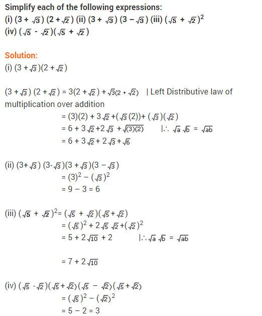
NCERT Solutions for Class 9 Maths Number System Ex 1.5
- Number systems
- Introduction
- Irrational Numbers
- Real Numbers And Their Decimal Expansions
- Representing Real Numbers On The Number Line
- Operations On Real Numbers
- Laws Of Exponents For Real Numbers
- Summary
- Chapter 1 Number System NCERT Solutions Ex 1.1
- Chapter 1 Number System NCERT Solutions Ex 1.2
- Chapter 1 Number System NCERT Solutions Ex 1.3
- Chapter 1 Number System NCERT Solutions Ex 1.4
- Extra Questions for Number Systems
NCERT Solutions for Class 9 Maths Number System Ex 1.5

More Resources for CBSE Class 9
- NCERT Solutions
- NCERT Solutions Class 9 Maths
- NCERT Solutions Class 9 Science
- NCERT Solutions Class 9 Social Science
- NCERT Solutions Class 9 English
- NCERT Solutions Class 9 Hindi
- NCERT Solutions Class 9 Sanskrit
- NCERT Solutions Class 9 IT
- RD Sharma Class 9 Solutions

Formulae Handbook for Class 9 Maths and ScienceEducational Loans in India






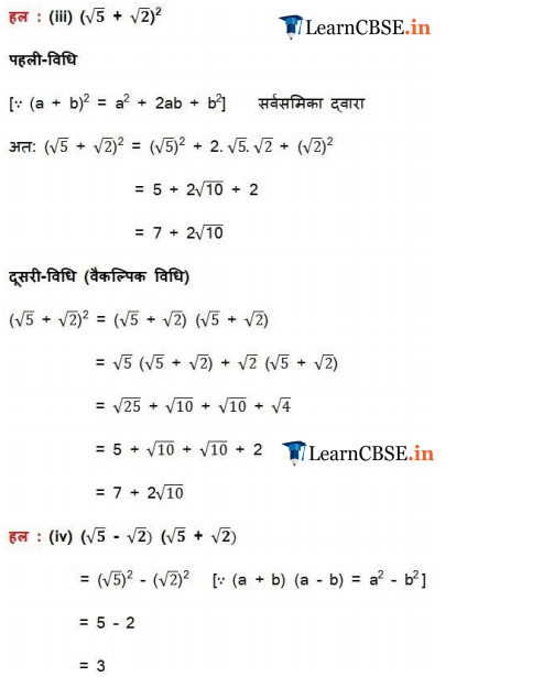
NCERT Solutions for Class 9 Maths Chapter 1 Number systems (Hindi Medium) Ex 1.5









NCERT Solutions for Class 9 Maths
- Chapter 1 Number systems
- Chapter 2 Polynomials
- Chapter 3 Coordinate Geometry
- Chapter 4 Linear Equations in Two Variables
- Chapter 5 Introduction to Euclid Geometry
- Chapter 6 Lines and Angles
- Chapter 7 Triangles
- Chapter 8 Quadrilaterals
- Chapter 9 Areas of Parallelograms and Triangles
- Chapter 10 Circles
- Chapter 11 Constructions
- Chapter 12 Heron’s Formula
- Chapter 13 Surface Areas and Volumes
- Chapter 14 Statistics
- Chapter 15 Probability
- Class 9 Maths (Download PDF)