NCERT Solutions for Class 11 Chemistry Chapter 5 States of Matter
Topics and Subtopics in NCERT Solutions for Class 11 Chemistry Chapter 5 States of Matter:
| Section Name | Topic Name |
| 5 | States of Matter |
| 5.1 | Intermolecular Forces |
| 5.2 | Thermal Energy |
| 5.3 | Intermolecular Forces vs Thermal Interactions |
| 5.4 | The Gaseous State |
| 5.5 | The Gas Laws |
| 5.6 | Ideal Gas Equation |
| 5.7 | Kinetic Energy and Molecular Speeds |
| 5.8 | Kinetic Molecular Theory of Gases |
| 5.9 | Behaviour of Real Gases: Deviation from Ideal Gas Behaviour |
| 5.10 | Liquefaction of Gases |
| 5.11 | Liquid State |
NCERT Solutions Class 11 ChemistryChemistry Lab ManualChemistry Sample Papers
NCERT TEXTBOOK QUESTIONS SOLVED
Question 1. What will be the minimum pressure required to compress 500 dm3 of air at 1 bar to 200 dm3 at 30°C?
Answer: P1 = 1 bar,P2 = ? V1= 500 dm3 ,V2=200 dm3
As temperature remains constant at 30°C,
P1V1=P2V2
1 bar x 500 dm3 = P2 x 200 dm3 or P2=500/200 bar=2.5 bar
Question 2. A vessel of 120 mL capacity contains a certain amount of gas at 35°C and 1.2 bar pressure. The gas is transferred to another vessel of volume 180 mL at 35°C. What would be its pressure?
Answer: V1= 120 mL, P1=1.2 bar,
V2 = 180 mL, P2 = ?
As temperature remains constant, P1V1 = P2V2
(1.2 bar) (120 mL) = P2 (180mL)
More Resources for CBSE Class 11
- NCERT Solutions
- NCERT Solutions Class 11 Maths
- NCERT Solutions Class 11 Physics
- NCERT Solutions Class 11 Chemistry
- NCERT Solutions Class 11 Biology
- NCERT Solutions Class 11 Hindi
- NCERT Solutions Class 11 English
- NCERT Solutions Class 11 Business Studies
- NCERT Solutions Class 11 Accountancy
- NCERT Solutions Class 11 Psychology
- NCERT Solutions Class 11 Entrepreneurship
- NCERT Solutions Class 11 Indian Economic Development
- NCERT Solutions Class 11 Computer Science
Question 3. Using the equation of state PV = nRT, show that at a given temperature, density of a gas is proportional to the gas pressure P.
Answer: According to ideal gas equation
PV = nRT or PV=nRT/V

Question 4. At 0°C, the density of a gaseous oxide at 2 bar is same as that of dinitrogen at 5 bar. What is the molecular mass of the oxide?
Answer: Using the expression, d =MP/RT , at the same temperature and for same density,
M1P1 = M2P2 (as R is constant)
(Gaseous oxide) (N2)
or
M1 x 2 = 28 x 5(Molecular mass of N2 = 28 u)
or M1 = 70u
Question 5. Pressure of l g of an ideal gas A at 27°C is found to be 2 bar. When 2 g of another ideal gas B is introduced in the same flask at same temperature, the pressure becomes 3 bar. Find the relationship between their molecular masses.
Answer: Suppose molecular masses of A and B are MA and MB respectively. Then their number of moles will be

Question 6. The drain cleaner, Drainex contains small bits of aluminium which react with caustic soda to produce dihydrogen. What volume of dihydrogen at 20 °C and one bar will be released when 0.15g of aluminium reacts?
Answer: The chemical equation for the reaction is
2 Al + 2 NaOH + H20 -> 2 NaAl02 + 3H2 (3 x 22400 mL At N.T.P)
2 x 27 = 54 g.
54 g of Al at N.T.P release
H2 gas = 3 x 22400 0.15 g of Al at N.T.P release


Question 7. What will be the pressure exerted by a mixture of 3.2g of methane and 4.4g of carbon dioxide contained in a 9 dm3 flask at 27 °C?
Answer:

Question 8. What will be the pressure of the gas mixture when 0.5 L of H2 at 0.8 bar and 2.0 L of dioxygen at 0.7 bar are introduced in all vessel at 27 °C?
Answer: Calculation of partial pressure of H2 in 1L vessel P1= 0.8 bar,
P2= ? V1= 0.5 L , V2 = 1.0 L
As temperature remains constant, P1V1 = P2V2
(0.8 bar) (0.5 L) = P2 (1.0 L) or P2 = 0.40 bar, i.e., PH2 = 0.40 bar
Calculation of partial pressure of 02 in 1 L vessel
P1‘ V1 = P2‘V2‘
(0.7 bar) (2.0 L) = P2 (1L) or P2‘ = 1.4 bar, i.e.,Po2= 1.4 bar
Total pressure =PHz + PQ2 = 0.4 bar + 1.4 bar = 1.8 bar
Question 9. Density of a gas is found to be 5.46 g/dm3 at 27 °C and at 2 bar pressure. What will be its density at STP?
Answer:

Question 10. 34.05 mL of phosphorus vapour weighs 0.0625 g at 546°C and 1.0 bar pressure. What is the molar mass of phosphorus?
Answer:

Question 11. A student forgot to add the reaction mixture to the round bottomed flask at 27 °C but instead, he/she placed the flask on the flame. After a lapse of time, he realized his mistake, and using a pyrometer, he found the temperature of the flask was 477 °C. What fraction of air would have been expelled out?
Answer:

Question 12.Calculate the temperature of 4.0 moles of a gas occupying 5 dm3 at 3.32 bar (R = 0.083 bar dm3 K-1 mol-1)
Answer:

Question 13. Calculate the total number of electrons present in 1.4 g of dinitrogen gas.
Answer: Molecular mass of N2 = 28g
28 g of N2 has No. of molecules = 6.022 x 1023 1.4 g of
N2 has No. of molecules = 6.022 x 1023 x 1.4 g/28 g
= 3.011 x 1022 molecules.
Atomic No. of Nitrogen (N) = 7
1 molecule of N2 has electrons = 7 x 2 = 14
3.011 x 1022 molecules of N2 have electrons
= 14 x 3.011 x 1022
= 4.215 x 1023 electrons.
Question 14. How much time would it take to distribute one Avogadro number of wheat grains if 1010 grains are distributed each second ?
Answer:

Question 15. Calculate the total pressure in a mixture of 8g of oxygen and 4g of hydrogen confined in a vessel of l dm3 at 27°C. R = 0.083 bar dm3 K-1 mol-1.
Answer:

Question 16. Pay load is defined as the difference between the mass of the displaced air and the mass of the balloon. Calculate the pay load when a balloon of radius 10 m, mass 100 kg is filled with helium at 1.66 bar at 27°C (Density of air = 1.2 kg m-3 and R = 0.083 bar dm3 K-1 mol-1).
Answer:

Question 17. Calculate the volume occupied by 8.8 g of CO2 at 31.1 °C and 1 bar pressure. R = 0.083 bar LK-1 mol-1
Answer:

Question 18. 2.9 g of a gas at 95°C occupied the same volume as 0.184 g of hydrogen at 17°C at the same pressure. What is the molar mass of the gas ?
Answer:

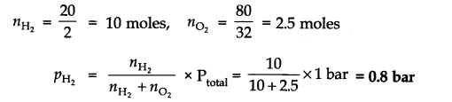
Question 19. A mixture of dihydrogen and dioxygen at one bar pressure contains 20% by weight of dihydrogen. Calculate the partial pressure of dihydrogen.
Answer: As the mixture H2 and O2 contains 20% by weight of dihydrogen, therefore, if H2 = 20g, then O2 = 80g

