NCERT Solutions For Class 6 Maths Playing With Numbers Exercise 3.5
- Playing with Numbers Class 6 Ex 3.1
- Playing with Numbers Class 6 Ex 3.2
- Playing with Numbers Class 6 Ex 3.3
- Playing with Numbers Class 6 Ex 3.4
- Playing with Numbers Class 6 Ex 3.5
- Playing with Numbers Class 6 Ex 3.6
- Playing with Numbers Class 6 Ex 3.7
- Playing with Numbers Class 6 Extra Questions
NCERT Solutions for Class 6 Maths Chapter 3 Playing With Numbers Ex 3.5
Exercise 3.5
Question 1.
Which of the following statements are true?
(a) If a number is divisible by 3, it must be divisible by 9.
(b) If a number is divisible by 9, it must be divisible by 3.
(c) A number is divisible by 18, if it is divisible by both 3 and 6.
(d) If a number is divisible by 9 and 10 both, then it must be divisible by 90.
(e) If two numbers are co-primes, at least one of them must be prime.
(f) All numbers which are divisible by 4 must also be divisible by 8.
(g) All numbers which are divisible by 8 must also be divisible by 4.
(h) If a number exactly divides two numbers separately,- it must exactly divide their sum.
(i) If a number exactly divides the sum of two numbers, it must exactly divide the two numbers separately.
Solution:
(a) False
(b) True
(c) False
(d) True
(e) False
(f) False
(g) True
(h) True
(i) False
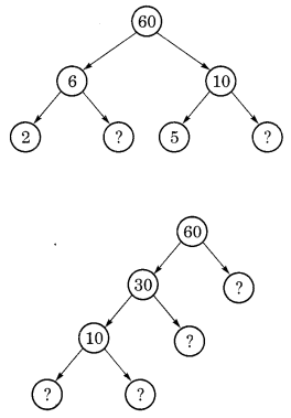
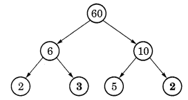
Question 2.
Here are two different factor trees for 60. Write the missing numbers.

Solution:
Given that

Here, 6 = 2 x missing number
∴ Missing number = 6 2 = 3
Similarly, 10 = 5 x missing number
∴ Missing number = 10 ÷ 5 = 2
Hence, the missing numbers are 3 and 2.
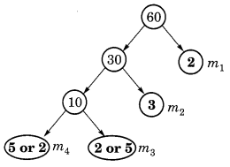
(b) Given that:

Let the missing numbers be m1, m2, m3 and m4.
60 = 30 x m1
⇒ m1 = 60 ÷ 30 = 2
30 = 10 x m2
⇒ m2 = 30 ÷ 10 = 3
10 = m3 x m4
⇒ m3 = 2 or 5 and m4 = 5 or 2
Hence, the missing numbers are 2, 3, 2, 5.
Question 3.
Which factors are not included in the prime factorisation of a composite number?
Solution:
1 and the number itself are not included in the prime factorisation of a composite number.
Question 4.
Write the greatest 4-digit number and express it in terms of its prime factors.
Solution:
The greatest 4-digit number = 9999

Hence, the prime factors of 9999 = 3 x 3 x 11 x 101.
Question 5.
Write the smallest 5-digit number and express it in the form of its prime factors.
Solution:
The smallest 5-digit number = 10000

Hence, the required prime factors: 10000 = 2 x 2 x 2 x 2 x 5 x 5 x 5 x 5.
Question 6.
Find all the prime factors of 1729 and arrange them in ascending order. Now state the relations, if any, between the two consecutive prime factors.
Solution:
Given number = 1729

Hence, the prime factors of 1729 = 7 x 13 x 19.
Here, 13 – 7 = 6 and 19 – 13 = 6
We see that the difference between two consecutive prime factors is 6.
Question 7.
The product of three consecutive numbers is always divisible by 6. Verify this statement with the help of some examples.
Solution:
Example 1:
Take three consecutive numbers 20, 21 and 22.
Here 20 is divisible by 2 and 21 is divisible by 3.
Therefore, the product 20 x 21 x 22 = 9240 is divisible by 6.
Example 2:
Take three consecutive numbers 30; 31 and 32.
Here 30 is divisible by 3 and 32 is divisible by 2.
Therefore, the product 30 x 31 x 32 = 29760 is divisible by 6.
Example 3:
Take three consecutive numbers 48, 49 and 50.
Here, 48 is divisible by 3 and 50 is divisible by 2.
Therefore, the product 48 x 49 x 50 = 117600 which is divisible by 6.
Question 8.
The sum of two consecutive odd numbers is divisible by 4. Verify this statement with the help of some examples.
Solution:
Example 1:
Let us take two consecutive odd numbers 97 and 99.
Sum = 97 + 99 = 196
Here, the number formed by last two digits is 96 which is divisible by 4.
Hence, the sum of numbers 97 and 99 i.e. 196 is divisible by 4.
Example 2:
Let us take two consecutive odd numbers 121 and 123.
Sum = 121 + 123 = 244
Here, the number formed by last two digits is 44 which is divisible by 4.
Example 3:
Let us take two consecutive odd numbers 105 and 107.
Sum = 105 + 107 = 212
Here, the number formed by the last two digits is 12 which is divisible by 4.
Question 9.
In which of the following expressions, prime factorisation has been done?
(a) 24 = 2 x 3 x 4
(b) 56 = 7 x 2 x 2 x 2
(c) 70 = 2 x 5 x 7
(d) 54 = 2 x 3 x 9.
Solution:
(a) 24 = 2 x 3 x 4
Here, 4 is not a prime number.
Hence, 24 = 2 x 3 x 4 is not a prime factorisation.
(b) 56 = 7 x 2 x 2 x 2
Here, all factors are prime numbers
Hence, 56 = 7 x 2 x 2 x 2 is a prime factorisation.
(c) 70 = 2 x 5 x 7
Here, all factors are prime numbers.
Hence, 70 = 2 x 5 x 7 is a prime factorisation.
(d) 54 = 2 x 3 x 9
Here, 9 is not a prime number.
Hence, 54 = 2 x 3 x 9 is not a prime factorisation.
Question 10.
Determine if 25110 is divisible by 45.
Solution:
45 = 5 x 9
Here, 5 and 9 are co-prime numbers.
Test of divisibility by 5: unit place of the given number 25110 is 0. So, it is divisible by 5.
Test of divisibility by 9:
Sum of the digits = 2 + 5 + l + l + 0 = 9 which is divisible by 9.
So, the given number is divisible by 5 and 9 both. Hence, the number 25110 is divisible by 45.
Question 11.
18 is divisible by both 2 and 3. It is also divisible by 2 x 3 = 6. Similarly, a number is divisible by both 4 and 6. Can we say that the number must also be divisible by 4 x 6 = 24? If not, give an example to justify your answer.
Solution:
Here, the given two numbers are not co-prime. So, it is not necessary that a number divisible by both 4 and 6, must also be divisible by their product 4 x 6 = 24.
Example: 36 and 60 are divisible by 4, both 4 and 6 but not by 24.
Question 12.
I am the smallest number, having four different prime factors. Can you find me?
Solution:
We know that the smallest 4 prime numbers are 2, 3, 5 and 7.
Hence, the required number = 2 x 3 x 5 x 7 = 210
NCERT SolutionsMathsScienceSocialEnglishHindiSanskritRD Sharma