Binomial Theorem Class 11 Maths NCERT Solutions are extremely helpful while doing your homework. NCERT Solutions for Class 11 Maths Chapter 8 Binomial Theorem All Exercises were prepared by Experienced LearnCBSE.in Teachers.
Free download NCERT Solutions for Class 11 Maths Chapter 8 Binomial Theorem Ex 8.1, Ex 8.2, and Miscellaneous Exercise PDF in Hindi Medium as well as in English Medium for CBSE, Uttarakhand, Bihar, MP Board, Gujarat Board, BIE, Intermediate and UP Board students, who are using NCERT Books based on updated CBSE Syllabus for the session 2019-20.
- Binomial Theorem Class 11 Ex 8.1
- Binomial Theorem Class 11 Ex 8.2
- Binomial Theorem Class 11 Miscellaneous Exercise
- द्विपद प्रमेय प्रश्नावली 8.1 का हल हिंदी में
- द्विपद प्रमेय प्रश्नावली 8.2 का हल हिंदी में
- द्विपद प्रमेय विविध प्रश्नावली का हल हिंदी में
- Binomial Theorem Class 11 Notes
- Binomial Theorem Class 11 NCERT Exemplar
NCERT Solutions for Class 11 Maths Chapter 8 Binomial Theorem

Topics and Sub Topics in Class 11 Maths Chapter 8 Binomial Theorem:
| Section Name | Topic Name |
| 8 | Binomial Theorem |
| 8.1 | Introduction |
| 8.2 | Binomial Theorem for Positive Integral Indices |
| 8.3 | General and Middle Terms |
NCERT Solutions for Class 11 Maths Chapter 8 Exercise.8.1
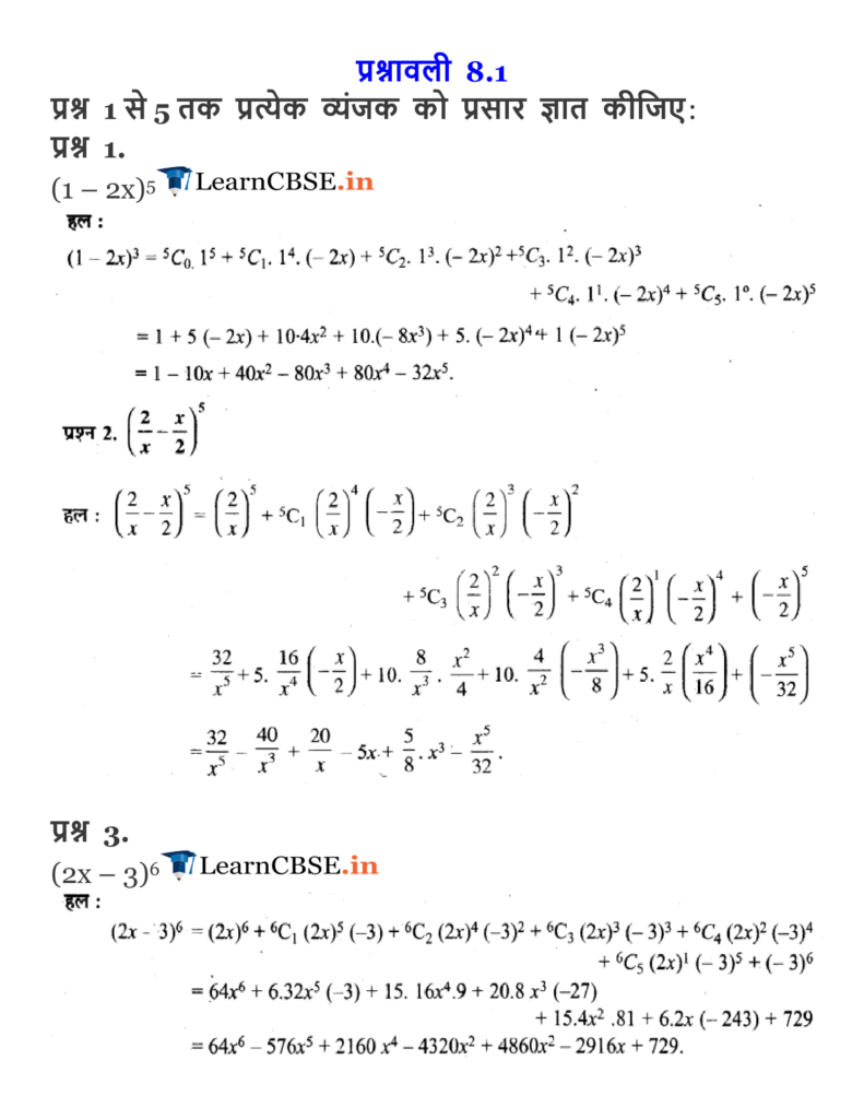
Ex 8.1 Class 6 Maths Question-1
![]()
Ans.

