Complex Numbers and Quadratic Equations Class 11 Maths NCERT Solutions are extremely helpful while doing your homework. NCERT Solutions for Class 11 Maths Chapter 5 Complex Numbers and Quadratic Equations All Exercises were prepared by Experienced LearnCBSE.in Teachers.
Free download NCERT Solutions for Class 11 Maths Chapter 5 Complex Numbers and Quadratic Equations Ex 5.1, Ex 5.2, Ex 5.3 and Miscellaneous Exercise PDF in Hindi Medium as well as in English Medium for CBSE, Uttarakhand, Bihar, MP Board, Gujarat Board, BIE, Intermediate and UP Board students, who are using NCERT Books based on updated CBSE Syllabus for the session 2019-20.
- Complex Numbers and Quadratic Equations Class 11 Ex 5.1
- Complex Numbers and Quadratic Equations Class 11 Ex 5.2
- Complex Numbers and Quadratic Equations Class 11 Ex 5.3
- Complex Numbers and Quadratic Equations Class 11 Miscellaneous Exercise
- सम्मिश्र संख्याएँ और द्विघातीय समीकरण प्रश्नावली 5.1 का हल हिंदी में
- सम्मिश्र संख्याएँ और द्विघातीय समीकरण प्रश्नावली 5.2 का हल हिंदी में
- सम्मिश्र संख्याएँ और द्विघातीय समीकरण प्रश्नावली 5.3 का हल हिंदी में
- सम्मिश्र संख्याएँ और द्विघातीय समीकरण विविध प्रश्नावली का हल हिंदी में
- Complex Numbers and Quadratic Equations Class 11 Notes
NCERT Solutions for Class 11 Maths Chapter 5 Complex Numbers and Quadratic Equations

Topics and Sub Topics in Class 11 Maths Chapter 5 Complex Numbers and Quadratic Equations:
| Section Name | Topic Name |
| 5 | Complex Numbers and Quadratic Equations |
| 5.1 | Introduction |
| 5.2 | Complex Numbers |
| 5.3 | Algebra of Complex Numbers |
| 5.4 | The Modulus and the Conjugate of a Complex Number |
| 5.5 | Argand Plane and Polar Representation |
| 5.6 | Quadratic Equations |
NCERT Solutions for Class 11 Maths Chapter 5 Exercise 5.1
Ex 5.1 Class 11 Maths Question 1:
![]()
Ans:

Ex 5.1 Class 11 Maths Question 2:
![]()
Ans:

More Resources for CBSE Class 11
- NCERT Solutions
- NCERT Solutions Class 11 Maths
- NCERT Solutions Class 11 Physics
- NCERT Solutions Class 11 Chemistry
- NCERT Solutions Class 11 Biology
- NCERT Solutions Class 11 Hindi
- NCERT Solutions Class 11 English
- NCERT Solutions Class 11 Business Studies
- NCERT Solutions Class 11 Accountancy
- NCERT Solutions Class 11 Psychology
- NCERT Solutions Class 11 Entrepreneurship
- NCERT Solutions Class 11 Indian Economic Development
- NCERT Solutions Class 11 Computer Science
Ex 5.1 Class 11 Maths Question 3:
![]()
Ans:

Ex 5.1 Class 11 Maths Question 4:
![]()
Ans:

Ex 5.1 Class 11 Maths Question 5:
![]()
Ans:

Ex 5.1 Class 11 Maths Question 6:
![]()
Ans:

Ex 5.1 Class 11 Maths Question 7:

Ans:

Ex 5.1 Class 11 Maths Question 8:
![]()
Ans:

Ex 5.1 Class 11 Maths Question 9:

Ans:

Ex 5.1 Class 11 Maths Question 10:
![]()
Ans:

Ex 5.1 Class 11 Maths Question 11:
![]()
Ans:

Ex 5.1 Class 11 Maths Question 12:
![]()
Ans:

Ex 5.1 Class 11 Maths Question 13:
![]()
Ans:

Ex 5.1 Class 11 Maths Question 14:

Ans:

NCERT Solutions for Class 11 Maths Chapter 5 Complex Numbers and Quadratic Equations (सम्मिश्र संख्याएँ और द्विघातीय समीकरण) Hindi medium Ex 5.1






NCERT Solutions for Class 11 Maths Chapter 5 Exercise 5.2
Ex 5.2 Class 11 Maths Question 1:
![]()
Ans:

Ex 5.2 Class 11 Maths Question 2:
![]()
Ans:

Ex 5.2 Class 11 Maths Question 3:
![]()
Ans:

Ex 5.2 Class 11 Maths Question 4:
![]()
Ans:

Ex 5.2 Class 11 Maths Question 5:
![]()
Ans:

Ex 5.2 Class 11 Maths Question 6:
![]()
Ans:

Ex 5.2 Class 11 Maths Question 7:
![]()
Ans:

Ex 5.2 Class 11 Maths Question 8:
![]()
Ans:

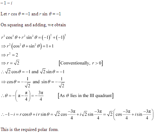
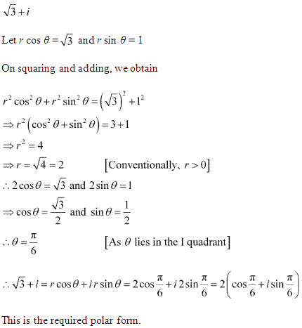
NCERT Solutions for Class 11 Maths Chapter 5 Exercise 5.3
Ex 5.3 Class 11 Maths Question 1:
![]()
Ans:

Ex 5.3 Class 11 Maths Question 2:
![]()
Ans:

Ex 5.3 Class 11 Maths Question 3:
![]()
Ans:

Ex 5.3 Class 11 Maths Question 4:
![]()
Ans:

Ex 5.3 Class 11 Maths Question 5:
![]()
Ans:

Ex 5.3 Class 11 Maths Question 6:
![]()
Ans:

Ex 5.3 Class 11 Maths Question 7:
![]()
Ans:

Ex 5.3 Class 11 Maths Question 8:
![]()
Ans:

Ex 5.3 Class 11 Maths Question 9:
![]()
Ans:

Ex 5.3 Class 11 Maths Question 10:
![]()
Ans:

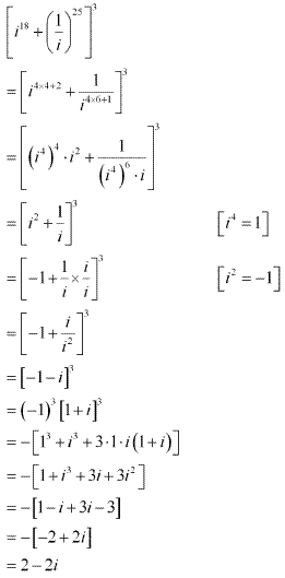
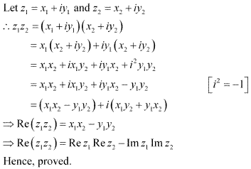
NCERT Solutions for Class 11 Maths Chapter 5 Miscellaneous Solutions
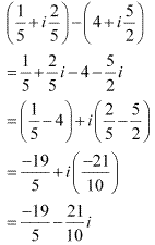
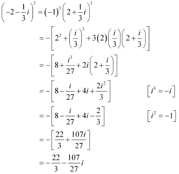
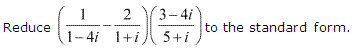
Miscellaneous Exercise Class 11 Maths Question 1:

Ans:

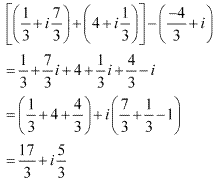
Miscellaneous Exercise Class 11 Maths Question 2:

Ans:

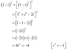
Miscellaneous Exercise Class 11 Maths Question 3:
![]()
Ans:

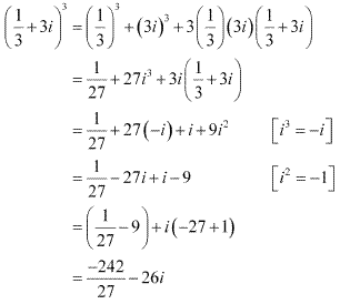
Miscellaneous Exercise Class 11 Maths Question 4:

Ans:

Miscellaneous Exercise Class 11 Maths Question 5:

Ans:


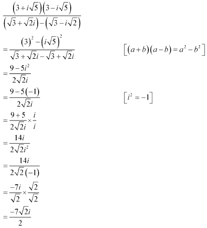
Miscellaneous Exercise Class 11 Maths Question 6:
![]()
Ans:

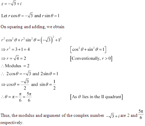
Miscellaneous Exercise Class 11 Maths Question 7:
![]()
Ans:

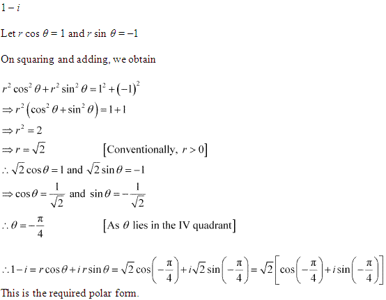
Miscellaneous Exercise Class 11 Maths Question 8:
![]()
Ans:

Miscellaneous Exercise Class 11 Maths Question 9:
![]()
Ans:

Miscellaneous Exercise Class 11 Maths Question 10:

Ans:

Miscellaneous Exercise Class 11 Maths Question 11:

Ans:

Miscellaneous Exercise Class 11 Maths Question 12:

Ans:

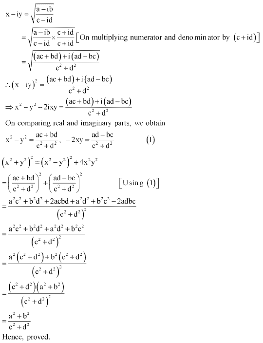
Miscellaneous Exercise Class 11 Maths Question 13:
![]()
Ans:

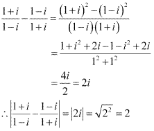
Miscellaneous Exercise Class 11 Maths Question 14:
![]()
Ans:

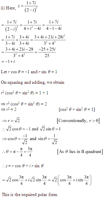
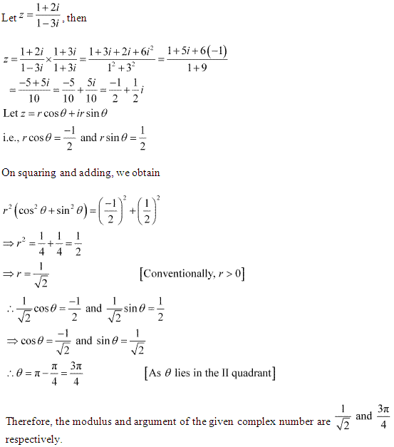
Miscellaneous Exercise Class 11 Maths Question 15:
![]()
Ans:

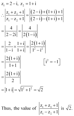
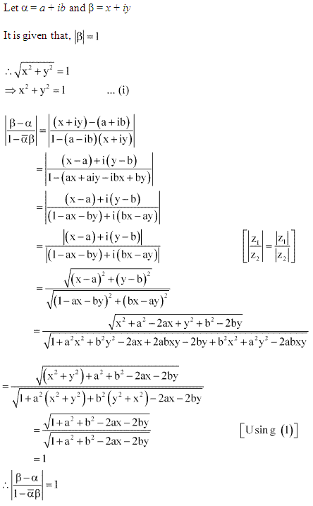
Miscellaneous Exercise Class 11 Maths Question 16:
![]()
Ans:

Miscellaneous Exercise Class 11 Maths Question 17:

Ans:

Miscellaneous Exercise Class 11 Maths Question 18:
![]()
Ans:

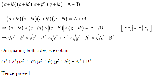
Miscellaneous Exercise Class 11 Maths Question 19:

Ans:

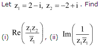
Miscellaneous Exercise Class 11 Maths Question 20:
![]()
Ans:

NCERT Solutions for Class 11 Maths All Chapters
- Chapter 1 Sets
- Chapter 2 Relations and Functions
- Chapter 6 Linear Inequalities
- Chapter 7 Permutation and Combinations
- Chapter 8 Binomial Theorem
- Chapter 10 Straight Lines
- Chapter 11 Conic Sections
- Chapter 12 Introduction to Three Dimensional Geometry
- Chapter 13 Limits and Derivatives
- Chapter 14 Mathematical Reasoning
- Chapter 15 Statistics
- Chapter 16 Probability