Limits and Derivatives Class 11 Maths NCERT Solutions are extremely helpful while doing your homework. NCERT Solutions for Class 11 Maths Chapter 13 Limits and Derivatives All Exercises were prepared by Experienced LearnCBSE.in Teachers.
Free download NCERT Solutions for Class 11 Maths Chapter 13 Limits and Derivatives Ex 13.1, Ex 13.2, and Miscellaneous Exercise PDF in Hindi Medium as well as in English Medium for CBSE, Uttarakhand, Bihar, MP Board, Gujarat Board, BIE, Intermediate and UP Board students, who are using NCERT Books based on updated CBSE Syllabus for the session 2019-20.
- Limits and Derivatives Class 11 Ex 13.1
- Limits and Derivatives Class 11 Ex 13.2
- Limits and Derivatives Class 11 Miscellaneous Exercise
- सीमा और अवकलज प्रश्नावली 13.1 का हल हिंदी में
- सीमा और अवकलज प्रश्नावली 13.2 का हल हिंदी में
- सीमा और अवकलज विविध प्रश्नावली का हल हिंदी में
- Limits and Derivatives NCERT Exemplar Class 11 Maths
NCERT Solutions for Class 11 Maths Chapter 13 Limits and Derivatives

Topics and Sub Topics in Class 11 Maths Chapter 13 Limits and Derivatives:
| Section Name | Topic Name |
| 13 | Limits and Derivatives |
| 13.1 | Introduction |
| 13.2 | Intuitive Idea of Derivatives |
| 13.3 | Limits |
| 13.4 | Limits of Trigonometric Functions |
| 13.5 | Derivatives |
NCERT Solutions for Class 11 Maths Chapter 13 Exercise.13.1
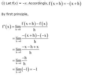
Ex 13.1 Class 11 Maths Question-1
![]()
Ans.

Ex 13.1 Class 11 Maths Question-2

Ans.

More Resources for CBSE Class 11
- NCERT Solutions
- NCERT Solutions Class 11 Maths
- NCERT Solutions Class 11 Physics
- NCERT Solutions Class 11 Chemistry
- NCERT Solutions Class 11 Biology
- NCERT Solutions Class 11 Hindi
- NCERT Solutions Class 11 English
- NCERT Solutions Class 11 Business Studies
- NCERT Solutions Class 11 Accountancy
- NCERT Solutions Class 11 Psychology
- NCERT Solutions Class 11 Entrepreneurship
- NCERT Solutions Class 11 Indian Economic Development
- NCERT Solutions Class 11 Computer Science
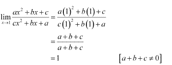
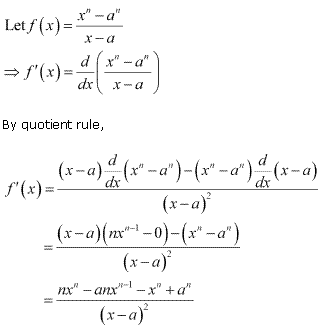
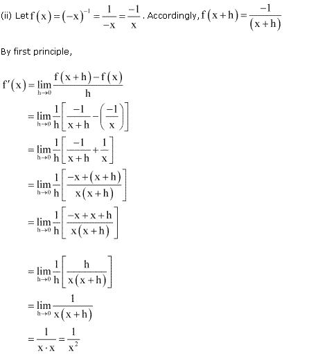
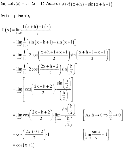
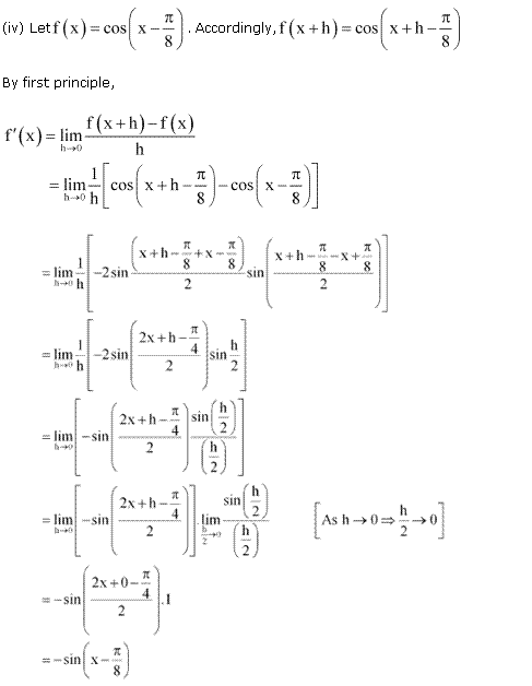
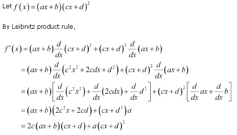
Ex 13.1 Class 11 Maths Question-3
![]()
Ans.
![]()
Ex 13.1 Class 11 Maths Question-4

Ans.

Ex 13.1 Class 11 Maths Question-5

Ans.

Ex 13.1 Class 11 Maths Question-6

Ans.

Ex 13.1 Class 11 Maths Question-7

Ans.

Ex 13.1 Class 11 Maths Question-8

Ans.

Ex 13.1 Class 11 Maths Question-9

Ans.

Ex 13.1 Class 11 Maths Question-10

Ans.

Ex 13.1 Class 11 Maths Question-11

Ans.

Ex 13.1 Class 11 Maths Question-12

Ans.

Ex 13.1 Class 11 Maths Question-13
![]()
Ans.

Ex 13.1 Class 11 Maths Question-14

Ans.

Ex 13.1 Class 11 Maths Question-15

Ans.

Ex 13.1 Class 11 Maths Question-16

Ans.

Ex 13.1 Class 11 Maths Question-17

Ans.

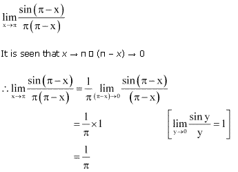
Ex 13.1 Class 11 Maths Question-18
![]()
Ans.

Ex 13.1 Class 11 Maths Question-19
![]()
Ans.

Ex 13.1 Class 11 Maths Question-20

Ans.

Ex 13.1 Class 11 Maths Question-21

Ans.

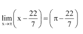
Ex 13.1 Class 11 Maths Question-22

Ans.

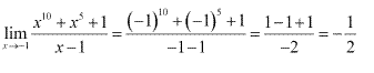
Ex 13.1 Class 11 Maths Question-23

Ans.

Ex 13.1 Class 11 Maths Question-24

Ans.

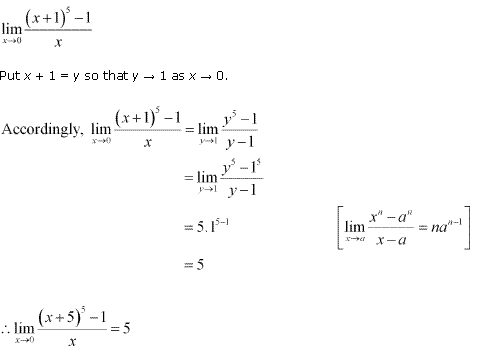
Ex 13.1 Class 11 Maths Question-25

Ans.

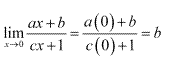
Ex 13.1 Class 11 Maths Question-26

Ans.

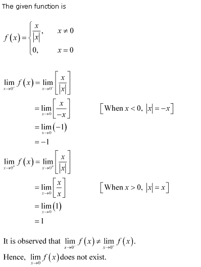
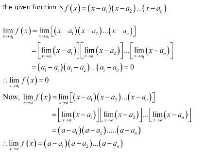
Ex 13.1 Class 11 Maths Question-27
![]()
Ans.

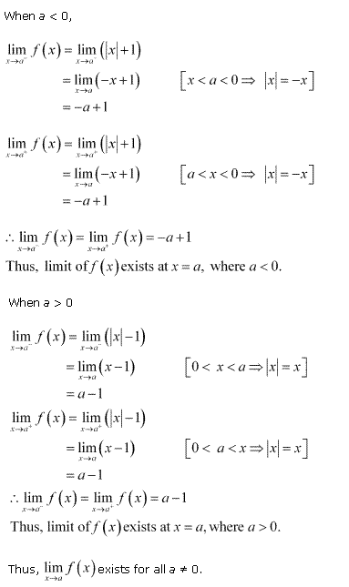
Ex 13.1 Class 11 Maths Question-28

Ans.

Ex 13.1 Class 11 Maths Question-29

Ans.

Ex 13.1 Class 11 Maths Question-30

Ans.


Ex 13.1 Class 11 Maths Question-31

Ans.

Ex 13.1 Class 11 Maths Question-32

Ans.

NCERT Solutions for Class 11 Maths Chapter 13 Limits and Derivatives (सीमा और अवकलज) Hindi medium Ex 13.1


















NCERT Solutions for Class 11 Maths Chapter 13 Exercise.13.2
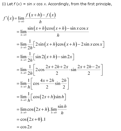
Ex 13.2 Class 11 Maths Question-1
![]()
Ans.

Ex 13.2 Class 11 Maths Question-2
![]()
Ans.

Ex 13.2 Class 11 Maths Question-3
![]()
Ans.

Ex 13.2 Class 11 Maths Question-4

Ans.



Ex 13.2 Class 11 Maths Question-5

Ans.

Ex 13.2 Class 11 Maths Question-6
![]()
Ans.

Ex 13.2 Class 11 Maths Question-7

Ans.


Ex 13.2 Class 11 Maths Question-8

Ans.

Ex 13.2 Class 11 Maths Question-9

Ans.




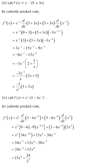
Ex 13.2 Class 11 Maths Question-10
![]()
Ans.

Ex 13.2 Class 11 Maths Question-11

Ans.










Class 11 Maths NCERT Solutions – Miscellaneous Questions
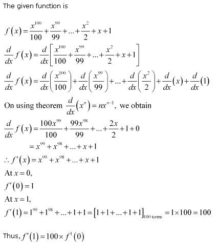
Miscellaneous Exercise Class 11 Maths Question-1

Ans.




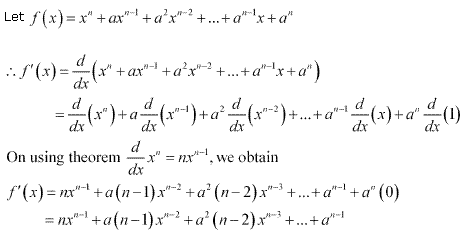
Miscellaneous Exercise Class 11 Maths Question-2
![]()
Ans.

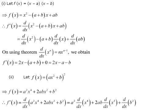
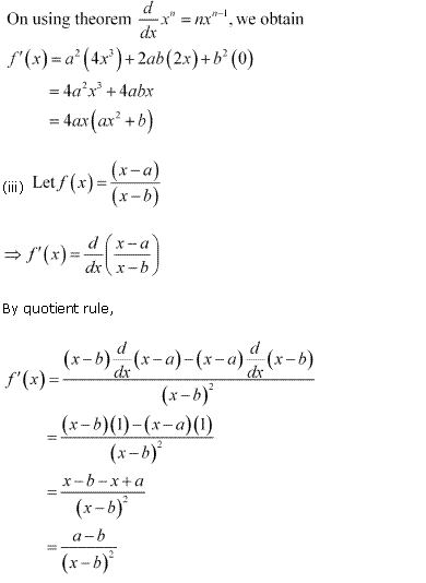
Miscellaneous Exercise Class 11 Maths Question-3

Ans.

Miscellaneous Exercise Class 11 Maths Question-4

Ans.

Miscellaneous Exercise Class 11 Maths Question-5

Ans.

Miscellaneous Exercise Class 11 Maths Question-6

Ans.

Miscellaneous Exercise Class 11 Maths Question-7

Ans.

Miscellaneous Exercise Class 11 Maths Question-8

Ans.

Miscellaneous Exercise Class 11 Maths Question-9

Ans.

Miscellaneous Exercise Class 11 Maths Question-10

Ans.

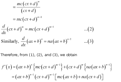
Miscellaneous Exercise Class 11 Maths Question-11
![]()
Ans.

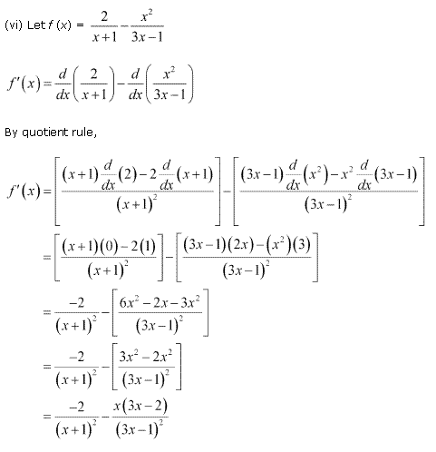
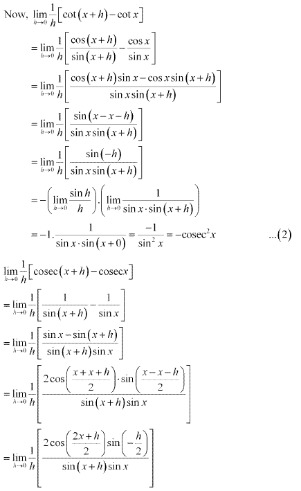
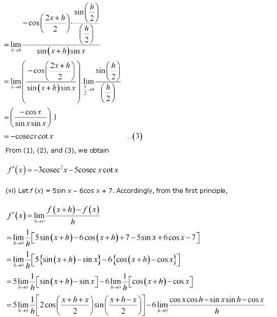
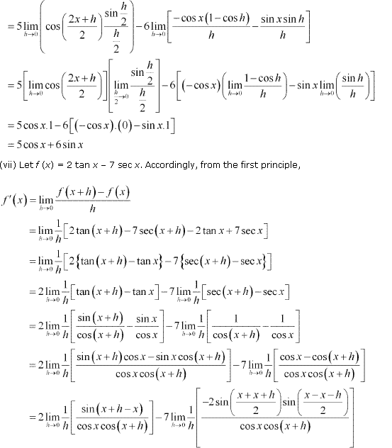
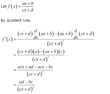
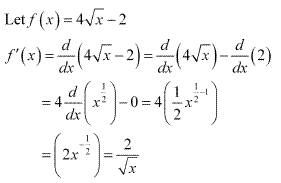
Miscellaneous Exercise Class 11 Maths Question-12
![]()
Ans.

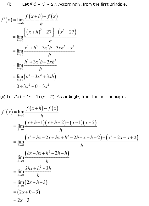
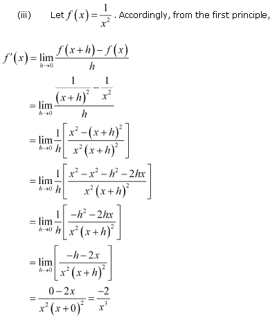
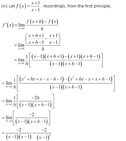
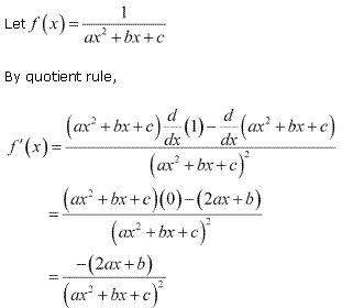
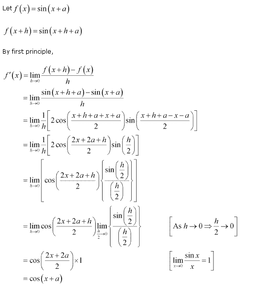
Miscellaneous Exercise Class 11 Maths Question-13

Ans.


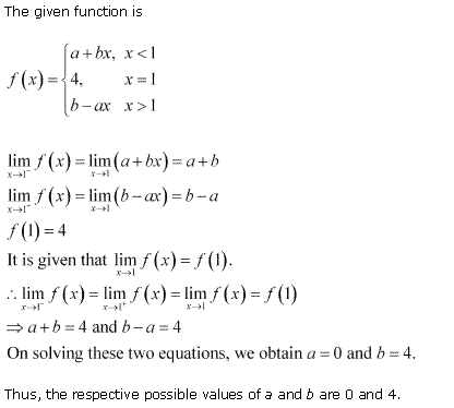
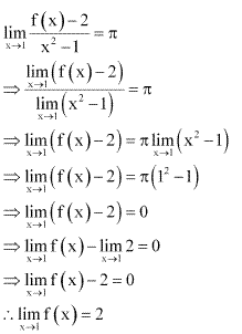
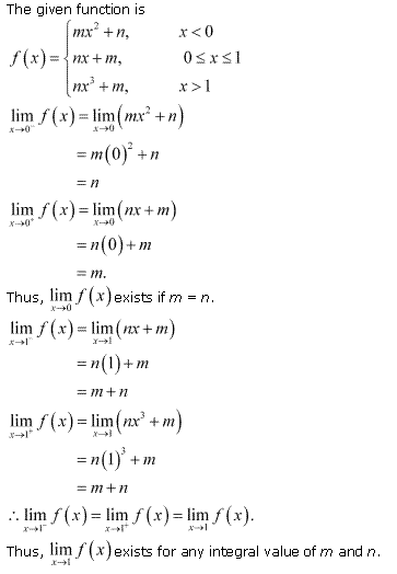
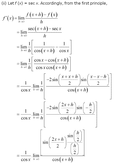
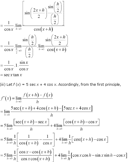
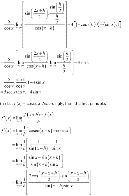
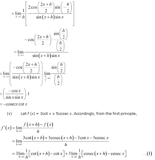
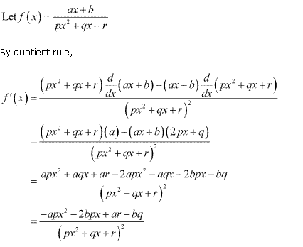
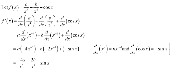
Miscellaneous Exercise Class 11 Maths Question-14
![]()
Ans.

NCERT Solutions for Class 11 Maths All Chapters
- Chapter 1 Sets
- Chapter 2 Relations and Functions
- Chapter 6 Linear Inequalities
- Chapter 7 Permutation and Combinations
- Chapter 8 Binomial Theorem
- Chapter 10 Straight Lines
- Chapter 11 Conic Sections
- Chapter 12 Introduction to Three Dimensional Geometry
- Chapter 13 Limits and Derivatives
- Chapter 14 Mathematical Reasoning
- Chapter 15 Statistics
- Chapter 16 Probability