Question 20. What would be the SI unit for the quantity PV2T2/n?
Answer:

Question 21. In terms of Charles’ law explain why -273°C is the lowest possible temperature.
Answer: At -273°C, volume of the gas becomes equal to zero, i.e., the gas ceases to exist.
Question 22. Critical temperature for CO2 and CH4 are 31.1°C and -81.9°C respectively. Which of these has stronger intermolecular forces and why?
Answer: Higher the critical temperature, more easily the gas can be liquefied, i.e., greater are the intermolecular forces of attraction. Hence, Co2 has stronger intermolecular forces than CH4.
Question 23. Explain the physical significance of vander Waals parameters.
Answer: ‘a’ is a pleasure of the magnitude of the intermolecular forces of attraction, while b is a measure of the effective size of the gas molecules.
MORE QUESTIONS SOLVED
I. Very Short Answer Type Questions
Question 1. What is the value of the gas constant in SI units?
Answer: 8.314 JK-1 mol-1.
Question 2. Define boiling point of a liquid.
Answer: The temperature at which the vapour pressure of a liquid is equal to external pressure is called boiling point of liquid.
Question 3. What is SI unit of (i) Viscosity (ii) Surface tension?
Answer: (i) Unit of viscosity is Nsm-2
(ii) Unit of surface tension is Nm-1
Question 4. What is the effect of temperature on (i) surface tension and (ii) Viscosity?
Answer: (i) Surface tension decreases with increase of temperature.
(ii) Viscosity decreases with increase of temperature.
Question 5. What is the unit of coefficient of viscosity?
Ans. Poise.
Question 6. What do you understand by laminar flow of a liquid?
Answer: The type of flow in which there is regular gradation of velocity in passing from one layer to the next is called laminar flow.
Question 7. What do you mean by compressibility factor?
Answer: The deviation from ideal behaviour can be measured in terms of compressibility factor Z.
Z=PV/nRT
Question 8. What is Boyle Temperature?
Answer: The temperature at which a real gas obeys ideal gas law over an appreciable range of pressure, is called Boyle temperature or Boyle point.
Question 9. What is meant by elastic collision ?
Answer: Collision in which there is no loss of kinetic energy but there is transfer of energy, is called elastic collision.
Question 10. Define critical temperature of gas.
Answer: The temperature above which a gas cannot be liquefied.
Question 11. What are real gases ?
Answer: A gas which can deviate from ideal gas behaviour at higher pressure and lower temperature, is called a real gas.
Question 12. Define an ideal gas.
Answer: A gas that follows Boyle’s law, Charles’ law and Avogadro law strictly, is called an ideal gas.
Question 13. Name four properties of gases.
Answer:
- Gases, have no definite shape and no definite volume.
- There is no force of attraction existing between the molecules of gases.
- Gases are highly compressible.
- Gases’can mix evenly and can spread in whole space.
Question 14. State Dalton’s law of partial pressure.
Answer: Daltons’ Law states that, total pressure exerted by the mixture of non-reactive gases is equal to the sum of the partial pressures of individual gases.
Question 15. What do you mean by aqueous tension?
Answer: Pressure exerted by saturated water vapour is called aqueous tension.
Question 16. Give mathematical expression for ideal gas equation.
Answer: PV = nRT
Where R is called Gas constant.
Question 17. Write van der Waals equation for n moles of a gas.
Answer:

Where ‘a’ and ‘V are van der waals constants.
Question 18. How is compressibility factor expressed in terms of molar volume of the real gas and that of the ideal gas?
Answer:

Question 19. Why liquids diffuse slowly as compared to gases?
Answer: In liquids, the molecules are more compact in comparison to gases.
Question 20. What is the effect of temperatures on the vapour pressure of a liquid?
Answer: Vapour pressure increases with rise in temperature.
Question 21. Why falling liquid drops are spherical?
Answer: Because of the property of surface tension, liquid tends to minimise its area.
II. Short Answer Type Questions
Question 1. A weather balloon has a volume of 175 dm3 when filled with hydrogen gas at a pressure of 1.0 bar. Calculate the volume of the balloon when it rises to a height where the atmospheric pressure is 0.8 bar. Assume that temperature is constant.
Answer:

Question 2. A certain amount of a gas at 27°C and 1 bar pressure occupies a volume of 25 m3. If the pressure is kept constant and the temperature is raised to 77°C, what will be the volume of the gas?
Answer: From the available data: V1 = 25 m3, T1= 27 + 273 = 300 K
V2 = ? T2 = 77 + 273 = 350 K

Question 3. A flask was heated from 27°C to 227°C at constant pressure. Calculate the volume of the flask if 0.1 dm3 of air measured at 227°C was expelled from the flask.
Answer: Let the volume of the flask = V dm3 (after expelling the air)
V1 = V dm3, T1 = 27 + 273 = 300K
VT2 = (V + 0.1) dm3, T2 = 227 + 273 = 500 K

Question 4. A gas occupying a volume of 100 litres is at 20°C under a pressure of 2 bar. What temperature will it have when it is placed in an evacuated chamber of volume 175 litres? The pressure of the gas in the chamber is one-third of its initial pressure.
Answer:

Question 5. At 25°C and 760 mm ofHg pressure a gas occupies 600 mL volume. What will be its pressure at a height where temperature is 10°C and volume of the gas is 640 mL?
Answer:


Question 6. A 34.0 dm3 cylinder contains 212 g of oxygen gas at 21°C. What mass of oxygen must be released to reduce the pressure in the cylinder to 1.24 bar?
Answer:

Question 7. The values of the van der Waal’s constants for a gas are a = 4.10 dm6 bar mol-2 and b = 0.035 dm3 bar mol-1. Calculate the values of the critical temperature and critical pressure for the gas.
Answer:

Question 8. The pressure of a mixture of H2 and N2 in a container is 1200 torr. The partial pressure of nitrogen in the mixture is 300 torr. What is the ratio of H2 and N2 molecules in the mixture?
Answer:


Question 9. (a) What do you mean by’Surface Tension’of a liquid?
(b) Explain the factors which can affect the surface tension of a liquid.
Answer: (a) Surface tension: It is defined as the force acting per unit length perpendicular to the line drawn on the surface. It’s unit is Nnr1.
(b) Surface tension of a liquid depends upon following factors.
(i) Temperature: Surface tension decreases with rise in temperature. As the temperature of the liquid increases, the average kinetic energy of the molecules increases. Thus, there is a decrease in intermolecular force of attraction which decreases the surface tension.
(ii) Nature of the liquid: Greater the magnitude of intermolecular forces of attraction in the liquid, greater will be the value of surface tension.
Question 10. A neon-dioxygen mixture contains 70.6 g dioxygen and 167.5g neon. If pressure of the mixture of gases in the cylinder is 25 bar. What is the partial pressure of dioxygen and neon in the mixture?
Answer:

III. Long Answer Type Questions
Question 1. State and explain Boyle’s law. Represent the law graphically.
Answer: It states that, the pressure of a fixed mass of a gas is inversely proportional to its ‘ volume if temperature is kept constant.

Question 2. Give an expression for the van der Wools equation. Give the significance of the constants used in the equation. What are their units?
Answer:

When n is the no. of moles present and ‘a’ and ‘V are known as van der Waals constants.
Significance of van der Waals constants
van der Waals constant ‘a’ : ‘a’ is related to the magnitude of the attractive forces among the molecules of a particular gas. Greater the value of V, more will be the attractive forces.
Unit of ‘a’ = L2 mol-2
van der Waals Constant ‘b’: ‘b’ determines the volume occupied by the gas molecules which depends upon size of molecule.
Unit of ‘b’ = L mol-1.
Question 3. What are ideal and real gases? Out of CO2 and NH3 gases, which is expected to show more deviation from the ideal gas behaviour?
Answer: Ideal Gas: A gas that follows Boyle’s law, Charles’ law and Avogadro law strictly, is called an ideal gas. It is assumed that intermolecular forces are not present between the molecules of an ideal gas.
Real Gases: Gases which deviate from ideal gas behaviour are known as real gases. NH3 is expected to show more deviation. Since NH3 is polar in nature and it can be liquified easily.
Question 4. State and explain Dalton’s law of partial pressures. Can we apply Dalton’s law of partial pressures to a mixture of carbon monoxide and oxygen?
Answer: Dalton’s law of partial pressure: When two or more non-reacting gases are enclosed in a vessel, the total pressure of the gaseous mixture is equal to the sum of the partial pressures that each gas will exert when enclosed separately in the same vessel at constant temperature.
P= P1 + P2 + P3
Where, P is the total pressure of the three gases A, B, and C enclosed in a container. P1 , P2 and P3 are the partial pressures of the three gases when enclosed separately in the same vessel at a given temperature one by one.
No, the law cannot be applied. Carbon monoxide and oxygen readily combine to form carbon dioxide. The law can be applied only to the non-reacting gases.
IV. Multiple Choice Questions
Question 1. For one mole of a gas, the ideal gas equation is
(a) PV = 1/2RT (b) PV = RT (c) PV = 3/2RT (d) PV = 5/2 RT
Question 2. The average kinetic energy of the gas molecule is
(a) inversely proportional to its absolute temperature
(b) directly proportional to its absolute temperature
(c) equal to the square of its absolute temperature
(d) All of the above
Question 3. Which of the following is the correct mathematical relation for Charles law at constant pressure?
(a) VαT (b) Vαt. (c) Vα1/T (d) all of above
Question 4. At constant temperature, the pressure of the gas is reduced to one-third, the volume
(a) reduce to one-third (b) increases by three times
(c) remaining the same (d) cannot be predicted
Question 5. With rise in temperature, the surface tension of a liquid
(a) decreases (b) increases
(c) remaining the same (d) none of the above
Question 6. Viscosity of a liquid is a measure of
(a) repulsive forces between the liquid molecules
(b) frictional resistance
(c) intermolecular forces between the molecules
(d)none of the above
Question 7. The cleansing action of soaps and detergents is due to
(a) internal friction (b) high hydrogen bonding
(c) viscosity (d) surface tensions
Question 8. In van der Waals equation of state for a non-ideal gas the net force of attaction among the molecules is given by
![]()
Question 9. The compressibility factor, z for an ideal gas is
(a) zero (b) less than one (c) greater than one (d) equal to one
Question 10. Which of the following gases will have the lowest rate of diffusion?
(a) H2 (b) N2 (C) F2 (d) O2
Answer: 1. (b) 2. (b) 3. (a) 4. (b) 5. (a)
6. (b) 7. (d) 8. (a) 9. (d) 10. (c)
V. HOTS Questions
Question 1. (a) Why aerated water bottles kept under water during summer?
(b) Which property of liquid is responsible for spherical shape of drop?
(c) Why is moist air lighter than dry air?
(d) Define aqueous tension.
(e) What are units of a and b which are van der Waals constants?
Answer: (a) To reduce temperature, so as to reduce pressure, otherwise bottle may burst.
(b) Surface Tension.
(c) Moist air has water vapours which lowers vapour density, so it is lighter.
(d) It is pressure of water vapours at given temperature.
(e) Unit of a is L2 mol-2, b is L mol-1.
Question 2. Why does sharpened edge becomes smooth on heating up to melting point?
Answer: On heating the glass, it melts and take up rounded shape at edges which has minimum surface area b/c of surface tension.
Question 3. Arrange the following in order of increasing density:
![]()
Answer:

Question 4. An O2 cylinder has 10 LO2 at 200 atm. If patient takes 0.50 ml of O2 at 1 atm in one breath 37°C, how many breaths are possible?
Answer:
