Get Free NCERT Solutions for Class 10 Maths Chapter 5 Ex 5.3 PDF. Arithmetic Progressions Class 10 Maths NCERT Solutions are extremely helpful while doing your homework. Exercise 5.3 Class 10 Maths NCERT Solutions were prepared by Experienced LearnCBSE.in Teachers. Detailed answers of all the questions in Chapter 5 Maths Class 10 Arithmetic Progressions Exercise 5.3 provided in NCERT TextBook.
Topics and Sub Topics in Class 10 Maths Chapter 5 Arithmetic Progressions:
| Section Name | Topic Name |
| 5 | Arithmetic Progressions |
| 5.1 | Introduction |
| 5.2 | Arithmetic Progressions |
| 5.3 | Nth Term Of An AP |
| 5.4 | Sum Of First N Terms Of An AP |
| 5.5 | Summary |
- Class 10 Maths Arithmetic Progressions Ex 5.1
- प्रश्नावली 5.1 का हल हिंदी में
- Class 10 Maths Arithmetic Progressions Ex 5.2
- प्रश्नावली 5.2 का हल हिंदी में
- Class 10 Maths Arithmetic Progressions Ex 5.3
- प्रश्नावली 5.3 का हल हिंदी में
- Class 10 Maths Arithmetic Progressions Ex 5.4
- प्रश्नावली 5.4 का हल हिंदी में
You can also download the free PDF of Ex 5.3 Class 10 Arithmetic Progressions NCERT Solutions or save the solution images and take the print out to keep it handy for your exam preparation.
| Board | CBSE |
| Textbook | NCERT |
| Class | Class 10 |
| Subject | Maths |
| Chapter | 5 |
| Chapter Name | Arithmetic Progressions |
| Exercise | Ex 5.3 |
| Number of Questions Solved | 20 |
| Category | NCERT Solutions |
NCERT Solutions for Class 10 Maths Chapter 5 Arithmetic Progressions Ex 5.3
NCERT Solutions for Class 10 Maths Chapter 5 Arithmetic Progressions Ex 5.3 are part of NCERT Solutions for Class 10 Maths. Here we have given NCERT Solutions for Class 10 Maths Chapter 5 Arithmetic Progressions Exercise 5.3
Ex 5.3 Class 10 Maths Question 1.
Find the sum of the following APs:
(i) 2, 7, 12,…… to 10 terms.
(ii) -37, -33, -29, …… to 12 terms.
(iii) 0.6, 1.7, 2.8, ……, to 100 terms.
(iv) \(\frac { 1 }{ 15 }\), \(\frac { 1 }{ 12 }\), \(\frac { 1 }{ 10 }\), …….., to 11 terms.
Solution:


Ex 5.3 Class 10 Maths Question 2.
Find the sums given below:
(i) 7 + 10\(\frac { 1 }{ 2 }\) + 14 + … + 84
(ii) 34 + 32 + 30 + … + 10
(iii) -5 + (-8) + (-11) + ….. + (-230)
Solution:

Download NCERT Solutions For Class 10 Maths Chapter 5 Arithmetic Progressions PDF
Ex 5.3 Class 10 Maths Question 3.
In an AP:
(i) given a = 5, d = 3, an = 50, find n and Sn.
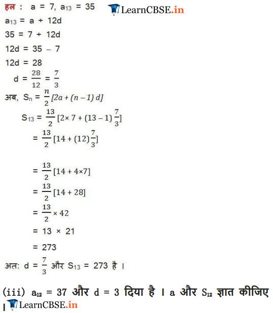
(ii) given a = 7, a13 = 35, find d and S13.
(iii) given a12 = 37, d = 3, find a and S12.
(iv) given a3 = -15, S10 = 125, find d and a10.
(v) given d = 5, S9 = 75, find a and a9.
(vi) given a = 2, d = 8, Sn = 90, find n and an.
(vii) given a = 8, an = 62, Sn = 210, find n and d.
(viii) given an = 4, d = 2, Sn = -14, find n and a.
(ix) given a = 3, n = 8, S = 192, find d.
(x) given l = 28, S = 144, and there are total 9 terms. Find a.
Solution:






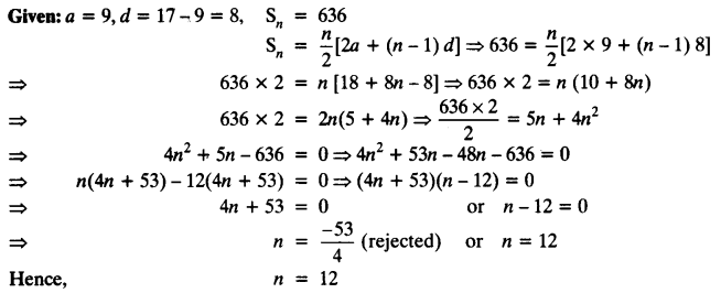
Ex 5.3 Class 10 Maths Question 4.
How many terms of AP: 9, 17, 25, … must be taken to give a sum of 636?
Solution:

Ex 5.3 Class 10 Maths Question 5.
The first term of an AP is 5, the last term is 45 and the sum is 400. Find the number of terms and the common difference.
Solution:

