NCERT Solutions for Class 12 Maths Chapter 8 Application of Integrals
NCERT Solutions for Class 12 Maths – Chapter 8 – Application of Integrals– is designed and prepared by the best teachers across India. All the important topics are covered in the exercises and each answer comes with a detailed explanation to help students understand concepts better. These NCERT solutions play a crucial role in your preparation for all exams conducted by the CBSE, including the JEE.
Chapter 8 – Application of Integrals covers multiple exercises. The answer to each question in every exercise is provided along with complete, step-wise solutions for your better understanding. This will prove to be most helpful to you in your home assignments as well as practice sessions.
The topics and sub-topics included in the Integrals chapter are the following:
| Section Name | Topic Name |
| 8 | Application of Integrals |
| 8.1 | Introduction |
| 8.2 | Area under Simple Curves |
| 8.3 | Area between Two Curves |








NCERT Solutions for Class 12 Maths Chapter 8 Application of Integrals Hindi Medium Ex 8.1











Class 12 Maths NCERT Solutions
HC Verma Concepts of Physics NCERT Solutions Homepage RD Sharma Solutions
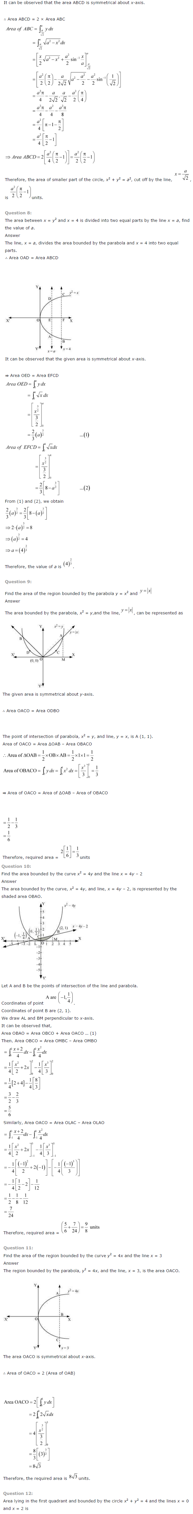
More Resources for NCERT Solutions Class 12: