HC Verma Solutions Vol 2 Photoelectric Effect Chapter 20 PDF are given in a comprehensive manner to enhance problem-solving skills for exams like JEE.
Photo Electric Effect HC Verma Concepts of Physics Solutions
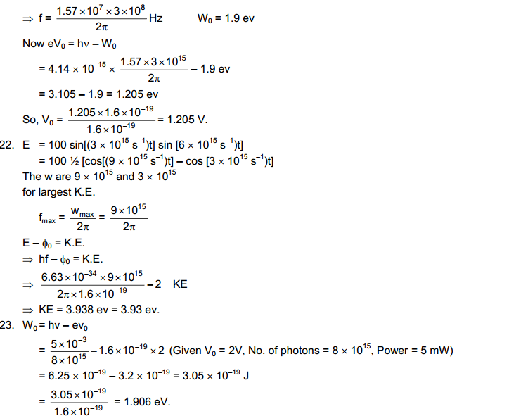
Photo Electric Effect HC Verma Concepts of Physics Solutions Chapter 42
















HC Verma Concepts of Physics NCERT Solutions Homepage RD Sharma Solutions
More Resources for CBSE Class 12: