NCERT Solutions for Class 9 Maths Chapter 2 Polynomials Ex 2.5
NCERT Solutions for Class 9 Maths Chapter 2 Polynomials Topics and Subtopics:
- Polynomials
- Introduction
- Polynomials In One Variable
- Zeroes Of A Polynomial
- Remainder Theorem
- Factorisation Of Polynomials
- Algebraic Identities
- Summary
Formulae Handbook for Class 9 Maths and Science Educational Loans in India
- Chapter 2 Polynomials NCERT Solutions Ex 2.1
- Chapter 2 Polynomials NCERT Solutions Ex 2.2
- Chapter 2 Polynomials NCERT Solutions Ex 2.3
- Chapter 2 Polynomials NCERT Solutions Ex 2.4
- Extra Questions for Polynomials
NCERT Solutions for Class 9 Maths Chapter 2 Polynomials Ex 2.5
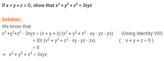
Ex 2.5 Class 9 Maths Question 1


More Resources for CBSE Class 9
- NCERT Solutions
- NCERT Solutions Class 9 Maths
- NCERT Solutions Class 9 Science
- NCERT Solutions Class 9 Social Science
- NCERT Solutions Class 9 English
- NCERT Solutions Class 9 Hindi
- NCERT Solutions Class 9 Sanskrit
- NCERT Solutions Class 9 IT
- RD Sharma Class 9 Solutions
Ex 2.5 Class 9 Maths Question 2


Ex 2.5 Class 9 Maths Question 3

Ex 2.5 Class 9 Maths Question 4


Ex 2.5 Class 9 Maths Question 5

Ex 2.5 Class 9 Maths Question 6


Ex 2.5 Class 9 Maths Question 7

Ex 2.5 Class 9 Maths Question 8


Ex 2.5 Class 9 Maths Question 9

Ex 2.5 Class 9 Maths Question 10

Ex 2.5 Class 9 Maths Question 11

Ex 2.5 Class 9 Maths Question 12

Ex 2.5 Class 9 Maths Question 13

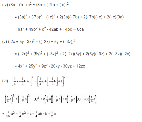
Ex 2.5 Class 9 Maths Question 14

Ex 2.5 Class 9 Maths Question 15

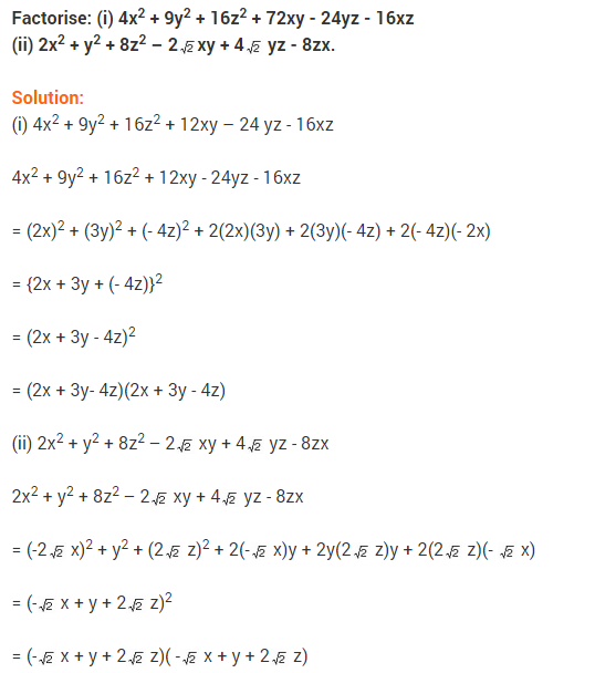
Ex 2.5 Class 9 Maths Question 16

NCERT Solutions for Class 9 Maths Chapter 2 Polynomials (बहुपद) (Hindi Medium) Ex 2.5














NCERT Solutions for Class 9 Maths
- Chapter 1 Number systems
- Chapter 2 Polynomials
- Chapter 3 Coordinate Geometry
- Chapter 4 Linear Equations in Two Variables
- Chapter 5 Introduction to Euclid Geometry
- Chapter 6 Lines and Angles
- Chapter 7 Triangles
- Chapter 8 Quadrilaterals
- Chapter 9 Areas of Parallelograms and Triangles
- Chapter 10 Circles
- Chapter 11 Constructions
- Chapter 12 Heron’s Formula
- Chapter 13 Surface Areas and Volumes
- Chapter 14 Statistics
- Chapter 15 Probability
- Class 9 Maths (Download PDF)