NCERT Solutions for Class 8 Maths Chapter 14 Factorisation Ex 14.2
- Class 8 Maths Factorisation Exercise 14.1
- Class 8 Maths Factorisation Exercise 14.2
- Class 8 Maths Factorisation Exercise 14.3
NCERT Solutions for Class 8 Maths Chapter 14 Factorisation Exercise 14.2
Ex 14.2 Class 8 Maths Question 1.
Factorise the following expressions.
(i) a2 + 8a +16
(ii) p2 – 10p + 25
(iii) 25m2 + 30m + 9
(iv) 49y2 + 84yz + 36z2
(v) 4x2 – 8x + 4
(vi) 121b2 – 88bc + 16c2
(vii) (l + m)2 – 4lm. (Hint: Expand (l + m)2 first)
(viii) a4 + 2a2b2 + b4
Solution:
(i) a2 + 8a + 16
Here, 4 + 4 = 8 and 4 × 4 = 16
a2 + 8a +16
= a2 + 4a + 4a + 4 × 4
= (a2 + 4a) + (4a + 16)
= a(a + 4) + 4(a + 4)
= (a + 4) (a + 4)
= (a + 4)2
(ii) p2 – 10p + 25
Here, 5 + 5 = 10 and 5 × 5 = 25
p2 – 10p + 25
= p2 – 5p – 5p + 5 × 5
= (p2 – 5p) + (-5p + 25)
= p(p – 5) – 5(p – 5)
= (p – 5) (p – 5)
= (p – 5)2
(iii) 25m2 + 30m + 9
Here, 15 + 15 = 30 and 15 × 15 = 25 × 9 = 225
25m2 + 30m + 9
= 25m2 + 15m + 15m + 9
= (25m2 + 15m) + (15m + 9)
= 5m(5m + 3) + 3(5m + 3)
= (5m + 3) (5m + 3)
= (5m + 3)2
(iv) 49y2 + 84yz + 36z2
Here, 42 + 42 = 84 and 42 × 42 = 49 × 36 = 1764
49y2 + 84yz + 36z2
= 49y2 + 42yz + 42yz + 36z2
= 7y(7y + 6z) +6z(7y + 6z)
= (7y + 6z) (7y + 6z)
= (7y + 6z)2
(v) 4x2 – 8x + 4
= 4(x2 – 2x + 1) [Taking 4 common]
= 4(x2 – x – x + 1)
= 4[x(x – 1) -1(x – 1)]
= 4(x – 1)(x – 1)
= 4(x – 1)2
(vi) 121b2 – 88bc + 16c2
Here, 44 + 44 = 88 and 44 × 44 = 121 × 16 = 1936
121b2 – 88bc + 16c2
= 121b2 – 44bc – 44bc + 16c2
= 11b(11b – 4c) – 4c(11b – 4c)
= (11b – 4c) (11b – 4c)
= (11b – 4c)2
(vii) (l + m)2 – 4lm
Expanding (l + m)2, we get
l2 + 2lm + m2 – 4lm
= l2 – 2lm + m2
= l2 – Im – lm + m2
= l(l – m) – m(l – m)
= (l – m) (l – m)
= (l – m)2
(viii) a4 + 2a2b2 + b4
= a4 + a2b2 + a2b2 + b4
= a2(a2 + b2) + b2(a2 + b2)
= (a2 + b2)(a2 + b2)
= (a2 + b2)2
Ex 14.2 Class 8 Maths Question 2.
Factorise.
(i) 4p2 – 9q2
(ii) 63a2 – 112b2
(iii) 49x2 – 36
(iv) 16x5 – 144x3
(v) (l + m)2 – (l – m)2
(vi) 9x2y2 – 16
(vii) (x2 – 2xy + y2) – z2
(viii) 25a2 – 4b2 + 28bc – 49c2
Solution:
(i) 4p2 – 9q2
= (2p)2 – (3q)2
= (2p – 3q) (2p + 3q)
[∵ a2 – b2 = (a + b)(a – b)]
(ii) 63a2 – 112b2
= 7(9a2 – 16b2)
= 7 [(3a)2 – (4b)2]
= 7(3a – 4b)(3a + 4b)
[∵ a2 – b2 = (a + b)(a – b)]
(iii) 49x2 – 36 = (7x)2 – (6)2
= (7x – 6) (7x + 6)
[∵ a2 – b2 = (a + b)(a – b)]
(iv) 16x5 – 144x3 = 16x3 (x2 – 9)
= 16x3 [(x)2 – (3)2]
= 16x3(x – 3)(x + 3)
[∵ a2 – b2 = (a + b)(a – b)]
(v) (l + m)2 – (l – m)2
= (l + m) – (l – m)] [(l + m) + (l – m)]
[∵ a2 – b2 = (a + b)(a – b)]
= (l + m – l + m)(l + m + l – m)
= (2m) (2l)
= 4ml
(vi) 9x2y2 – 16 = (3xy)2 – (4)2
= (3xy – 4)(3xy + 4)
[∵ a2 – b2 = (a + b)(a – b)]
(vii) (x2 – 2xy + y2) – z2
= (x – y)2 – z2
= (x – y – z) (x – y + z)
[∵ a2 – b2 = (a + b)(a – b)]
(viii) 25a2 – 4b2 + 28bc – 49c2
= 25a2 – (4b2 – 28bc + 49c2)
= (5a)2 – (2b – 7c)2
= [5a – (2b – 7c)] [5a + (2b – 7c)]
= (5a – 2b + 7c)(5a + 2b – 7c)
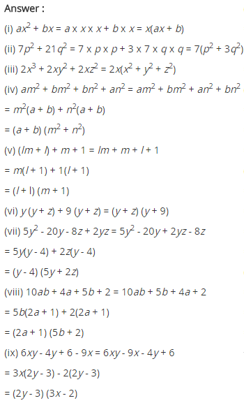
Ex 14.2 Class 8 Maths Question 3.
