleration.
Solution 13
(i) The conditions for static equilibrium are:
(a) The sum of the (vector) forces must equal zero, i.e. ? F = 0
(b) The sum of the torques must equal zero; i.e. ? ? = 0.
(ii) The conditions for dynamic equilibrium are:
(a) The body should have a broad base.
(b) Centre of gravity of the body should be as low as possible.
(c) Vertical line drawn from the centre of gravity should fall within the base of the support.
Examples:Static equilibrium: a box at rest on a floor; there is a gravitational force pulling the object to the earth, but there is also an equal and opposite force applied by the floor to the box (pushing up).
Dynamic equilibrium: A rock travelling across the cosmos, far enough away from any other object (so as not to be affected by gravity – in other words, in zero gravity conditions); the rock continues to travel in a straight line at uniform velocity either for eternity, or until acted upon by an external unbalanced force.
Solution 14
Conditions for equilibrium:
(a) Vector sum of forces acting on the body should be zero.
(b) Algebraic sum of moments acting on the body should be zero.
Solution 15
Principle of moments: If a body is in equilibrium under the action of number of force, then the sum of clockwise moments is equal to the sum of anticlockwise moments.
Solution 16

Solution 17
Examples of couple action in daily life:
(i) Opening and closing the cap of a bottle
(ii) Turning a key in a lock
Solution 18
(i) Force ‘R’ has the least moment about ‘O’ because its perpendicular distance is least from ‘O’.
(ii) Force ‘P’ has the maximum moment about ‘O’ because its perpendicular distance is maximum from ‘O’.
PAGE NO-22:
Solution 19
Two equal and opposite parallel forces acting along different lines on a body constitute a couple.Effect of couple: It produces angular acceleration.
Solution 20
The turning effect of a couple is called the moment of couple and is calculated by the product of either of the forces and the perpendicular distance between them.Its SI unit is Nm.
Solution 21

Solution 22

Solution 23

Solution 24
Conditions of equilibrium for a rigid body:
1. The body should have a broad base.
2. Center of gravity of the body should be as low as possible.
3. Vertical line drawn from the center of gravity should fall within the base ofsupport.
4. Vector sum of forces acting on the body should be zero.
5. Algebraic sum of moments acting on the body should be zero.
Frank ICSE Class 10 Physics Solutions Force, Work, Energy and Power Uniform Circular Motion
PAGE NO-25:
Solution 1
When a particle moves with a constant speed in a circular path, its motion is said to be the uniform circular motion.
Solution 2
In uniform circular motion, a particle travels equal distances along the circular path in equal intervals of time, so the speed of particle is uniform. But the direction of motion of the particle changes at each point of circular path. Due to continuous change in direction of motion, the velocity of the particle is not uniform (or velocity is variable) i.e., the motion is accelerated.
Solution 3
Centripetal force: The force acting on a body moving in a circular path. It acts along the radius of the circle and towards its centre.
Solution 4
The SI unit of centripetal force is newton (N).
Solution 5
Centrifugal force is not a real force, but it is considered to describe (understand) a certain motion. It should not be considered as the force of reaction of centripetal force, although its magnitude is same as that of centripetal force.
Solution 6
In uniform linear motion, the velocity is constant and acceleration is zero i.e., the uniform linear motion is an un-accelerated motion, while in a uniform circular motion the velocity is variable (although speed is uniform), so it is an accelerated motion.
Solution 7
The force needed for circular motion is ‘centripetal force’. This force is always directed towards the centre of circle at each point of its path.
Solution 8
(b) speed
Solution 9
Yes, it is an accelerated motion.
Solution 10
No, the earth moves round the sun with a variable velocity. Since the direction of motion changes at each and every point the velocity becomes variable.
Solution 11
Centripetal force has a reaction force in accordance with the Newton’s third law of motion. This oppositely directed force is called centrifugal force.
Solution 12
Centrifugal force acts away from the centre of circular path.
Frank ICSE Class 10 Physics Solutions Force, Work, Energy and Power Simple machines
PAGE NO-38:
Solution 1
A fixed pulley is used to change the direction of effort to a convenient direction.
Solution 2
A machine whose efficiency is 100% is referred to as an ideal machine.
Solution 3

Solution 4
No, a machine cannot be 100% efficient because mechanical advantage is always less than theoretical mechanical advantage due to friction and the weight of the moving parts.
Solution 5

Solution 6
The purpose of a machine is:(i) To multiply force(ii) To obtain a gain or decrease in speed(iii) To change to direction of application of force in a convenient direction
Solution 7
(i) A jack is used to multiply force.(ii) A lever is used to change the point of application of force.(iii) A pulley is used to change the direction of application of force.(iii) Gears are used to multiply speed.
Solution 8

Solution 9
A block and tackle system of pulleys consists of two blocks of pulleys, each block having one or more than one pulley. The upper block of pulleys is fixed to a rigid support and the lower block of pulleys is movable. The number of pulleys in the movable block is either equal to or one less than the number of pulleys in the fixed block.
Solution 10
When a single pulley is used with a mechanical advantage greater than 1, the effort has to be applied in the upward direction.
Solution 11
In a single fixed pulley, if the effort moves by a distance ‘y’ downwards, the load moves by a distance ‘y’ upwards because the velocity ratio of a single fixed pulley is 1.
Solution 12
A pulley whose axis of rotation is not fixed in position or space is called a movable pulley. Ideally, its M.A. is 2.
Solution 13

Solution 14

PAGE NO-39:
Solution 15
(a) A jack is used to multiply force.
(b) Gears are used to multiply speed.
(c) A pulley is used to change the direction of application of force.
Solution 16
Two uses of pulley:
(i) To change the direction of application of force to a convenient direction.
(ii) To multiply force.Yes, a pulley is a force multiplier
Solution 17

Solution 18

Solution 19
A block and tackle system of pulleys consists of two blocks of pulleys, each block having one or more than one pulley. The upper block of pulleys is fixed to a rigid support and the lower block of pulleys is movable. The number of pulleys in the movable block is either equal to or one less than the number of pulleys in the fixed block.
Solution 20

Solution 21
(i) ‘Gear ratio’ is defined as the ratio between the number of teeth in the driven gear and those on the driving gear.
(ii) A vehicle moving uphill uses a lower gear to increase the torque and to raise velocity ratio i.e., speed decreased.
(iii) Gear ratio, in bicycle is less than one, thus, one rotation of ‘penion’ causes a number of rotations of ‘idler’.
Frank ICSE Class 10 Physics Solutions Force, Work, Energy and Power Uniform Circular Motion
PAGE NO-47:
Solution 1
Force
Solution 2
Yes
Solution 3
Joule
Solution 4
Work
Solution 5
1N, 1m in its own direction
Solution 6
When no net force is applied, the work done which is the dot product of force and displacement is zero.
PAGE NO-48:
Solution 7
The work done is zero because the displacement is zero.
Solution 8

Solution 9
Work is a scalar quantity because it is a measure of transfer of energy without indicating any direction.
Solution 10

Solution 11
The work done by the gravitational force of the earth on a satellite revolving around the earth is zero because the motion of the satellite is perpendicular to the force at every point.
Solution 12

Solution 13

Solution 14
The work done against gravity is zero when a body is moved horizontally along a frictionless surface because the force of gravity is perpendicular to the displacement in this case.
Solution 15
‘Work’ is said to be done when the applied force makes the body move i.e., there is a displacement of body.It is equal to the product of force and the displacement of the point of application of the force in the direction of force.
Solution 16
Work done depends upon:
(i) the magnitude and direction of the applied force, and
(ii) the displacement it produces.
Solution 17
Yes, we perform work against gravity.
Solution 18
The angle should be 90o.
Solution 19
This is because at each point of the circular path, the displacement is perpendicular to the force, which is directed towards the centre, along the radius.
Solution 20
When the angle between the direction of motion and that of the force is 900;W = Fd cos 900 = 0When the angle between the direction of motion and that of the force is 00;W = Fd cos 00 = FdHence in the second case, when the angle is 00; the work done is more.
Solution 21
The displacement of the man and suitcase is along the horizontal direction. Thus, the angle between the displacement and the force of gravity is 900;Thus, W = Fd cos 900 = 0Hence, no work is done against gravity in this case.
Solution 22
When a body moves along a circular path, work done by the gravitational force towards the centre of the path is zero, because the displacement in this case is normal to the gravitational force.
Solution 23
The work done by the gravitational force of the sun on earth during its motion around the sun is zero because at every point, the displacement of earth is perpendicular to the gravitational force of sun i.e.,W = Fd cos 900 = 0
Solution 24
A kilojoule of work is said to done when a force of 1 newton displaces a body through 1000 metres in its own direction.1 kJ = 103 joules
Solution 25
1 MJ = 106 joules
Solution 26
The SI unit of work is joule.1 joule of work is said to be done when a force of 1 newton displaces a body through 1 metre in its own direction.
Solution 27
The SI unit of work is ‘joules’ and the CGS unit is ‘erg’.1 joule = 107 ergThus the ratio is 107: 1
Solution 28

Solution 29

Solution 30
Applied force, displacement in the direction of the applied force.
Solution 31
Examples of work done:
(i) In free fall of a body of mass m, under gravity from a height h, the force of gravity (F=mg) is in the direction of displacement (=h) and the work done by the gravity is mgh.
(ii) A coolie lifting a load does work against gravity.
Solution 32
Work done depends upon:
(i) the magnitude and direction of the applied force, and
(ii) the displacement it produces.
Solution 33

Solution 34
Work done against gravity = mass x acceleration due to gravity x heightOr, W = mgh
Solution 35
The displacement of the man and box is along the horizontal direction. Thus, the angle between the displacement and the force of gravity is 900;Thus, W = Fd cos 900 = 0Hence, no work is done against gravity in this case; however some work is done against friction.
Solution 36
Yes, power is a scalar quantity.
Solution 37
No, every force cannot produce work. Force can produce work if the applied force cause displacement in the direction of the force.
Solution 38
Work is said to be done only when the applied force on a body makes the body move but power is the rate of doing work.The SI unit of work is ‘joules’ and that of power is ‘watt’.
Solution 39
(a) joule, watt
(b) power, energy
(c) work
(d) 107
(e) 746
Solution 40

PAGE NO-49:
Solution 41

Solution 42
Power
Solution 43
Work done depends upon the vertical height and not the path taken, hence if the boy uses a lift to reach the same vertical height, work done will be mgh.
Solution 44
Yes, for e.g. if you push a wall, you apply force on it but no work is done since the displacement is zero.
Solution 45
1 H.P. = 0.746 kW
Solution 46

Solution 47

Solution 48

PAGE NO-72:
Solution 1
When the resultant of a group of forces acting on the same object is zero, the forces are said to be balanced. Balanced forces do not change the speed of stationary objects. They may deform objects.
Solution 2
Yes, force is a vector quantity.
Solution 3
1 kgf = force due to gravity on 1 kg mass = 1 kg mass x acceleration due to gravity g in ms-2 = g newton1 kgf = 9.8 newton
Solution 4
The SI unit of force is ‘newton’.In CGS system, the unit of force is ‘dyne’.1 newton = 105 dyne Therefore, ratio of SI to CGS unit of force is 105 : 1.
Solution 5
Yes, weight is a force.
Solution 6
When we kick a football at rest, it starts moving.
Solution 7
When a balloon is inflated the force of air inside changes it shape or size.
Solution 8
Effects a force can produce and examples:
1. Change the state of rest; e.g. pushing a door to open it or close it.
2. Change the state of motion; e.g. applying a force to stop the cricket ball.
3. Change the direction of motion and not speed; e.g. when a force is applied to move a body in a circular path with uniform speed there is only a change in direction of motion but speed remains constant.
4. Change both speed and direction of motion; e.g. when a body is swirled in the vertical circle its direction of motion and speed changes at every point.
5. Change the dimension; when a balloon is inflated the force of air inside changes its shape or size.
Solution 9
No
Solution 10
No
Solution 11
The turning effect produced by a force on a rigid body about a point, pivot or fulcrum is called the moment of force or torque. It is measured by the product of force and the perpendicular distance of the pivot from the line of action of force.Moment of a force = Force x perpendicular distance of the pivot from the force.Its SI unit is newton-metre (Nm).
Solution 12
The physical quantity is ‘torque’.
Solution 13
The turning effect produced by a force on a rigid body about a point, pivot or fulcrum is called the moment of force or torque. It is measured by the product of force and the perpendicular distance of the pivot from the line of action of force.
Solution 14

Solution 15
SI unit of couple = newtonCGS unit of couple = dyne
Solution 16
No, the moment of force is a vector quantity.
Solution 17
A larger diameter provides a greater torque (= force x perpendicular distance); hence, it is easier to turn a steering wheel of a large diameter than that of a small diameter.
Solution 18
The point through which the resultant of the weights of all the particles of the body acts is called its centre of gravity
Solution 19
A body is said to be in equilibrium under the action of a number of forces, if the forces are not able to produce any change in the state of rest or of uniform motion or uniform rotation.
Solution 20
Principle of moments: If a body is in equilibrium under the action of number of force, then the sum of clockwise moments is equal to the sum of anticlockwise moments.
Solution 21

Solution 22

Solution 23
The point through which the resultant of the weights of all the particles of the body acts is called its centre of gravity
Solution 24
The centre of gravity of a uniform ring is situated at the centre of the ring.
Solution 25
The centre of gravity of a body depends upon:(i) Body’s weight(ii) Body’s shape
Solution 26
Yes, the centre of gravity of a body can be outside it. The CG of a uniform ring is at its centre, a point which is not on the body.
Solution 27

Solution 28
Centripetal force: Whenever a body is moving in a circular path with a uniform speed, its velocity is continuously changing due to change in its direction. The body thus possesses acceleration and this acceleration is called centripetal acceleration. The force which produces this acceleration is called centripetal force. It acts along the radius towards the centre of the circular path.It is not the same as the centrifugal force.
Solution 29
Yes, force can be used to change the size and shape of the body.Example: On squeezing toothpaste tube, its size as well as shape changes.
Solution 30
Characteristics of non-contact forces:
(i) Forces at distance are equal and opposite.
(ii) Depend upon the distance between the two objects.
(iii) Depend upon the medium between the two objects for electrical and magnetic forces but not gravitational forces.
Solution 31
Examples where force can start the motion of a body:
(i) The pulling of a cart by a rope.
(ii) Pushing a door to open it.
Examples where force can stop the motion of a body:
(i) Applying a force to stop a cricket ball.
(ii) Applying the brakes of car to stop it.
Solution 32
The physical quantity is ‘torque’.Torque may be defines as the turning effect produced by a force on a rigid body about a point, pivot or fulcrum. It is measured by the product of force and the perpendicular distance of the pivot from the line of action of force.
Solution 33
Two equal and opposite parallel forces acting along different lines on a body constitute a couple. Its SI unit is ‘newton’.
Solution 34
The turning effect produced by a force on a rigid body about a point, pivot or fulcrum is called the moment of force or torque. It is measured by the product of force and the perpendicular distance of the pivot from the line of action of force.Examples of turning effect of force:
(i) Turning a steering wheel
(ii) Tightening a cap
Solution 35
A body is said to be in equilibrium under the action of a number of forces, if the forces are not able to produce any change in the state of rest or of uniform motion or uniform rotation.
Solution 36
Equilibrium in any case requires the ? forces acting on an object = 0, i.e. that there is Fnet = 0.Static equilibrium is the situation where the object upon which the forces act is no moving. The object is “static” hence the state of equilibrium gets its name.Dynamic equilibrium is the situation where an object is in constant velocity motion.{This object can’t experience an acceleration which means Fnet >0}
Solution 37
When the centre of gravity is nearer to the base of a body, the body is in stable equilibrium. Conditions for stable equilibrium:
(a) The body should have a broad base.
(b) Centre of gravity of the body should be as low as possible.
(c) Vertical line drawn from the centre of gravity should fall within the base of the support.
Solution 38
(a) If both the forces act at the same point of the body, they have the same line of action, and then the moment becomes zero.
(b) If both the forces act at two different points of the body at a separation d then they constitute a torque whose value is given F x d.
PAGE NO-73:
Solution 39

Solution 40
(i) Pulling of a cart.
(ii) A ball falls down when it is dropped from a height
Solution 41

Solution 42

Solution 43

Solution 44

Solution 45

Solution 46
A body is said to be in equilibrium under the action of a number of forces, if the forces are not able to produce any change in the state of rest or of uniform motion or uniform rotation.Conditions for stable equilibrium:
(a) The body should have a broad base.
(b) Centre of gravity of the body should be as low as possible.
(c) Vertical line drawn from the centre of gravity should fall within the base of the support.
Solution 47

Solution 48

Solution 49
(i) We keep our body balanced on two feet by keeping the center of gravity of our body between our feet. It acts normal to the sea level vertically downwards. If COG goes out we fall or we get unbalanced. A boy standing on both legs has his COG in balanced position and is thus in stable equilibrium but a boy standing on one leg has his COG in unbalanced position which makes him quite unstable and hence it is easier to push him.
(ii) A man bends forward in order to keep himself in a stable equilibrium while climbing up a slope. By bending forward he increases the base of the support, so that the vertical line passing through his centre of gravity may still fall within the base.
(iii) When a truck is not fully loaded, its COG is at a high point and hence the turning moment of the weight is much greater, thus, the truck will be quite unstable and there are chances of toppling, when a truck takes a sharp turn.
(iv) When a man gets down from a moving train, his feet come to rest immediately, while the upper part of his body due to inertia of motion still remains in motion and consequently he leans in forward direction. The person while getting down of a train should run forward in the direction of the moving train to avoid fall.
(v) This is due to the fact that the body of the passenger is in the state of rest as long as the bus is at rest. When the bus starts, his feet acquire the velocity of the bus and come to motion with the moving bus, while the upper portion of his body due to inertia of rest tends to remain in the state of rest, resulting in his tendency to fall backwards.
PAGE NO-74:
Solution 50
To increase the stability of a body, its base should be made broad and heavy, and the centre of gravity of the body should be lowered.
Solution 51
(i) Two equal and opposite parallel forces acting along different lines on a body constitute a couple.
(ii)

Solution 52
(i) Leaning tower of Pisa is stable because a line through the centre of gravity falls within the structure’s base. If the line falls outside the structure’s base then there is a possibility that overturning will occur. This structure could be classified as unstable.
(ii) We bend forward in order to keep ourselves in a stable equilibrium while climbing up a hill. By bending forward we increases the base of the support, so that the vertical line passing through our centre of gravity still falls within the base.
(iii) By keeping the legs apart, the base of the body broadens, thus the C.G. lowers and the body attains a more stable equilibrium.
(iv) Passengers are usually advised not to stand in the upper deck of the double deck bus. When the passengers are standing, the C.G. rises. This decreases the stability of the bus. When the passengers are sitting, the C.G. gets lowered and stability of the bus increases.
Solution 53

Solution 54

Solution 55

Solution 56
‘Work’ is said to be done when the applied force makes the body move i.e., there is a displacement of body.It is equal to the product of force and the displacement of the point of application of the force in the direction of force.The SI unit of work is ‘joules’ and the CGS unit is ‘erg’.
Solution 57
(i) [C]
(ii) [A]
(iii) [D]
(iv) [E]
(v) [B]
Solution 58

Solution 59

Solution 60

Solution 61
The energy of a body is its capacity to do work.The SI unit of work is ‘joules’ and the CGS unit is ‘erg’.
Solution 62
When an elevator begins to move downwards in an accelerated mode, the forces acting on the body are the following:a.Weight of the body acting downwardsb.Normal reaction of the floor acting upwardsc.The centrifugal force acting on the body, acting upwards.Weight of the body is due to gravitational force on the body acting downwards.Normal reaction is the force that is exerted by the elevator floor in response to the force with which the body presses itself against the floor.The centrifugal force here is fictious force that acts on the body in the direction opposite to the acceleration of the reference frame, here it is, the elevator floor. It is given by ma, where m is the mass of the body & a is the accelaration of the elevator floor. Centrifugal force is directed opposite to the acceleration of the elevator floor.Weightlessness is the condition of the zero apparent weight. When the acceleration of the elevator is such that the upward centrifugal force Fc completely balances the downward weight Wt. of the body, the resultant normal reaction (N =Fc – Wt.) of the body is reduce dto zero. That’s whene the body on the elevator floor will experience the state of weightlessness.
Solution 63

PAGE NO-75:
Solution 64

Solution 65

Solution 66

Solution 67

Solution 68
The energy of a body is its capacity to do work.The SI unit of work is ‘joules’ and the CGS unit is ‘erg’.According to the law of conservation of energy, energy can neither be created nor be destroyed but can be transformed from one form to another. In other words, energy can be transformed from one form to another but the total amount of all the energies remain the same.
Solution 69
Six forms of energy:
1. Solar energy: The energy radiated by the sun is called the solar energy. Inside the sun, energy is produced by nuclear fusion reaction. Solar energy cannot be used to do work directly, because it is too diffused and is not always uniformly available. However, a number of devices such as solar panels, solar cells etc. have been invented to make use of solar energy.
2. Heat energy: The energy released on burning coal, oil, wood or gas is the heat energy. The stem possesses heat energy it has capacity to do work.
3. Light energy: It is the form of energy in presence of which other objects are seen. The natural source of light energy is sun. Many other sources of heat energy also give light energy.
4. Chemical or fuel energy: The energy possessed by fossil fuels such as coal, petroleum and natural gas is called chemical energy or fuel energy. These fuels are formed from the decayed remains of dead plants and animals that lived millions of years ago. In the interior of earth, due to high pressure and temperature the remains slowly changed into fossil fuels.
5. Hydro energy: The energy possessed by fast moving water is called the hydro energy. This energy is used to generate electricity in hydroelectric power stations. For this, dams are built across the rivers high up in the hills to store water. Water is allowed to run down the pipes and the energy of running water is used to turn a turbine. The turbine drives generators to produce electrical energy.
6. Nuclear energy: The energy released during the processes of nuclear fission and fusion is called nuclear (or atomic) energy. In both these processes, there is loss in mass which converts into energy in accordance with Einstein’s mass-energy relation, E =mc2.
Solution 70
The energy possessed by a body by virtue of its position, shape or change of configuration is called potential energy.Examples of potential energy:
(i) Water stored at a height in a reservoir.
(ii) A stretched spring.
(iii) A bent bow.The energy possessed by a body by virtue of its motion is called kinetic energy.
Examples of kinetic energy:
(i) Air in motion has kinetic energy.
(ii) A swinging pendulum.
(iii) Moving hands of a clock.
Solution 71

Solution 72

Solution 73
(a) Potential energy
(b) Potential energy
(c) Kinetic energy
(d) Potential energy
(e) Kinetic energy
Solution 74

Solution 75

(e) P.E (Wound spring) to K.E. (motion)
PAGE NO-76:
Solution 76
(a) Electric bell
(b) Candle flame
(c) Dry cell
(d) Solar cell
(e) Electric iron
Solution 77

