NCERT Solutions for Class 11 Physics Chapter 8 Gravitation are part of Class 11 Physics NCERT Solutions. Here we have given NCERT Solutions for Class 11 Physics Chapter 8 Gravitation.
NCERT Solutions for Class 11 Physics Chapter 8 Gravitation
Topics and Subtopics in NCERT Solutions for Class 11 Physics Chapter 8 Gravitation:
| Section Name | Topic Name |
| 8 | Gravitation |
| 8.1 | Introduction |
| 8.2 | Kepler’s laws |
| 8.3 | Universal law of gravitation |
| 8.4 | The gravitational constant |
| 8.5 | Acceleration due to gravity of the earth |
| 8.6 | Acceleration due to gravity below and above the surface of earth |
| 8.7 | Gravitational potential energy |
| 8.8 | Escape speed |
| 8.9 | Earth satellite |
| 8.10 | Energy of an orbiting satellite |
| 8.11 | Geostationary and polar satellites |
| 8.12 | Weightlessness |
NCERT Solutions Class 11 PhysicsPhysics Sample Papers
QUESTIONS FROM TEXTBOOK
Question 8. 1. Answer the following:
(a) You can shield a charge from electrical forces by putting it inside a hollow conductor. Can you shield a body from the gravitational influence of nearby matter by putting it inside a hollow sphere or by some other means?
(b) An astronaut inside a small spaceship orbiting around the Earth cannot detect gravity. If the space station orbiting around the Earth has a large size, can he hope to detect gravity?
(c) If you compare the gravitational force on the Earth due to the Sun to that due to the Moon, you would find that the Sun’s pull is greater than the Moon’s pull. (You can check this yourself using the data available in the succeeding exercises). However, the tidal effect of the Moon’s pull is greater than the tidal effect of Sun. Why?
Answer: (a) No. Gravitational forces are independent of medium. A body cannot be shielded from the gravitational influence of nearby matter.
(b) Yes. If the size of the spaceship is extremely large, then the gravitational effect of the spaceship may become measurable. The variation in g can also be detected.
(c) Tidal effect depends inversely on the cube of the distance, unlike force which depends inversely on the square of the distance. Since the distance of moon from the ocean water is very small as compared to the distance of sun from the ocean water on earth. Therefore, the tidal effect of Moon’s pull is greater than the tidal effect of the sun.
Question 8. 2. Choose the correct alternative:
(a) Acceleration due to gravity increases/decreases with increasing altitude.
(b) Acceleration due to gravity increases/decreases with increasing depth (assume the Earth to be a sphere of uniform density).
(c) Acceleration due to gravity is independent of the mass of the Earth/mass of the body.
(d) The formula – GMm (1/r2-1/r1) is more/less accurate than the formula mg (r2 – r1) for the difference of potential energy between two points r2 and r1 distance away from the centre of the Earth.
Answer: (a) decreases
(b) decreases
(c) mass of the body
(d) more
More Resources for CBSE Class 11
- NCERT Solutions
- NCERT Solutions Class 11 Maths
- NCERT Solutions Class 11 Physics
- NCERT Solutions Class 11 Chemistry
- NCERT Solutions Class 11 Biology
- NCERT Solutions Class 11 Hindi
- NCERT Solutions Class 11 English
- NCERT Solutions Class 11 Business Studies
- NCERT Solutions Class 11 Accountancy
- NCERT Solutions Class 11 Psychology
- NCERT Solutions Class 11 Entrepreneurship
- NCERT Solutions Class 11 Indian Economic Development
- NCERT Solutions Class 11 Computer Science
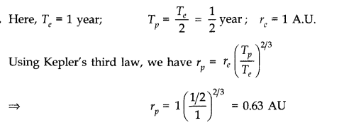
Question 8.3. Suppose there existed a planet that went around the Sun twice as fast as the Earth. What would be its orbital size as compared to that of the Earth?
Answer:

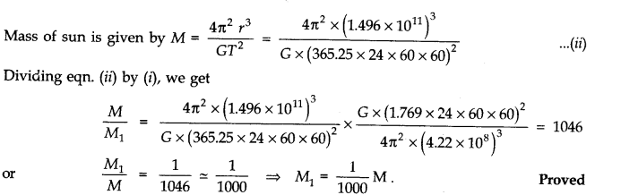
Question 8.4. Io, one of the satellites of Jupiter, has an orbital period of 1.769 days and the radius of the orbit is 4.22 x 108 m. Show that the mass of Jupiter is about one-thousandth that of the Sun.
Answer. For a satellite of Jupiter, orbital period, T1 = 1.769 days = 1.769 x 24 x 60 x 60 s Radius of the orbit of satellite, r1 = 4.22 x 108 m


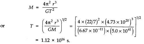
Question 8.5. Let us assume that our galaxy consists of 2.5 x 1011 stars each of one solar mass. How long will a star at a distance of 50,000 ly from the galactic centre take to complete one revolution? Take the diameter of the Milky way to be 105 ly.
Answer: Here, r = 50000 ly = 50000 x 9.46 x 1015 m = 4.73 x 1020 m
M = 2.5 x 1011 solar mass = 2.5 x 1011 x (2 x 1030) kg = 5.0 x 1041kg
We know that

Question 8. 6. Choose the correct alternative:
(a) If the zero of potential energy is at infinity, the total energy of an orbiting satellite is negative of its kinetic/potential energy.
(b) The energy required to launch an orbiting satellite out of Earth’s gravitational influence is more/less than the energy required to project a stationary object at the same height (as the satellite) out of Earth’s influence.
Answer: (a) If the zero of potential energy is at infinity, the total energy of an orbiting satellite is negative of its kinetic energy.
(b) The energy required to launch an orbiting satellite out of Earth’s gravitational influence is less than the energy required to project a stationary object at the same height (as the satellite) out of Earth’s influence.
Question 8.7. Does the escape speed of a body from the Earth depend on (a) the mass of the body, (b) the location from where it is projected, (c) the direction of projection, (d) the height of the location from where the body is launched?
Answer:

(a) The escape speed of a body from the Earth does not depend on the mass of the body.
(b) The escape speed does not depend on the location from where a body is projected.
(c) The escape speed does not depend on the direction of projection of a body.
(d) The escape speed of a body depends upon the height of the location from where the body is projected, because the escape velocity depends upon the gravitational potential at the point from which it is projected and this potential depends upon height also.
Question 8. 8. A comet orbits the Sun in a highly elliptical orbit. Does the comet have a constant (a) linear speed (b) angular speed (c) angular momentum (d) kinetic energy (e) potential energy (f) total energy throughout its orbit? Neglect any mass loss of the comet when it comes very close to the Sun.
Answer: (a) The linear speed of the comet is variable in accordance with Kepler7s second law. When comet is near the sun, its speed is higher. When the comet is far away from the sun, its speed is very less.
(b) Angular speed also varies slightly.
(c) Comet has constant angular momentum.
(d) Kinetic energy does not remain constant.
(e) Potential energy varies along the path.
(f) Total energy throughout the orbit remains constant.
Question 8. 9.Which of the following symptoms is likely to afflict an astronaut in space (a) swollen feet, (b) swollen face, (c) headache, (d) orientational problem.
Answer: (a) The blood flow in feet would be lesser in zero gravity. So, the astronaut will not get swollen feet.
(b) In the conditions of weightlessness, the face of the astronaut is expected to get more supply. Due to it, the astronaut may develop swollen face.
(c) Due to more blood supply to face, the astronaut may get headache.
(d) Space also has orientation. We also have the frames of reference in space. Hence, orientational problem will affect the astronaut in space.
Question 8. 10. In the following two exercises, choose the correct answer from among the given ones: The gravitational intensity at the centre of a hemispherical shell of uniform mass density has the direction indicated by the arrow (see Fig.)
(i) a, (ii) b, (iii) c, (iv) 0.