Factorise the expressions.
(i) ax2 + bx
(ii) 7p2 + 21q2
(iii) 2x3 + 2xy2 + 2xz2
(iv) am2 + bm2 + bn2 + an2
(v) (lm + l) + m + 1
(vi) y(y + z) + 9(y + z)
(vii) 5y2 – 20y – 8z + 2yz
(viii) 10ab + 4a + 5b + 2
(ix) 6xy – 4y + 6 – 9x
Solution:
(i) ax2 + bx = x(ax + 5)
(ii) 7p2 + 21q2 = 7(p2 + 3q2)
(iii) 2x3 + 2xy2 + 2xz2 = 2x(x2 + y2 + z2)
(iv) am2 + bm2 + bn2 + an2
= m2 (a + b) + n2(a + b)
= (a + b)(m2 + n2)
(v) (lm + l) + m + 1
= l(m + 1) + (m + 1)
= (m + 1) (l + 1)
(vi) y(y + z) + 9(y + z) = (y + z)(y + 9)
(vii) 5y2 – 20y – 8z + 2yz
= 5y2 – 20y + 2yz – 8z
= 5y(y – 4) + 2z(y – 4)
= (y – 4) (5y + 2z)
(viii) 10ab + 4a + 5b + 2
= 2a(5b + 2) + 1(5b + 2)
= (5b + 2)(2a + 1)
(ix) 6xy – 4y + 6 – 9x
= 6xy – 4y – 9x + 6
= 2y(3x – 2) – 3(3x – 2)
= (3x – 2) (2y – 3)
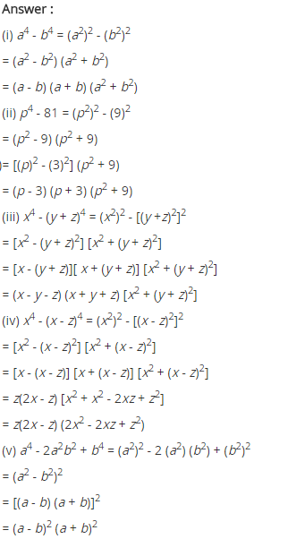
Ex 14.2 Class 8 Maths Question 4.
Factorise.
(i) a4 – b4
(ii) p4 – 81
(iii) x4 – (y + z)4
(iv) x4 – (x – z)4
(v) a4 – 2a2b2 + b4
Solution:
(i) a4 – b4 – (a2)2 – (b2)2
[∵ a2 – b2 = (a – b)(a + b)]
= (a2 – b2) (a2 + b2)
= (a – b) (a + b) (a2 + b2)
(ii) p4 – 81 = (p2)2 – (9)2
= (p2 – 9) (p2 + 9)
[∵ a2 – b2 = (a – b)(a + b)]
= (p – 3)(p + 3) (p2 + 9)
(iii) x4 – (y + z)4 = (x2)2 – [(y + z)2]2
[∵ a2 – b2 = (a – b)(a + b)]
= [x2 – (y + z)2] [x2 + (y + z)2]
= [x – (y + z)] [x + (y + z)] [x2 + (y + z)2]
= (x – y – z) (x + y + z) [x2 + (y + z)2]
(iv) x4 – (x – z)4 = (x2)2 – [(y – z)2]2
= [x2 – (y – z)2] [x2 + (y – z)2]
= (x – y + z) (x + y – z) (x2 + (y – z)2]
(v) a4 – 2a2b2 + b4
= a4 – a2b2 – a2b2 + b4
= a2(a2 – b2) – b2(a2 – b2)
= (a2 – b2)(a2 – b2)
= (a2 – b2)2
= [(a – b) (a + b)]2
= (a – b)2 (a + b)2
Ex 14.2 Class 8 Maths Question 5.
Factorise the following expressions.
(i) p2 + 6p + 8
(ii) q2 – 10q + 21
(iii) p2 + 6p – 16
Solution:
(i) p2 + 6p + 8
Here, 2 + 4 = 6 and 2 × 4 = 8
p2 + 6p + 8
= p2 + 2p + 4p + 8
= p (p + 2) + 4(p + 2)
= (p + 2) (p + 4)
(ii) q2 – 10q + 21
Here, 3 + 7 = 10 and 3 × 7 = 21
q2 – 10q + 21
= q2 – 3q – 7q + 21
= q(q – 3) – 7(q – 3)
= (q – 3) (q – 7)
(iii) p2 + 6p – 16
Here, 8 – 2 = 6 and 8 × 2 = 16
p2 + 6p – 16
= p2 + 8p – 2p – 16
= p(p + 8) – 2(p + 8)
= (p + 8) (p – 2)







