NCERT Solutions for Class 7 Maths Chapter 9 Rational Numbers Ex 9.1
NCERT Solutions for Class 7 Maths Chapter 9 Rational Numbers Exercise 9.1
Ex 9.1 Class 7 Maths Question 1.
List five rational numbers between:
(i) -1 and 0
(ii) -2 and -1
(iii) \(\frac{-4}{5} \text { and } \frac{-2}{3}\)
(iv) \(\frac{1}{2} \text { and } \frac{2}{3}\)
Solution:
(i) -1 and 0
Converting each of rational numbers as a denominator 5 + 1 = 6, we have

Hence, the required five rational numbers between -1 and 0 are \(\frac{-5}{6}, \frac{-2}{3}, \frac{-1}{2}, \frac{-1}{3} \text { and }-\frac{1}{6}\)
(ii) -2 and -1
Converting each of rational numbers as a denominator 5 + 1 = 6, we have

(iii) \(\frac{-4}{5} \text { and } \frac{-2}{3}\)
Converting each of the rational numbers as a denominator 5 × 3 = 15, we have

Since there is only one integer i.e. -11 between -12 and -10, we have to find equivalent rational numbers.

(iv) \(\frac{1}{2} \text { and } \frac{2}{3}\)
Converting each of the rational numbers in their equivalent rational numbers, we have


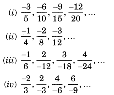
Ex 9.1 Class 7 Maths Question 2.
Write four more rational numbers in each of the following patterns:

Solution:





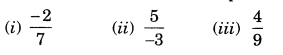
Ex 9.1 Class 7 Maths Question 3.
Give four rational numbers equivalent to:

Solution:


Ex 9.1 Class 7 Maths Question 4.
Draw a number line and represent the following rational numbers on it:

Solution:

Ex 9.1 Class 7 Maths Question 5.
The points P, Q, R, S, T, U, A and B on the number line are such that, TR = RS = SU and AP = PQ = QB. Name the rational numbers represented by P, Q, R and S.
![]()
Solution:
Rational numbers represented by P, Q, R and S.
\(\frac{7}{3}, \frac{8}{3}, \frac{-4}{3} \text { and } \frac{-5}{3}\) respectlvely.
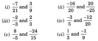
Ex 9.1 Class 7 Maths Question 6.
Which of the following pairs represent the same rational number?

![]()
Solution:



Ex 9.1 Class 7 Maths Question 7.
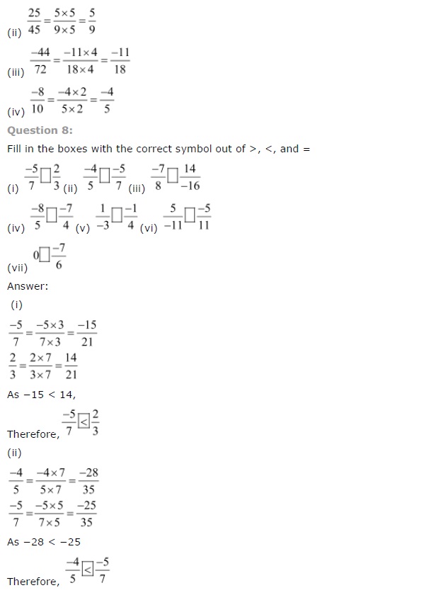
Rewrite the following rational numbers in the simplest form:
![]()
Solution:

Ex 9.1 Class 7 Maths Question 8.
Fill in the boxes with the correct symbol out of >, < and =.

Solution:



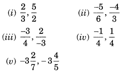
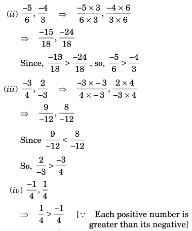
Ex 9.1 Class 7 Maths Question 9.
Which is greater in each of the following:

Solution:



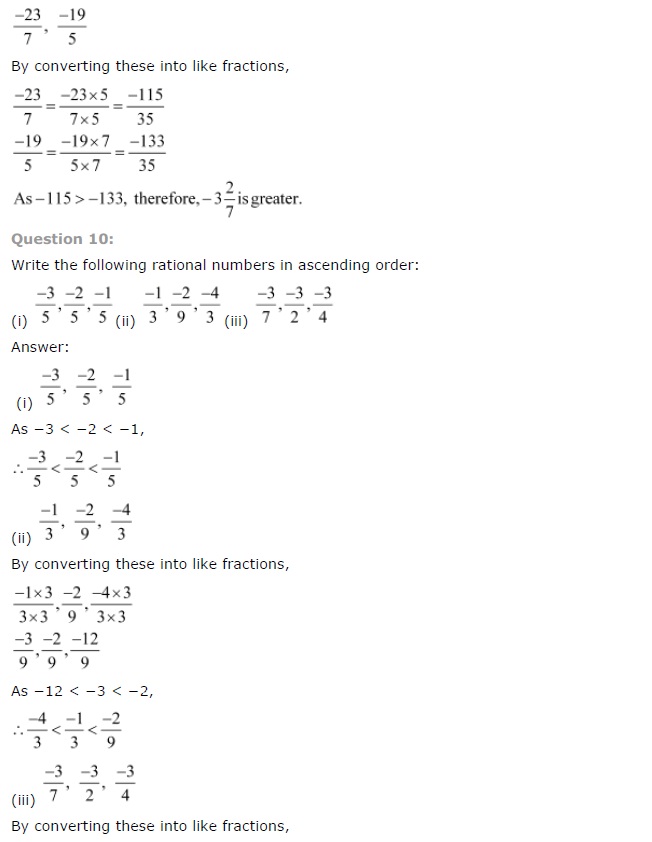
Ex 9.1 Class 7 Maths Question 10.
Write the following rational numbers in ascending order:

Solution:














Class 7 Maths Chapter 9 Exercise 9.2




NCERT SolutionsMathsScienceSocialEnglishSanskritHindiRD Sharma