Answer: At all points inside a hollow spherical shell, potential is same. So, gravitational intensity, which is negative of gravitational potential gradient, is zero. Due to zero gravitational intensity, the gravitational forces acting on any particle at any point inside a spherical shell will be symmetrically placed. It follows from here that if we remove the upper hemispherical shell, the net gravitational force acting on a particle at P will be downwards. Since gravitational intensity is gravitational force per unit mass therefore, the direction of gravitational intensity will be along c. So, option (iii) is correct.
Question 8. 11. For the above problem, the direction of the gravitational intensity at an arbitrary point P is indicated by the arrow (i) d, (ii), e, (iii) f (iv) g.
Answer: Using the explanation given in the solution of the previous problem, the direction of the gravitational field intensity at P will be along e. So, option (ii) is correct.
Question 8. 12. A rocket is fired from the earth towards the sun. At what distance from the earth’s centre is the gravitational force on the rocket zero? Mass of the sun = 2 x 1030 kg, mass of the earth = 6 x 1024 kg. Neglect the effect of other planets etc. (orbital radius = 1.5 x 1011 m).
Answer: Mass of Sun, M = 2 x 1030 kg; Mass of Earth, m = 6 x 1024 kg Distance between Sim and Earth, r = 1.5 x 1011 m
Let at the point P, the gravitational force on the rocket due to Earth

Question 8. 13. How will you ‘weigh the sun’, that is, estimate its mass? The mean orbital radius of the earth around the sun is 1.5 x 108 km.
Answer: The mean orbital radius of the Earth around the Sun
R = 1.5 x 108 km = 1.5 x 1011 m
Time period, T = 365.25 x 24 x 60 x 60 s
Let the mass of the Sun be M and that of Earth be m.

Question 8. 14. A Saturn year is 29.5 times the Earth year. How far is the Saturn from the Sun if the Earth is 1.50 x 108 km away from the Sun?
Answer:


Question 8. 15. A body weighs 63 N on the surface of the Earth. What is the gravitational force on it due to the Earth at a height equal to half the radius of the Earth?
Answer: Let gh be the acceleration due to gravity at a height equal to half the radius of the Earth (h = R/2) and g its value on Earth’s surface. Let the body have mass m.

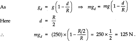
Question 8. 16. Assuming the earth to be a sphere of uniform mass density, how much would a body weigh half way down to the centre of the earth if it weighed 250 N on the surface?
Answer:

Question 8. 17. A rocket is fired vertically with a speed of 5 km s-1 from the earth’s surface. How far from the earth does the rocket go before returning to the earth? Mass of the earth = 6.0 x 1024 kg; mean radius of the earth = 6.4 x 106 m; G = 6.67 x 10-11 N m2 kg-2.
Answer: Initial kinetic energy of rocket = 1/2 mv2 = 1/2 x m x (5000)2 = 1.25 x 107 mJ
At distance r from centre of earth, kinetic energy becomes zero
.•. Change in kinetic energy = 1.25 x 107 – 0 = 1.25 x 107 m J
This energy changes into potential energy.
Initial potential energy at the surface of earth = GMem/’r

Question 8. 18. The escape speed of a projectile on the Earth’s surface is 11.2 km s-1. A body is projected out with thrice this speed. What is the speed of the body far away from the Earth? Ignore the presence of the Sun and other planets.
Answer:

Question 8. 19. A satellite orbits the earth at a height of 400 km above the surface. How much energy must be expended to rocket the satellite out of the earth’s gravitational influence? Mass of the satellite = 200 kg; mass of the earth = 6.0 x 1024 kg; radius of the earth = 6.4 x 106 m; G = 6.67 x 10-11 N m2 kg-2.
Answer:


Question 8. 20. Two stars each of one solar mass (=2 x 1030 kg) are approaching each other for a head on collision.When they are at a distance 109 km, their speeds are negligible. What is the speed with which they collide? The radius of each star is 104 km. Assume the stars to remain undistorted until they collide. (Use the known value of G).
Answer: Here, mass of each star, M = 2 x 1030 kg
Initial potential between two stars, r = 109 km = 1012 m.
Initial potential energy of the system = -GMm/r
Total K.E. of the stars = 1/2Mv2 + 1/2Mv2
where v is the speed of stars with which they collide. When the stars are about to collide, the distance between their centres, r’ = 2 R.
:. Final potential energy of two stars = -GMm/2R
Since gain in K.E. is at the cost of loss in P.E

Question 8. 21. Two heavy spheres each of mass 100 kg and radius 0.10 mare placed 1.0 m apart on ahorizontal table. What is the gravitational field and potential at the mid point of the line joining the centres of the spheres ? Is an object placed at that point in equilibrium ? If so, is the equilibrium stable or unstable?
Answer: Here G = 6.67 x 10-11 Nm2 kg-2; M = 100 kg; R = 0.1 m, distance between the two spheres, d = 1.0 m
Suppose that the distance of either sphere from the mid-point of the line joining their centre is r. Then r=d/2=0.5 m. The gravitational field at the mid-point due to two spheres will be equal and opposite.

Question 8. 22. As you have learnt in the text, a geostationary satellite orbits the Earth at a height of nearly 36,000 km from the surface of the Earth. What is the potential due to Earth’s gravity at the site of this satellite? (Take the potential energy at infinity to be zero). Mass of the Earth = 6.0 x 1024 kg, radius = 6400 km.
Answer: Distance of satellite from the centre of earth = R = r + x
= 6400 + 36000 = 42400 km = 4.24 x 107 m

Question 8. 23. A star 2.5 times the mass of the sun and collapsed to a size of 12 km rotates with a speed of 1.2 rev. per second. (Extremely compact stars of this kind are known as neutron stars. Certain stellar objects called pulsars belong to this category). Will an object placed on its equator remain stuck to its surface due to gravity? (mass of the sun = 2 x 1030 kg).
Answer: Acceleration due to gravity of the star,g= GM/R2 …………(i)
Here M is the mass and R is the radius of the star.
The outward centrifugal force acting on a body of mass m at the equator of the star =mv2/R =mR w2——-(ii)
From equation (i), the acceleration due to the gravity of the star

Since the inward force due to gravity on a body at the equator of the star is about 2.2 million times more than the outward centrifugal force, the body will remain stuck to the surface of the star.
Question 8. 24. A spaceship is stationed on Mars. How much energy must be expended on the spaceship to rocket it out of the solar system? Mass of the spaceship = 1000 kg, Mass of the Sun = 2 x 1030 kg. Mass of the Mars = 6.4 x 1023 kg, Radius of Mars = 3395 km. Radius of the orbit of Mars = 2.28 x 1011 m, G = 6.67 x 10-11 N m2 kg-2.
Answer: Let R be the radius of orbit of Mars and R’ be the radius of the Mars. M be the mass of the Sun and M’ be the mass of Mars. If m is the mass of the space-ship, then Potential energy of space-ship due to gravitational attraction of the Sun = – GM m/R Potential energy of space-ship due to gravitational attraction of Mars = – G M’ m/R’ Since the K.E. of space ship is zero, therefore,

Question 8. 25. A rocket is fired ‘vertically’ from the surface of Mars with a speed of 2 km s-1. If 20% of its initial energy is lost due to Martian atmospheric resistance, how far will the rocket go from the surface of mars before returning to it? Mass of Mars = 6.4 x 1023 kg; radius of Mars = 3395 km; G = 6.67 x 10-11 N m2 kg-2
Answer:


NCERT Solutions for Class 11 Physics All Chapters
- Chapter 1 Physical World
- Chapter 2 Units and Measurements
- Chapter 3 Motion in a Straight Line
- Chapter 4 Motion in a plane
- Chapter 5 Laws of motion
- Chapter 6 Work Energy and power
- Chapter 7 System of particles and Rotational Motion
- Chapter 8 Gravitation
- Chapter 9 Mechanical Properties Of Solids
- Chapter 10 Mechanical Properties Of Fluids
- Chapter 11 Thermal Properties of matter
- Chapter 12 Thermodynamics
- Chapter 13 Kinetic Theory
- Chapter 14 Oscillations
- Chapter 15 Waves
We hope the NCERT Solutions for Class 11 Physics Chapter 8 Gravitation help you. If you have any query regarding NCERT Solutions for Class 11 Physics Chapter 8 Gravitation, drop a comment below and we will get back to you at the earliest.