Ex 8.1 Class 6 Maths Question-2

Ans.

More Resources for CBSE Class 11
- NCERT Solutions
- NCERT Solutions Class 11 Maths
- NCERT Solutions Class 11 Physics
- NCERT Solutions Class 11 Chemistry
- NCERT Solutions Class 11 Biology
- NCERT Solutions Class 11 Hindi
- NCERT Solutions Class 11 English
- NCERT Solutions Class 11 Business Studies
- NCERT Solutions Class 11 Accountancy
- NCERT Solutions Class 11 Psychology
- NCERT Solutions Class 11 Entrepreneurship
- NCERT Solutions Class 11 Indian Economic Development
- NCERT Solutions Class 11 Computer Science
Ex 8.1 Class 6 Maths Question-3
![]()
Ans.

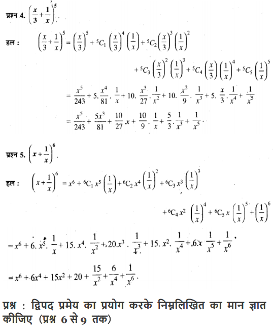
Ex 8.1 Class 6 Maths Question-4

Ans.

Ex 8.1 Class 6 Maths Question-5

Ans.

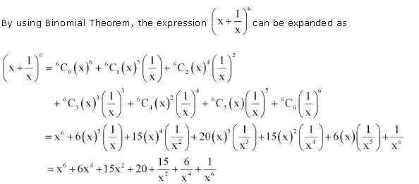
Ex 8.1 Class 6 Maths Question-6
![]()
Ans.

Ex 8.1 Class 6 Maths Question-7
![]()
Ans.

Ex 8.1 Class 6 Maths Question-8
![]()
Ans.

Ex 8.1 Class 6 Maths Question-9
![]()
Ans.

Ex 8.1 Class 6 Maths Question-10
![]()
Ans.

Ex 8.1 Class 6 Maths Question-11
![]()
Ans.

Ex 8.1 Class 6 Maths Question-12
![]()
Ans.

Ex 8.1 Class 6 Maths Question-13
![]()
Ans.

Ex 8.1 Class 6 Maths Question-14

Ans.

NCERT Solutions for Class 11 Maths Chapter 8 Binomial Theorem (द्विपद प्रमेय) Hindi medium Ex 8.1






NCERT Solutions for Class 11 Maths Chapter 8 Exercise.8.2
Ex 8.2 Class 11 Maths Question-1
![]()
Ans.

Ex 8.2 Class 11 Maths Question-2
![]()
Ans.

Ex 8.2 Class 11 Maths Question-3
![]()
Ans.

Ex 8.2 Class 11 Maths Question-4
![]()
Ans.

Ex 8.2 Class 11 Maths Question-5
![]()
Ans.

Ex 8.2 Class 11 Maths Question-6

Ans.

Ex 8.2 Class 11 Maths Question-7

Ans.

Ex 8.2 Class 11 Maths Question-8

Ans.

Ex 8.2 Class 11 Maths Question-9
![]()
Ans.

Ex 8.2 Class 11 Maths Question-10

Ans.


Ex 8.2 Class 11 Maths Question-11
![]()
Ans.


Ex 8.2 Class 11 Maths Question-12

Ans.

NCERT Solutions for Class 11 Maths Chapter 8 Miscellaneous Solutions
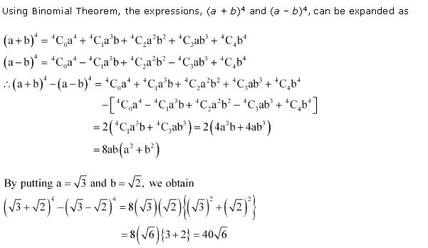
Miscellaneous Exercise Class 11 Maths Question-1
![]()
Ans.


Miscellaneous Exercise Class 11 Maths Question-2
![]()
Ans.


Miscellaneous Exercise Class 11 Maths Question-3
![]()
Ans.

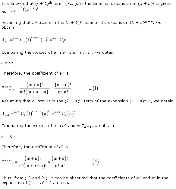
Miscellaneous Exercise Class 11 Maths Question-4

Ans.

Miscellaneous Exercise Class 11 Maths Question-5
![]()
Ans.

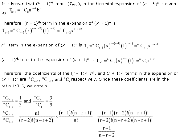
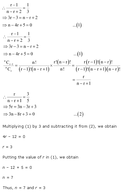
Miscellaneous Exercise Class 11 Maths Question-6

Ans.

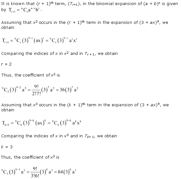
Miscellaneous Exercise Class 11 Maths Question-7
![]()
Ans.

Miscellaneous Exercise Class 11 Maths Question-8

Ans.


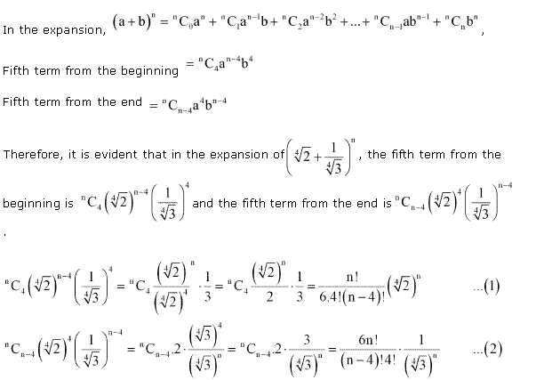
Miscellaneous Exercise Class 11 Maths Question-9

Ans.


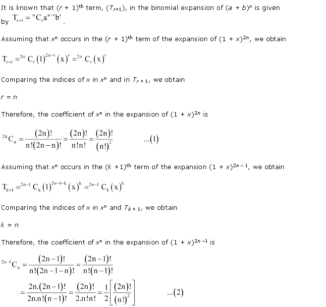
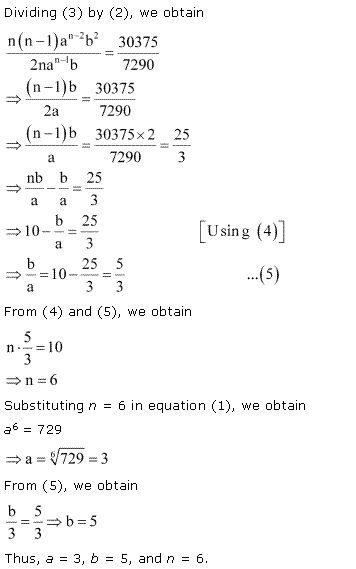
Miscellaneous Exercise Class 11 Maths Question-10
![]()
Ans.

NCERT Solutions for Class 11 Maths All Chapters
- Chapter 1 Sets
- Chapter 2 Relations and Functions
- Chapter 6 Linear Inequalities
- Chapter 7 Permutation and Combinations
- Chapter 8 Binomial Theorem
- Chapter 10 Straight Lines
- Chapter 11 Conic Sections
- Chapter 12 Introduction to Three Dimensional Geometry
- Chapter 13 Limits and Derivatives
- Chapter 14 Mathematical Reasoning
- Chapter 15 Statistics
- Chapter 16 Probability