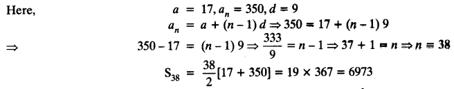
Ex 5.3 Class 10 Maths Question 6.
The first and the last terms of an AP are 17 and 350 respectively. If the common difference is 9, how many terms are there and what is their sum?
Solution:

Ex 5.3 Class 10 Maths Question 7.
Find the sum of first 22 terms of an AP in which d = 7 and 22nd term is 149.
Solution:

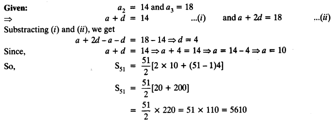
Ex 5.3 Class 10 Maths Question 8.
Find the sum of first 51 terms of an AP whose second and third terms are 14 and 18 respectively.
Solution:

Ex 5.3 Class 10 Maths Question 9.
If the sum of first 7 terms of an AP is 49 and that of 17 terms is 289, find the sum of first n terms.
Solution:

Ex 5.3 Class 10 Maths Question 10.
Show that a1, a2, ……. an,…… form an AP where an is defined as below:
(i) an = 3 + 4n
(ii) an = 9 – 5n
Also find the sum of the first 15 terms in each case.
Solution:

Ex 5.3 Class 10 Maths Question 11.
If the sum of the first n terms of an AP is 4n – n2, what is the first term (that is S1)? What is the sum of first two terms? What is the second term? Similarly, find the 3rd, the 10th and the nth terms.
Solution:

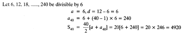
Ex 5.3 Class 10 Maths Question 12.
Find the sum of the first 40 positive integers divisible by 6.
Solution:

Ex 5.3 Class 10 Maths Question 13.
Find the sum of the first 15 multiples of 8.
Solution:

Ex 5.3 Class 10 Maths Question 14.
Find the sum of the odd numbers between 0 and 50.
Solution:

Ex 5.3 Class 10 Maths Question 15.
A contract on construction job specifies a penalty for delay of completion beyond a certain date as follows:
₹ 200 for the first day, ₹ 250 for the second day, ₹ 300 for the third day, etc. the penalty for each succeeding day being ₹ 50 more than for the preceding day. How much money the contractor has to pay as penalty, if he has delayed the work by 30 days?
Solution:

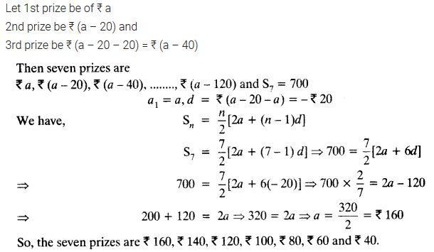
Ex 5.3 Class 10 Maths Question 16.
A sum of ₹ 700 is to be used to give seven cash prizes to students of a school for their overall academic performance. If each prize is ₹ 20 less than its preceding prize, find the value of each of the prizes.
Solution:

Ex 5.3 Class 10 Maths Question 17.
In a school, students thought of planting trees in and around the school to reduce air pollution. It was decided that the number of trees, that each section of each class will plant, will be the same as the class, in which they are studying, eg. a section of Class I will plant 1 tree, a section of Class II will plant 2 trees and so on till Class XII. There are three sections of each class. How many trees will be planted by the students?
Solution:

Ex 5.3 Class 10 Maths Question 18.
A spiral is made up of successive semicircles, with centres alternately at A and B, starting with centre at A, of radii 0.5 cm, 1.0 cm, 1.5 cm, 2.0 cm,… as shown in figure. What is the total length of such a spiral made up of thirteen consecutive semicircles?
(Take π = \(\frac { 22 }{ 7 }\))
[Hint: Length of successive semicircles is l1, l2, l3, l4, … with centres at A, B, respectively.]

Solution:

Ex 5.3 Class 10 Maths Question 19.
200 logs are stacked in the following manner 20 logs in the bottom row, 19 in the next row, 18 in the row next to it and so on (see Figure). In how many rows are the 200 logs placed and how many logs are in the top row?

Solution:

Ex 5.3 Class 10 Maths Question 20.
In a potato race, a bucket is placed at the starting point, which is 5 m from the first potato, and the other potatoes are placed 3 m apart in a straight line. There are ten potatoes in the line

A competitor starts from the bucket, picks up the nearest potato, runs back with it, drops it in the bucket, runs back to pick up the next potato, runs to the bucket to drop it in, and she continues in the same way until all the potatoes are in the bucket. What is the total distance the competitor has to run?
Solution:

CLASS 10 MATHS CHAPTER 5 EXERCISE 5.3 AP SOLUTIONS IN HINDI









































NCERT Solutions for Class 10 Maths
- Chapter 3 Pair of Linear Equations in Two Variables
- Chapter 5 Arithmetic Progressions
- Chapter 6 Triangles
- Chapter 7 Coordinate Geometry
- Chapter 8 Introduction to Trigonometry
- Chapter 9 Some Applications of Trigonometry
- Chapter 10 Circles
- Chapter 11 Constructions
- Chapter 12 Areas Related to Circles
- Chapter 13 Surface Areas and Volumes
- Chapter 14 Statistics
- Chapter 15 Probability
We hope the NCERT Solutions for Class 10 Maths Chapter 5 Arithmetic Progressions Ex 5.3, help you. If you have any query regarding NCERT Solutions for Class 10 Maths Chapter 5 Arithmetic Progressions Exercise 5.3, drop a comment below and we will get back to you at the earliest.