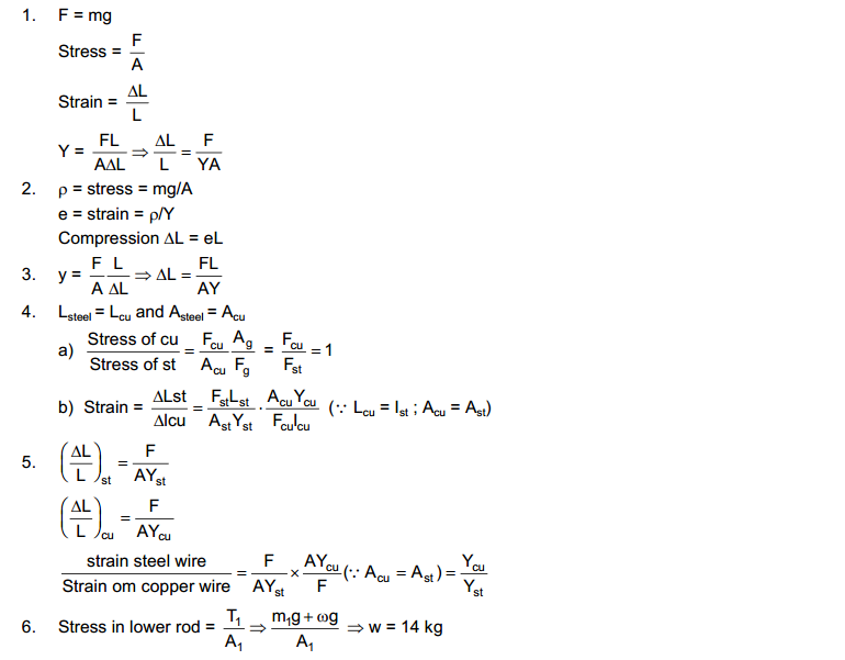
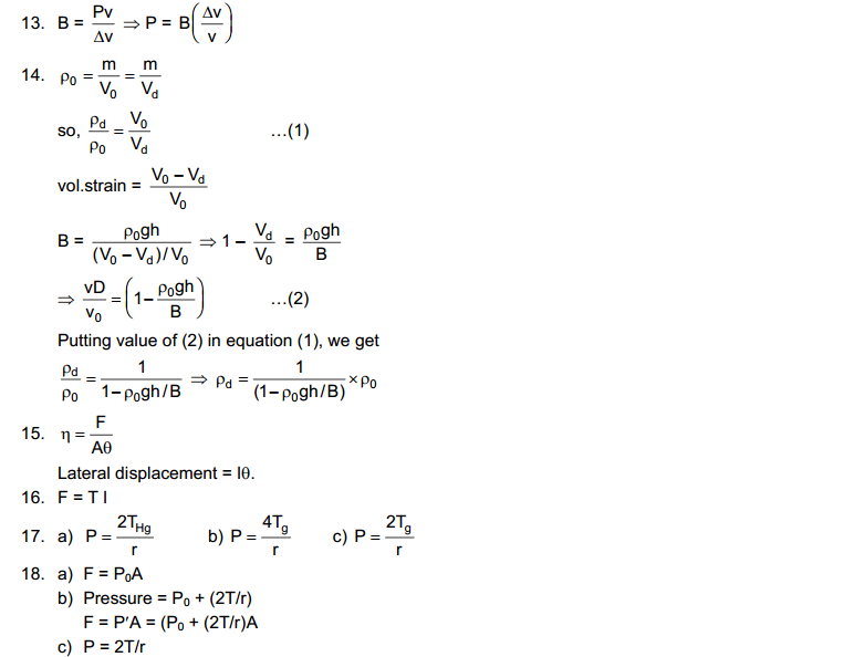
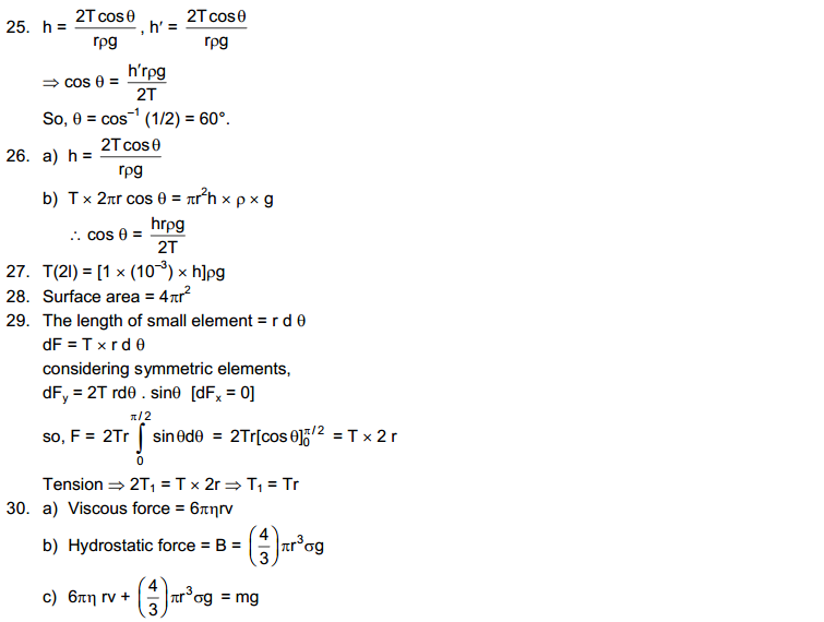
Some Mechanical Properties of Matter HC Verma Concepts of Physics Solutions
Some Mechanical Properties of Matter HC Verma Concepts of Physics Solutions Chapter 14








HC Verma Concepts of Physics NCERT Solutions Home Page
More Resources For Class 11
CBSE Sample Papers For Class 11
RD Sharma Class 11 Solutions
CBSE Class 11 Maths NCERT Solutions
CBSE Class 11 Physics NCERT Solutions
CBSE Class 11 Chemistry NCERT Solutions
CBSE Class 11 Biology NCERT Solutions
CBSE Class 11 Business studies NCERT Solutions
CBSE Class 11 Accountancy NCERT Solutions
CBSE Class 11 English NCERT Solutions