Free RD Sharma Class 12 Solutions Relations Chapter 1 Ex 1.2
Relations Ex 1.2 Q1

Relations Ex 1.2 Q2

Relations Ex 1.2 Q3

Relations Ex 1.2 Q4

Relations Chapter 1 Ex 1.2 Q5

Relations Ex 1.2 Q6

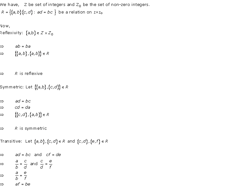
Relations Ex 1.2 Q7

Relations Ex 1.2 Q8

Also, we need to find the set of all elements related to 1.
Since the relation is given by, R={(a,b):a=b}, and 1 is an element of A,
R={(1,1):1=1}
Thus, the set of all elements related to 1 is 1.
Relations Ex 1.2 Q9

Relations Ex 1.2 Q10

Relations Ex 1.2 Q11

Relations Ex 1.2 Q12

Relations Ex 1.2 Q13

Relations Ex 1.2 Q14


Relations Ex 1.2 Q15.

Relations Ex 1.2 Q16.