Solution 78

Solution 79

Solution 80

Solution 81
(a) Simple machine: A machine is a device by which we can either overcome a large resistive force at some point by applying a small force at a convenient point and in a desired direction or by which we can obtain a gain in speed.
(b) Lever: A lever is a rigid, straight or bent bar which is capable of turning about a fixed axis.
(c) Mechanical advantage (M.A.): The ratio of the load to the effort is called the mechanical advantage of the machine.
(d) Velocity ratio (V.R.): The ratio of the velocity of effort to the velocity of load is called the velocity ratio of the machine. It is also defined as the ratio of the displacement of effort to the displacement of load.
(e) Efficiency: Efficiency of a machine is the ratio of the useful work done by the machine to the work put into the machine by the effort. In other words, it is the ratio of the work output to the work input.
Solution 82
E.g. of class I lever with M.A. = 1: A physical balance has both arms equal (i.e. effort arm = load arm), thus its M.A. = 1 E.g. of class I lever with M.A. ? 1: A pair of scissors used to cut a piece of cloth has blades longer than the handle (i.e. effort arm is shorter than the load arm), thus its M.A. ? 1.E.g. of class I lever with M.A. ? 1: Shears used for cutting thin metal sheets have much longer handles as compared to the blades (i.e. effort arm is longer than the load arm), thus its M.A. ? 1 and it serves as a force multiplier.
Solution 83

Solution 84

Or, E = 71.4 kgf
Solution 85

Solution 86

Solution 87


ICSE class 10 Physics online tutorials Force, Work, Energy and Power Different Forms,Sources,Conservation And Transformation Of Energy
PAGE NO-68:
Solution 1
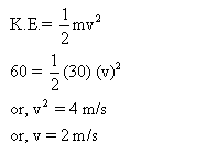
The energy possessed by a body by virtue of its motion is called kinetic energy.
Solution 2
Examples of kinetic energy:
(i) Air in motion has kinetic energy.
(ii) A swinging pendulum
Solution 3
SI unit of energy is ‘joule’.
Solution 4
Work
Solution 5
‘Energy’ is the body’s ability to do work.
Solution 6
Energy is a scalar quantity.
Solution 7

Solution 8
Kinetic energy of a body depends upon:
(i) Mass of the body
(ii) Speed of the body
Solution 9
Yes, if the body is not in motion; it has zero kinetic energy
Solution 10
A moving bullet possesses kinetic energy
Solution 11

Solution 12

Solution 13
Flowing water possesses kinetic energy.
Solution 14

Solution 15
The car should be moving faster because the mass of the car is less than that of the bus.
Solution 16
Its kinetic energy changes with the change in velocity.Velocity becomes zero at the highest point.
Solution 17

Solution 18

Solution 19
The parameters that can change the kinetic energy are:(i) Mass(ii) Speed
Solution 20
A ball at lying at rest on the floor possesses zero kinetic energy.
Solution 21
The energy possessed by a body by virtue of its position, shape or change of configuration is called potential energy.
Solution 22
Potential energy of a body depends upon:
(i) Mass of the body
(ii) Acceleration due to gravity
(iii) Height of the body
Solution 23
SI unit of energy is ‘joules’.
Solution 24

Solution 25
Examples of potential energy:
(i) Water stored at a height in a reservoir.
(ii) A stretched spring.
Solution 26
P.E of a body lying on a floor is zero.
Solution 27
The energy spent by the heart in pumping blood through the body is 1 J per beat.
Solution 28
Potential energy
Solution 29
The work done in winding a clock spring is stored as P.E. in the spring. This P.E. is then used to run the hands of the clock.
Solution 30
P.E. of a body of mass M and at a height H above the earth’s surface is:P.E. = MgH ; here, g = acceleration due to gravity.
Solution 31
P.E. is a scalar quantity.
Solution 32
(i) Potential energy
(ii) Heat energy
(iii) Potential energy
Solution 33
(i) At the height H because the height is maximum.
(ii) At the ground level because the velocity is maximum.
(iii) At half distance of the total path i.e. at height H/2, the P.E. is equal to the K.E.
Solution 34
(a) As the height above the ground increases, the potential energy also increases.
(b) At the highest point, the height of the cricket ball is maximum and hence the potential energy is also maximum.
Solution 35
P.E. is the energy possessed by a body by virtue of its position, shape or configuration but K.E. is the energy possessed by a body by virtue of its velocity or motion.E.g. A ball kept on a cliff possesses P.E. but as soon as it is kicked it possesses K.E.
Solution 36
Whenever one form of energy dissipates or disappears, another form of equivalent amount of energy is produced; this is referred to as transformation of energy.E.g. when a particular switch is pressed electric lamps light up owing to the heat produced in the filament. This is the transformation of electrical energy to heat and light energy.
PAGE NO-69:
Solution 37
No, total energy of a body does not remain constant but the total energy of a closed system remains constant e.g. universe.
Solution 38
Energy is a scalar quantity.
Solution 39
No, we cannot destroy energy associated with a body.
Solution 40
Energy is the capacity or ability of a body to do work or energy is stored work.
Solution 41
The law of conservation of energy states that energy cannot be created or destroyed; the sum total of energy in a closed system remains unchanged. Energy only changes from one form to another.
Solution 42
Potential energy of water stored at a height in dams get converted into the kinetic energy of the flowing water which is used by a turbine.
Solution 43
Two uses of solar cells:
(i) Solar cells are used as energy sources in calculators.
(ii) Solar panels made up of solar cells are used for the purpose of street lights.
Solution 44
The renewable sources of energy are those sources of energy which can be used again and again. E.g. sun, hydro-energy.
Solution 45
The non renewable sources of energy are those sources of energy, which once exhausted are not easily available again. E.g. coal, petroleum products.
Solution 46
Sun is the most abundant source of energy on the earth.
Solution 47
Solar energy is obtained from the sun.
Solution 48
A dry cell converts chemical energy into electrical energy.
Solution 49
A D.C. motor converts electrical energy into mechanical energy.
Solution 50
A dynamo converts mechanical energy into electrical energy.
Solution 51
Four different forms of energy:
(i) Solar energy
(ii) Mechanical energy
(iii) Wind energy
(iv) Nuclear energy
Solution 52
At a thermal power station, nuclear energy is converted into electrical energy.
Solution 53
(i) Electrical energy to sound energy
(ii) Mechanical energy into heat energy.
(iii) Potential energy into kinetic energy and vice-versa.
(iv) Chemical energy obtained from food is converted into mechanical energy and heat energy in muscles.
(v) A dynamo converts mechanical energy into electrical energy.
Solution 54
The rate of doing work is called power.
Solution 55
‘Watt’ is the SI unit of power.
Solution 56
Horse power is the unit of power. The horsepower used for electrical machines is defined as exactly 746 watt.Classically, a horse exerting 1 H.P. can raise 330 pounds of coal 100 feet in a minutes, or 33 pounds of coal 1,000 feet in one minute, or, 1,000 pounds 33 feet in one minute.
Solution 57
If 1 joule of work is done in 1 second, the power is said to be 1 watt.1 H.P. = 746 watt
Solution 58

Solution 59
Power is the physical quantity associated with the ‘rate of doing work’.
Solution 60

Solution 61
Practical or commercial unit of power is kilowatt-hour.
Solution 62
When we wind a watch, the configuration of its spring is changed. The energy stored in the spring is obviously potential in nature (elastic potential to be more accurate).
Solution 63
This heat energy comes from the mechanical energy.
Solution 64
When we rub our hands, mechanical energy is converted into heat energy.
Solution 65
When the head of a nail is struck with a hammer, the mechanical energy of the hammer pushes the nail into the plank of wood and in this process a part of energy is converted into heat energy.
Solution 66

Solution 67

Solution 68

Solution 69

RD Sharma Class 10 Solutions
Video Solutions