NCERT Solutions for Class 11 Chemistry Chapter 8 Redox Reactions
Topics and Subtopics in NCERT Solutions for Class 11 Chemistry Chapter 8 Redox Reactions:
| Section Name | Topic Name |
| 8 | Redox Reactions |
| 8.1 | Classical Idea of Redox Reactions-Oxidation and Reduction Reactions |
| 8.2 | Redox Reactions in Terms of Electron Transfer Reactions |
| 8.3 | Oxidation Number |
| 8.4 | Redox Reactions and Electrode Processes |
NCERT Solutions Class 11 ChemistryChemistry Lab ManualChemistry Sample Papers
Class 11 Chemistry NCERT Solutions Chapter 8
Question 1. Assign oxidation number to the underlined elements in each of the following species:

Answer:


Question 2. What are the oxidation number of the underlined elements in each of the following and how do you rationalise your results ?
![]()
Answer: (a) In Kl3, since the oxidation number of K is +1, therefore, the average oxidation number of iodine = -1/3. But the oxidation number cannot be fractional. Therefore, we must consider its structure, K+[I —I <— I]–. Here, a coordinate bond is formed between I2 molecule and I– ion. The oxidation number of two iodine atoms forming the I2 molecule is zero while that of iodine forming the coordinate bond is -1. Thus, the O.N. of three I atoms, atoms in Kl3 are 0, 0 and -1 respectively.

More Resources for CBSE Class 11
- NCERT Solutions
- NCERT Solutions Class 11 Maths
- NCERT Solutions Class 11 Physics
- NCERT Solutions Class 11 Chemistry
- NCERT Solutions Class 11 Biology
- NCERT Solutions Class 11 Hindi
- NCERT Solutions Class 11 English
- NCERT Solutions Class 11 Business Studies
- NCERT Solutions Class 11 Accountancy
- NCERT Solutions Class 11 Psychology
- NCERT Solutions Class 11 Entrepreneurship
- NCERT Solutions Class 11 Indian Economic Development
- NCERT Solutions Class 11 Computer Science
Question 3. Justify that the following reactions are redox reactions:
(a) CuO(s) + H2(g) —–> Cu(s) + H20(g)
(b) Fe2O3(s) +3CO(g) —-> 2Fe(s) + 3CO2(g)
(c) 4BCl3(g) +3LiAlH4(s) ——> 2B2H6(g) + 3LiCl(s) + 3AlCl3(s)
(d) 2K(s) +F2(g)——> 2K+F–(s)
Answer:
![]()
Here, O is removed from CuO, therefore, it is reduced to Cu while O is added to H2 to form H20, therefore, it is oxidised. Further, O.N. of Cu decreases from + 2 in CuO to 0 in Cu but that of H increases from 0 in H2 to +1 in H20. Therefore, CuO is reduced to Cu but H2 is oxidised to H20. Thus, this is a redox reaction.

Here O.N. of Fe decreases from +3 if Fe2O3 to 0 in Fe while that of C increases from +2 in CO to +4 in CO2. Further, oxygen is removed from Fe2O3 and added to CO, therefore, Fe2O3 is reduced while CO is oxidised. Thus, this is a redox reaction.

Here, O.N. of B decreases from +3 in BrCl3to -3 in B2H6 while that of H increases from -1 in LiAlH4to +1 in B2H6. Therefore, BCl3 is reduced while LiAlH4 is oxidised. Further, H is added to BCl3 but is removed from LiAlH4, therefore, BC13 is reduced while LiAlH4 is oxidised. Thus, it is a redox reaction.
Here, each K atom as lost one electron to form K+ while F2 has gained two electrons to form two F– ions. Therefore, K is oxidised while F2 is reduced. Thus, it is a redox reaction.
By chemical bonding, C2 is attached to three H-atoms (less electronegative than carbon) and one CH2OH group (more electronegative than carbon), therefore,

O.N. of C2 = 3 (+1) + x + 1 (-1) = 0 or x = -2 C2 is, however, attached to one OH (O.N. = -1) and one CH3 (O.N. = +1) group, therefore, O.N. of C4 = + 1 + 2 (+1) + x + 1 (-1) = 0 or x = -2
Question 4. Fluorine reacts with ice and results in the change:
H20(S) + F2 (g) ——-> HF(g) + HOF(g)
Justify that this reaction is a redox reaction.
Answer: Writing the O.N. of each atom above its symbol, we have,
![]()
Here, the O.N. of F decreases from 0 in F2 to -1 in HF and increases from 0 in F2 to +1 in HOF. Therefore, F2 is both reduced as well as oxidised. Thus, it is a redox reaction and more specifically, it is a disproportionation reaction.
Question 5. Calculate the oxidation number of sulphur, chromium and nitrogen in H2SO5, Cr2O2 and NOT. Suggest structure of these compounds. Count for the fallacy.
Answer: O.N. of S in H2SO5. By conventional method, the O.N. of S in H2SO5 is 2 (+1) + x + 5 (-2) = 0 or x = +8 This is impossible because the maximum O.N. of S cannot be more than six since it has only six electrons in the valence shell. This fallacy is overcome if we calculate the O.N. of S by chemical bonding method. The structure of H2SO5 is

Thus, there is no fallacy about the O.N. of N in N03–whether one calculates by conventional method or by chemical bonding method.
Question 6.Write formulas for the following compounds:
(a) Mercury (II) chloride, (b) Nickel (II) sulphate, (c) Tin (IV) oxide, (d) Thallium
(I) sulphate, (e) Iron (III) sulphate, (f) Chromium (III) oxide.
Answer: (a) Hg(II)Cl2, (b) Ni(II)SO4, (c)Sn(IV)O2 (d) T12(I)SO4, (e) Fe2(III)(S04)3, (f) Cr2(III)O3.
Question 7. Suggest a list of substances where carbon can exhibit oxidation states from -4 to +4 and nitrogen from -3 to +5.
Answer:

Question 8. While sulphur dioxide and hydrogen peroxide can act as an oxidising as well as reducing agents in their reactions, ozone and nitric acid act only as oxidants. Why?
Answer: (i) In S02 , O.N. of S is +4. In principle, S can have a minimum O.N. of -2 and maximum of +6. Therefore, S in S02 can either decrease or increase its O.N. and hence can act both as an oxidising as well as a reducing agent.
(ii) In H2O2, the O.N. of O is -1. In principle, O can have a minimum O.N. of -2 and maximum of zero (+1 is possible in O2F2and +2 in OF2). Therefore, O in H2O2 can either decrease its O.N. from -1 to -2 or can increase its O.N. from -1 to zero. Therefore, H2O2 acts both as an oxidising as well as a reducing agent.
(iii) In O3, the O.N. of O is zero. It can only decrease its O.N. from zero to -1 or -2, but cannot increase to +2. Therefore, O3 acts only as an oxidant.
(iv) In HNO3, O.N. of N is +5 which is maximum. Therefore, it can only decrease its O.N. and hence it acts as an oxidant only.
Question 9. Consider the reactions:
(a) 6CO2(g) 6H2O(l) ———> C6H12O6(s) + 6O6(g) (b) O3(g) + H2O2(l) H2O(l) + 2O2(g)
Why it is more appropriate to write these reactions as:
(a) 6CO2(g) + 12H2O(l) ————-> C6H12O6(s) + 6H2O(l) + 6O2(g)
(b) O3(g) + H2O2 (l) ———–> H2O(l) + O2(g) + O2(g)
Also suggest a technique to investigate the path of above (a) and (b) redox reactions.
Answer:

(a) Therefore, it is more appropriate to write the equation for photosynthesis as (iii) because it emphasises that 12H2O are used per molecule of carbohydrate formed and 6H2O are produced during the process.
(b) The purpose of writing O2 two times suggests that O2 is being obtained from each of the two reactants.

The path of reactions (a) and (b) can be determined by using H20218 or D20 in reaction
(a) or by using H20218 or O318in reaction (b).
Question 10. The compound AgF2 is unstable. However, if formed, the compound acts as a very strong oxidising agent. Why?
Answer: In AgF2 oxidation state of Ag is +2 which is very very unstable. Therefore, it quickly accepts an electron to form the more stable +1 oxidation state.
Ag2+ + e– ————–> Ag+
Therefore, AgF2, if formed, will act as a strong oxidising agent.
Question 11. Whenever a reaction between an oxidising agent and a reducing agent is carried out, a compound of lower oxidation state is formed if the reducing agent is in excess and a compound of higher oxidation state is formed if oxidising agent is in excess. Justify this statement giving three illustrations.
Answer: (i) C is a reducing agent while O2 is an oxidising agent. If excess of carbon is burnt in a limited supply of O2, CO is formed in which the oxidation state of C is +2. If, however, excess of O2 is used, the initially formed CO gets oxidised to CO2 in which oxidation state of C is + 4.

(ii) P4 is a reducing agent while Cl2 is an oxidising agent. When excess of P4 is used, PCl3 is formed in which the oxidation state of P is + 3. If, however, excess of Cl2 is used, the initially formed PCl3 reacts further to form PCl5 in which the oxidation state of P is +5

(iii) Na is a reducing agent while 02 is an oxidising agent. When excess of Na is used, sodium oxide is formed in which the oxidation state of O is -2. If, however, excess of 02 is used, Na2O2 is formed in which the oxidation state of O is -1 which is higher than -2.
![]()
Question 12. How do you account for the following observations?
(a) Though alkaline potassium permanganate and acidic potassium permanganate both are used as oxidants, yet in the manufacture of benzoic acid from toluene we use alcoholic potassium permanganate as an oxidant. Why? Write a balanced redox equation for the reaction.
(b) When concentrated sulphuric acid is added to an inorganic mixture containing chloride, we get colourless pungent smelling gas HCl, but if the mixture contains bromide then we get red vapour of bromine. Why?
Answer: (a) Toluene can be oxidised to benzoic acid in acidic, basic and neutral media according to the following redox equations:

In the laboratory, benzoic acid is usually prepared by alkaline KMnO4 oxidation of toluene. However, in industry alcoholic KMnO4 is preferred over acidic or alkaline KMnO4 because of the following reasons:
(i) The cost of adding an acid or the base is avoided because in the neutral medium, the base (OH- ions) are produced in the reaction itself.
(ii) Since reactions occur faster in homogeneous medium than in heterogeneous medium, therefore, alcohol helps in mixing the two reactants, i.e., KMnO4 (due to its polar nature) and toluene (because of its being an organic compound).
(b) When cone. H2S04 is added to an inorganic mixture containing chloride, a pungent smelling gas HCl is produced because a stronger acid displaces a weaker acid from its salt.

Since HCl is a very weak reducing agent, it can not reduce H2S04 to S02 and hence HCl is not oxidised to Cl2.
However, when the mixture contains bromide ion, the initially produced HBr being a strong reducing agent than HCl reduces H2S04to S02 and is itself oxidised to produce red vapour of Br2.

Question 13. Identify the substance oxidised, reduced, oxidising agent and reducing agent for each of the following reactions.

Answer:

Question 14. Consider the reactions:

Why does the same reductant, thiosulphate react difforerently with iodine and bromine?
Answer: The average O.N. of S in S2O32- is +2 while in S4O62- it is + 2.5. The O.N. of S in SO42- is +6. Since Br2 is a stronger oxidising agent that I2, it oxidises S of S2O32- to a higher oxidation state of +6 and hence forms SO42- ion. I2, however, being weaker oxidising agent oxidises S of S2O32- ion to a lower oxidation of +2.5 in S4O62- ion. It is because of this reason that thiosulphate reacts differently with Br2 and I2.
Question 15. Justify-giving reactions that among halogens, fluorine is the best oxidant and among hydrohalic compounds, hydroiodic add is the best reductant.
Answer: Halogens have a strong tendency to accept electrons. Therefore, they are strong oxidising agents. Their relative oxidising power is, however, measured in terms of their electrode potentials. Since the electrode potentials of halogens decrease in the order: F2 (+2.87V) > Cl2 (+1.36V) > Br2 (+1.09V) > I2 (+0.54V), therefore, their oxidising power decreases in the same order.
This is evident from the observation that F2 oxidises Cl– to Cl2, Br–to Br2, I – to I2 ; Cl2 oxidises Br–to Br2 and F to I2 but not F– to F2. Br2, however, oxidises F to I2 but not F– to F2 , and Cl– to Cl2.
F2(g) + 2Cr(aq) ———–> 2F–(aq) + Cl2(g); F2(g) + 2Br–(aq) ———-> 2F–(aq) + Br2 (Z)
F2(g) + 2I–(aq) ———-> 2F–(aq) + I2(s); Cl2 (g) + 2Br–(aq) ————> 2Cl–(aq) + Br2 (Z)
Cl2(g) + 2I–(aq) ———–> 2Cl– (aq) + I2(s) and Br2 (Z) + 2F ———> 2Br– (aq) + I2(s)
Thus, F2 is the best oxidant.
Conversely, halide ions have a tendency to lose electrons and hence can act as reducing agents. Since the electrode potentials of halide ions decreases in the order: I–(-0.54 V) > Br– (-1.09 V) > Cl–(-1.36 V) > I2 (-2.87 V), therefore, the reducing power of the halide ions or their corresponding hydrohalic acids decreases in the same order: HI > HBr > HCl > HF. Thus, hydroiodic acid is the best reductant. This is supported by the following reactions. For example, HI and HBr reduce H2S04 to S02 while HCl and HF do not.
2HBr + H2S04 —–> Br2+ S02 + 2H2O; 2HI + H2S04 ——> I2 + S02 + 2H2O
Further F reduces Cu2+ to Cu+ but Br does not.
2Cu2+(aq) + 4I–(aq) >Cu2I2(s) + I2(aq); Cu2+(aq) + 2Br–> No reaction.
Thus, HI is a stronger reductant than HBr.
Further among HCl and HF, HCl is a stronger reducing agent than HF because HCl reduces MnO2 to Mn2+ but HF does not.
MnO2 (s) + 4HCl(aq) ——-> MnCl2(aq) + Cl2(aq) + 2H2O
MnO2 (s) + 4HF(l) ———–> No reaction.
Thus, the reducing character of hydrohalic acids decreases in the order: HI > HBr > HCl > HF.
Question 16. Why does the following reaction occur?

Answer:

Question 17. Consider the reactions:
(a) H3P02(aq) + 4AgNO3(aq) + 2H2O(l) ————->H3PO4(aq) + 4Ag(s) + 4HNO3(aq)
(b) H3P02(aq) + 2CuS04(aq) + 2H2O(l) ————->H3P04(aq) + 2Cu(s) + H2S04(aq)
(c) C6H5CHO(l) + 2[Ag(NH3)2]+(aq) + 30H–(aq)———–> C6H5COO–(aq) + 2Ag(s) + 4NH3(aq) + 2H20(l)
(d) C6H5CHO(l) + 2Cu2+(aq) + 5OH–(aq) ———–> No change observed
What inference do you draw about the behaviour of Ag+ and Cu2+ from these reactions?
Answer: Reactions (a) and (b) indicate that H3P02 (hypophosphorous acid) is a reducing agent and thus reduces both AgNO3 and CuS04 to Ag and Cu respectively. Conversely, both AgNO3 and CuS04 act as oxidising agent and thus oxidise H3P02to H3P04 (orthophosphoric acid) Reaction (c) suggests that [Ag(NH3)2]+ oxidises C6H5CHO (benzaldehyde) to C6H5COO– (benzoate ion) but reaction (d) indicates that Cu2+ ions cannot oxidise C6H5CHO to C6H5COO–. Therefore, from the above reactions, we conclude that Ag+ ion is a strong deoxidising agent than Cu2+ ion.
Question 18. Balance the following redox reactions by ion-electron method.
(a) MnO4–(aq) +I–(aq) ———>Mn02(s) + I2 (s) (in basic medium)
(b) MnO4–(aq) + S02(g) ——-> Mn2+(aq) +H2S04–(in acidic solution)
(c) H2O2(aq) + Fe2+(aq) ———-> Fe3+(aq) + H2O(l) (in acidic solution)
(d) Cr2O72- (aq) + S02 (g)——> Cr3+ (aq) + SO42-(aq) (in acidic solution)
Answer: (a) Do it yourself.
(b) The balanced half reaction equations are:
Oxidation half equation:
S02(g) + 2H2O(l) ——–> HS04– (aq) + 3H+(aq) +2e– …(i)
Reduction half equation:
MnO4–(aq) + 8H+(aq) + 5e– ——–> Mn2+(aq) + 4H2O(l) ………..(ii)
Multiply Eq. (i) by 3 and Eq. (ii) by 2 and add, we have,
2MnO4–(aq) + 5S02(g) + 2H20(l) + H+(aq) ————> 2Mn2+(aq) + 5HSO4–(aq)
(c) Oxidation half equation: Fe2+(aq) ———> Fe3+(aq) + e– …(i)
Reduction half equation: H2O2(aq) + 2H+(aq) + 2e– ———> 2H2O(l) …(ii)
Multiply Eq. (i) by 2 and add it to Eq. (ii), we have,
H2O2(aq) +2Fe2+(aq) +2H+(aq) ——-> 2Fe3+(aq) + 2H2O(l)
(d) Following the procedure detailed on page 8/23, the balanced half reaction equations are:
Oxidation half equation:
SO2(g) + 2H2O(l) ————> SO42-(aq) + 4H+(aq) + 2 e– …(i)
Reduction half equation:
Cr2O72–(aq) + 14H+(aq) + 6e– ————> 2Cr3+(aq) + 7H20(l) …(ii)
Multiply Eq. (i) by 3 and add it to Eq. (ii), we have,
Cr2O72–(aq) + 3SO2(q) + 2H+(aq) ————> 2Cr3+(aq) + 3SO42-(aq) + H20(l)
Question 19. Balance the following equation in basic medium by ion electron method and oxidation number method and identify the oxidising agent and the reducing agent.
(a) P4(s) + OH–(aq) ———> PH3(g) + H2PO2–(aq)
(b) N2H4(l) + ClO–(aq) ——–> NO(g) + CV(aq)
(c) Cl2O7(g) + H2O2(aq) ———-> ClO2–(aq) + O2(g) + H+
P4 acts both as an oxidising as well as a reducing agent.
Answer:






Question 20. Write Jour informations about the reaction:
(CN)2(g) + 2OH–(aq) —–> CN–(aq) + CNO–(aq) + H2O(l)
Answer: Let x be the O.N. of C.
O.N. of C in cyanogen, (CN)2 = 2 (x – 3) = 0 or x = +3 O.N. of C in cyanide ion, CN- = x – 3 = -1 or x = +2 O.N. of C in cyanate ion, CNO =x-3-2 = -lora: = +4 The four information about the reaction are:
(i) The reaction involves decomposition of cyanogen, (CN)2 in the alkaline medium to cyanide ion, CN and cyanate ion,CNO–.
(ii) The O.N. of C decreases from +3 in (CN)2 to +2 in CN–ion and increases from +3 in(CN)2 to +4 in CNO– ion. Thus, cyanogen is simultaneously reduced to cyanide ion and oxidised to cyanate ion.
(iii) It is an example of a redox reaction in general and a disproportionation reaction in particular.
(iv) Cyanogen is a pseudohalogen (behaves like halogens) while cyanide ion is a pseudohalide ion (behaves like halide ion).
Question 21. The Mn3+ ion is unstable in solution and undergoes disproportionation to give Mn2+, MnO2 and H+ ion. Write a balanced ionic equation for the reaction.
Answer:

Question 22. Consider the elements: Cs, Ne, I, F
(a) Identify the element that exhibits -ve oxidation state.
(b) Identify the element that exhibits +ve oxidation state.
(c) Identify the element that exhibits both +ve and -ve oxidation states.
(d) Identify the element which neither exhibits -ve nor +ve oxidation state.
Answer: (a) F. Fluorine being the most electronegative element shows only a -ve oxidation state of -1.
(b) Cs. Alkali metals because of the presence of a single electron in the valence shell, exhibit an oxidation state of +1.
(c) I. Because of the presence of seven electrons in the valence shell, I shows an oxidation state of -1 (in compounds of I with more electropositive elements such as H, Na, K, Ca, etc.) or an oxidation state of +1 compounds of I with more electronegative elements, i.e., O, F, etc.) and because of the presence of d-orbitals it also exhibits +ve oxidation states of +3, +5 and +7.
(d) Ne. It is an inert gas (with high ionization enthalpy and high positive electron gain enthalpy) and hence it neither exhibits -ve nor +ve oxidation states.
Question 23. Chlorine is used to purify drinking water. Excess of chlorine is harmful. The excess chlorine is removed by treating with sulphur dioxide. Present a balanced equation for the reaction for this redox change taking place in water.
Answer: The skeletal equation is:

Question 24. Refer to the periodic table given in your book and now answer the following questions.
(a) Select the possible non-metals that can show disproportionation reaction.
(b) Select three metals that show disproportionation reaction.
Answer:


Question 25. In Ostwald’s process for the manufacture of nitric add, the first step involves the oxidation of ammonia gas by oxygen gas to give nitric oxide gas and steam. What is the maximum wight of nitric oxide that can be obtained starting only with 10.0 g of ammonia and 20.0 g of oxygen?
Answer: The balanced equation for the reaction is:

But the amount of O2 which is actually available is 20.0 g which is less than the amount which is needed. Therefore, 02 is the limiting reagent and hence calculations must be based upon the amount of 02 taken and not on the amount of NH3 taken. From the equation,
160 g of 02 produce NO = 120 g
.•. 20 g of 02 will produce NO =120/160 x 20 = 15 g
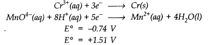
Question 26. Using the standard electrode potentials given in Table 8.1, predict if the reaction between the following is feasible:
(a) Fe3+(aq) and I-(aq) (b) Ag+ (aq) and Cu(s)
(c) Fe3+(aq) and Cu(s) (d)Ag(s) and Fe3+(aq)
(e) Br2 (aq) and Fe3+ (aq).
Answer: (a) It may be noted that for oxidation reactions, i.e., Eq. (i), the sign of the electrode potential as given in Table 8.1 is reversed. To get the equation for the overall reaction, the number of electrons lost in Eq. (i) and gained in Eq. (ii) must be cancelled. To do so, Eq. (ii) is multiplied by 2 and added to Eq. (i). Further, it may be noted that whenever any half reaction equation is multiplied by any integer, its electrode potential is not multiplied by that integer. Thus,
Overall reaction: 2Fe3+ (aq) + 2I–(aq) ——-> 2Fe2+ (aq) + I2(s); E° = + 0.23 V
Since the EMF for the above reaction is positive, therefore, the above reaction is feasible.
(b) The possible reaction between Ag+(aq) and Cu(s) is Cu(s) + 2Ag+ (aq)—> Cu2+(aq) + 2Ag(s)
The above redox reaction can be split into the following two half reactions. Writing electrode potential for each half reaction from Table 8.1, we have,


Question 27. Predict the products of electrolysis in each of the following:
(i) An aqueous solution of AgNO3 with silver electrodes.
(ii) An aqueous solution of silver nitrate with platinum electrodes.
(iii) A dilute solution of H2S04with platinum electrodes.
(iv) An aqueous solution of CuCl2 with platinum electrodes.
Answer: (i) In aqueous solution, AgNO3 ionises to give Ag+(aq) and NO3– (aq) ions.
AgN03(aq) ——–> Ag+(aq) + NO3– (aq)
Thus, when electricity is passed, Ag+(aq) ions move towards the cathode while NO3– ions move towards the anode. In other words, at the cathode, either Ag+(aq) ions or H2O molecules may be reduced. Which of these will actually get discharged would depend upon their electrode potentials which are given below:
Ag+(aq) +e–———-> Ag(s); E° = +0.80 V …(i)
2H2O(Z) + 2e– ————> H2(g) + 2OH–(aq); E° = -0.83 V …(ii)
Since the electrode potential (i.e., reduction potential of Ag+(aq) ions is higher than that of H2O molecules, therefore, at the cathode, it is the Ag+(aq) ions (rather than H2O molecules) which are reduced.
Similarly, at the anode, either Ag metal of the anode or H2O molecules may be oxidised. Their electrode potentials are:
Ag(s) ———–> Ag+(aq) + e–; E° = -0.80 V …(iii)
2H2O(l) ————–> 02(g) +4H+(aq)+4e– ; E° = -1.23 V …(iv)
Since the oxidation potential of Ag is much higher than that of H2O, therefore,
at the anode, it is the Ag of the silver anode which gets oxidised and not the H2O molecules. It may, however, be mentioned here that the oxidation potential of N03–ions is even lower than that of H2O since more bonds are to broken during reduction of N03 ions than those in H2O.
Thus, when an aqueous solution 0f AgN03 is electrolysed, Ag from Ag anode dissolves while Ag+(aq) ions present in the solution get reduced and get deposited on the cathode.
(ii) If, however, electrolysis of AgN03 solution is carried out using platinum electrodes, instead of silver electrodes, oxidation of water occurs at the anode since Pt being a noble metal does not undergo oxidation easily. As a result, O2 is liberated at the anode according to equation (iv).
Thus, when an aqueous solution of AgNO3 is electrolysed using platinum electrodes, Ag+ ions from the solution get deposited on the cathode while 02 is liberated at the anode.
(iii) In aqueous solution, H2S04ionises to give H+(aq) and SO42-(aq) ions.
H2S04(aq) ——> 2H+(aq) +S04–(aq)
Thus, when electricity is passed, H+ (aq) ions move towards cathode while SO42-(aq) ions move towards anode. In other wode either H+(aq) ions or H2O molecules are reduced. Their electrode potentials are:2H+(aq)2e– ——-> H2(g); E° = 0.0 V
H2O(aq) + 2e– ——-> H2(g) + 2OH–((aq); E° = -0.83 V
Since the electron potential (i.e., reduction potential) of H+(aq) ions is higher than that of H2O, therefore, at the cathode, it is H+(aq) ions (rather than H2O molecules) which are reduced to evolve H2 gas.
Similarly at the anode, either SO42-(aq) ions or H2O molecules are oxidised. Since the oxidation potential of SO4 is expected to be much lower (since it involved cleavage of many bonds as compared to those in H20) than that of HjO molecules, therefore, at the anode, it is H2O molecules (rather than SO42- ions) which are oxidised to evolve O2 gas.
From the above discussion, it follows that during electrolysis of an aqueous solution of H2S04 only the electrolysis of H2O occurs liberating H2 at the cathode and O2 at the anode.
(iv) In aqueous solution, CuCl2 ionises as follows:
CuCl2(aq) ——-> CU2+(aq) + 2Cl–(aq)
On passing electricity, CU2+(aq) ions move towards cathode and CU2+(aq) ions move towards anode.
Thus, at cathode, either CU2+(aq) or H2O molecules are reduced. Their electrode potentials are:
CU2++ 2e– ———> Cu(s); E° = +0.34 V
H2O(l) + 2e– ——–> H2(g) + 2OH–; E° = -0.83 V
Since the electrode potential of CU2+(aq) ions is much higher than that of H2O, therefore, at the cathode, it is CU2+(aq) ions which are reduced and not H2Omolecules.
Similarly, at the anode, either Cl–(aq) ions or H2O molecules are oxidised. Their oxidation potentials
2Cl–(aq) ——> Cl2(g) + 2e–; AE° = -1.36 V
2H2O(l) ——>O2(g) + 4H+(aq) + 4e–; ∆E° = -1.23 V
Although oxidation potential of H2O molecules is higher than that of Cl– ions, nevertheless, oxidation of Cl–(aq) ions occurs in preference to H2O since due to overvoltage much lower potential than -1.36 V is needed for the oxidation of H2O molecules.
Thus, when an aqueous solution of CuCl2 is electrolysed, Cu metal is liberated at the cathode while Cl2 gas is evolved at the anode.
Question 28. Arrange the following metals in the order in which they displace each other from the solution of their salts.Al, Cu, Fe, Mg and Zn.
Answer: It is based upon the relative positions of these metals in the activity series. The correct order is Mg, Al, Zn, Fe, Cu .
Question 29. Given the standard electrode potentials,
K+/K = -2.93 V, Ag+/Ag = 0.80 V, Hg2+/Hg = 0.79 V, Mg2+/Mg = -2.37 V,
Cr3+/Cr = -0.74 V. Arrange these metals in increasing order of their reducing power.
Answer: Lower the electrode potential, better is the reducing agent. Since the electrode potentials increase in the oder; K+/K (-2.93 V), Mg2+/Mg (-2.37 V), Cr3+/Cr (-0.74 V), Hg2+/Hg (0.79 V), Ag+/Ag (0.80 V), therefore, reducing power of metals decreases in the same order, i.e., K, Mg, Cr, Hg, Ag.
Question 30. Depict the galvanic cell in which the reaction, Zn(s) + 2Ag+(aq) ————> Zn2+(aq) + 2Ag(s)
takes place. Further show:
(i) which of the electrode is negatively charged.
(ii) the carriers of current in the cell and
(iii) individual reaction at each electrode.
Answer: The given redox reaction is Zn(s) + 2Ag+(aq) ——————-> Zn2+(aq) + 2Ag(s)
Since Zn gets oxidised to Zn2+ ions, and Ag+ gets reduced to Ag metal, therefore,

MORE QUESTIONS SOLVED
NCERT Solutions for Class 11 Chemistry Chapter 8 Very Short Answer Type Questions
Question 1. Define electrochemical cell.
Answer: Electrochemical cell is a device in which the redox reaction is carried indirectly and the decrease in free energy appears as electrical energy.
Question 2. What is a redox couple?
Answer: A redox couple consists of oxidised and reduced form of the same substance taking part in the oxidation or reduction half reaction.
Question 3. Define oxidation in terms of electronic concept.
Answer: Oxidation involves loss of one or more electrons by a species during a reaction.
Question 4. What is the source of electrical energy in a galvanic cell?
Answer: In a galvanic cell due to redox reaction released energy gets converted into the electrical energy.
Question 5. What is the oxidation state of Ni in Ni (CO)4?
Answer: Zero.
Question 6. What is the oxidation number of P in H3P04?
Answer:

Question 7. What is salt bridge?
Answer: It is a U-shaped tube filled with agar-agar containing inert electrolyte like KCl or KNO3 which does not react with solutions.
Question 8. What is meant by reducing agent? Name the best reducing agent.
Answer: A species which loses electrons as a result of oxidation is a reducing agent. Li (Lithium).
Question 9. Why is standard hydrogen electrode called reversible electrode?
Answer: A standard hydrogen electrode is called reversible electrode because it can react both as anode as well as cathode in an electrochemical cell.
Question 10. What is a disproportionation reaction ? Give one example.
Answer: In a disproportionation reaction an element in one oxidation state is simultaneously oxidised and reduced.
For example,
![]()
Here the oxygen of peroxide, which is present in -1 state is converted to zero oxidation state in O2 and decreases to -2 oxidation state in H20.
Question 11. What is a standard hydrogen electrode?
Answer: Standard hydrogen electrode is known as reference electrode. Its electrode potential is taken as 0.000 volt.
Question 12. What is meant by cell potential?
Answer: It is the difference in Standard Reduction Potential (SRP) of cathode and SRP of anode.
![]()
Question 13. Calculate the oxidation number of sulphur in H2SO4 and Na2SO4.
Answer: Let the oxidation number of S in H2SO4 be x.
Write the oxid0ation number of each atom above its symbol.
![]()
Calculate the sum of the oxidation numbers of all the atoms. 2 (+1) + x + 4 (-2) = 0 x – 6 = 0 x — +6
In Na2S04
Write the oxidation number of each atom its symbol.
![]()
Calculate the sum of the oxidation numbers of all the atoms. 2 (+1) + x + 4 (-2) = 0 2 + x-8 = 0
x = +6
Question 14. Define Oxidation and Reduction in terms of oxidation number.
Answer: Oxidation involves increase in O.N while reduction involves decrease in O.N.
Question 15. Define EMF of cell.
Answer: EMF of a cell is the difference in the electrode potentials of the two electrodes in a cell when no current flows through the cell.
Question 16. Calculate the oxidation number of Cr in [Cr (H2O)6]3+ ion.
Answer: H2O is a neutral molecule O.N of H2O = 0
Write the oxidation number of Cr above its symbol and that of H2O above its formula,

Question 17. How can CuS04 solution not be stored in an iron vessel?
Answer:

Question 18. How will you identify cathode and anode in electrochemical cell ?
Answer: At cathode there is gain of electrons.
At anode there is loss of electrons.
In electrochemical cell anode is written on L.H.S while cathode is written on R.H.S.
Question 19. Identify the oxidant and the reductant in the following reaction.
N2H4(g) + ClO4(aq) ———–> NO(g) + Cr(aq)
Answer: N2H4is reducing agent i.e., reductant whereas Cl03–is oxidising agent i.e., oxidant.
Question 20. What is oxidation number of Fe in [Fe(CO)5] ?
Answer: x + 5 (0) =0 , x = 0
Question 21. In the reaction .
M4O2 + 4HCI ————-> M4Cl2 + Cl2 + 2H20
which species is oxidised.
Answer: HCl gets oxidised.
NCERT Solutions for Class 11 Chemistry Chapter 8 Short Answer Type Questions
Question 1. What is meant by electrochemical series? What are characteristics of electrochemical series?
Answer: Electrochemical series is the series of elements in which elements are arranged in decreasing order of their reduction potential.
Reducing power goes on increasing whereas oxidising power goes on dcreasing down the series.
Question 2. What is standard hydrogen electrode? For what purpose it is used? What are signs of oxidation potential and reduction potential decided by using SHE (Standard hydrogen electrode)?
Answer: Standard hydrogen electrode is used as reference electrode. Its electrode potential is taken as 0.000 volt. Hydrogen electrode can be made. If we use a piece of platinum coated with finely divided black containing hydrogen gas absorbed in it. Platinum black catalyses the reaction and equilibrium is attained faster. When the given electrode acts as anode SHE, we give -ve sign to its reduction potential and +ve sign to its oxidation potential.
Question 3. Consider a voltaic cell constructed with the following substances:

(a) Which substances are oxidised and reduced in this cell?
(b) Which are the negative and positive electrode?
Answer: (a) Cr is getting oxidised and Mn04“ is getting reduced.
(b) Cr is negative electrode, Pt in Mn04_ acts as positive electrode.
4.(a)Give two important functions of salt bridge.
(b)Balance the following equation by oxidation number method:
Fe2+ + Cr2O72- + H+ ———> Fe3+ + Cr3+ +H2O
Ans. (a) (i) It completes the internal circuit.
(ii) It maintains the electrical neutrality.
(b)Fe2+ +Cr2O72-+ H+ ——–> Fe3+ + Cr3++ H2O

Question 5. Write the O.N of all the atoms for the following well known oxidants?
(i) KMnO4 (ii) K2Cr2O7 (iii) KClO4
Answer: (i) KMnO4 ; K(+l); Mn(+7), 0(-2)
(ii) K2Cr2O7 ; K(+l) ; Cr(+6) ; 0(-2)
(iii) KClO4 ; K(+l); Cl(+7); 0(-2)
Question 6. (a) Arrange the following in order of increasing O.N of iodine:
I2, HI, HIO2, KIO3, ICl.
(b) Identify the oxidant and reductant in the following redox reaction:
2K2Mn04 + Cl2 ———–> 2KCl + 2KMnO4
Answer: (a) The increasing order is

Question 7. Write the cell reactions:
![]()
Answer:

Question 8. (a) Balance the following equation by oxidation number method or by ion electron (half reaction) method.

Answer:

Question 9. Identify the substance oxidised, reduced, oxidising agent and reducing agent for each of the following reactions.

Answer: (a) Ag+ is reduced, C6H6O2 is oxidised.Ag+ is oxidising agent whereas C6H6O2 is reducing agent.
(b) HCHO is oxidised, Ag+ is reduced.Ag+ is oxidising agent whereas HCHO is reducing agent.
(c) N2H4is getting oxidised it is reducing agent. H2O2 is getting reduced it acts as an oxidising agent.
Question 10. (a) Calculate the oxidation number of
(i) C in CH3COOH (ii) S in S2O8-2
(b) Give one example of disproportionation reaction.
Answer:

Since P undergoes decrease as well as increase in oxidation state thus it is an example of disproportionation reaction.
NCERT Solutions for Class 11 Chemistry Chapter 8 Multiple Choice Questions
Question 1. Among the following molecules, in which does bromine show the maximum oxidation number?
(a) Hg2(Br03)2 (b) Br – Cl (c) KBrO4 (d) Br2
Question 2. Which of the following halogens do not exhibit a positive oxidation number in their compounds?
(a) F (b) Br (c) I (d) Cl
Question 3.Which of the following is most powerful oxidizing agent in the following.
(a) O3 (b) KMnO4 (c) H2O2 (d) K2Cr2O7
Question 4. On the reaction
2Ag + 2H2 S04 ———-> Ag2 S04 + 2H20 + S02
sulphuric’acid acts as
(a) an oxidizing agent (b) a reducing agent
(c) a catalyst (d) an acid as well as an oxidant
Question 5. The oxidation number of the carboxylic carbon atom in CH3COOH is
(a) + 2 (b) +4 (c) +1 (d) +3
Question 6. When methane is burnt in oxygen to produce CO2 and H2O the oxidation number of carbon changes by
(a) -8 (b) zero (c)+8 (d)+ 4
Question 7. The oxidation number of carbon is zero in
(a) HCHO (b) CH2Cl2 (c)C12H22O21 (d) C6H12O
Question 8. Which of the following are not redox reactions?

Question 9. Which one among the following is not example of autoredox reaction?
![]()
Question 10. In the‘ethylene molecule the two carbon atoms have the oxidation numbers.
(a) -1, -1 (b) -2, -2 (c) -1, -2 (d) +2, -2
Answer: 1. (c) 2. (a) 3. (a) 4. (d) 5. (d)
6. (d) 7. (e) 8. (b) and (d) 9. (d) 10. (b)
IV. HOTS Questions
Question 1. (a) Formulate possible compounds of’Cl’ in its O.S. is: 0, -1, +1, +3, +5, +7.
(b) List three measures used to prevent rusting of iron.
Answer: (a) Cl2, HCl, HOCl, HOClO, HOClO2, HOClO3 respectively.
(b) (i) galvanization (coating iron by a more reactive metal)
(ii) greasing/oiling (iii) painting
Question 2. Account for the following:
(a) While H2O2 can act as oxidising as well as reducing agent in their reactions, O3 and HNO3 acts as oxidants only.
(b) When cone. H2S04 is added to an inorganic mixture containing chloride, HCl is produced but if a mixture contains bromide, then we get red vapours of bromine.
Answer: (a) In H2O2 oxidation number of O = -1 and can vary from 0 to -2 (+2 is possible in OF2). The oxidation number can decrease or increase, because of this H202 can act both oxidising and reducing agent.
(b) HCl is a weak reducing agent and can reduce H2S04to SO2and hence HCl is not oxidised to Cl2. When NaBr is heated Br2 is produced, which is a strong reducing agent and itself oxidised to red vapour of Br2.
Question 3. Account for the following:
(a) HNO3 acts only as an oxidising agent while HNO3 can act both as reducing and oxidising agent.
(b) ClO4 – does not show disproportionation reaction.
(c) Ozone acts as an oxidising agent.
Answer: (a) The oxidation number of nitrogen in HNO3 is +5 thus increase in oxidation number +5 does not occur hence HNO3 cannot act as reducing agent but acts as an oxidising agent. In HNO2 oxidation number of nitrogen is +3, it can decrease or increase with range of-3 to +5, hence it can act as both oxidising and reducing agent.
(b) Chlorine is in maximum oxidation state +7 in ClO4 so it does not show the disproportionation reaction.
(c) Because it decomposes to give nascent oxygen.