NCERT Library

RD Sharma Class 10 Solutions Areas related to Circles Ex 16.1

August 18, 2017 by Sastry.CBSE

  1. CBSE

RD Sharma Class 10 Solutions Areas related to Circles Ex 16.1

Formulae Handbook for Class 10 Maths and Science

Exercise 16.1

  • Chapter 16 Surface Areas and Volumes Ex 16.1
  • Chapter 16 Surface Areas and Volumes Ex 16.2
  • Chapter 16 Surface Areas and Volumes Ex 16.3

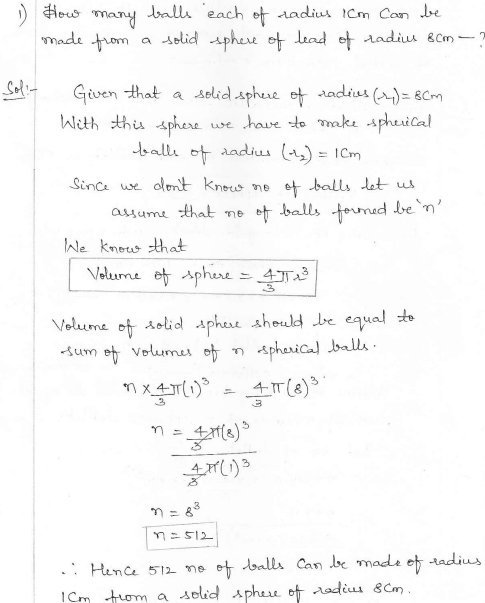
RD Sharma Class 10 Solutions Surface areas and Volumes Ex 16.1 Q1
RD Sharma Class 10 Solutions Surface areas and Volumes Ex 16.1 Q2
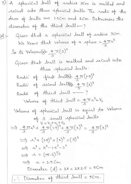
RD Sharma Class 10 Solutions Surface areas and Volumes Ex 16.1 Q3
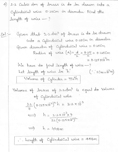
RD Sharma Class 10 Solutions Surface areas and Volumes Ex 16.1 Q4
RD Sharma Class 10 Solutions Surface areas and Volumes Ex 16.1 Q5_i
RD Sharma Class 10 Solutions Surface areas and Volumes Ex 16.1 Q5_ii
RD Sharma Class 10 Solutions Surface areas and Volumes Ex 16.1 Q6_i
RD Sharma Class 10 Solutions Surface areas and Volumes Ex 16.1 Q6_ii
RD Sharma Class 10 Solutions Surface areas and Volumes Ex 16.1 Q7
RD Sharma Class 10 Solutions Surface areas and Volumes Ex 16.1 Q8
RD Sharma Class 10 Solutions Surface areas and Volumes Ex 16.1 Q17
RD Sharma Class 10 Solutions Chapter 16 Surface areas and volumes Ex 16.1 Q 18
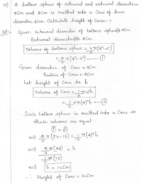
RD Sharma Class 10 Solutions Surface areas and Volumes Ex 16.1 Q19
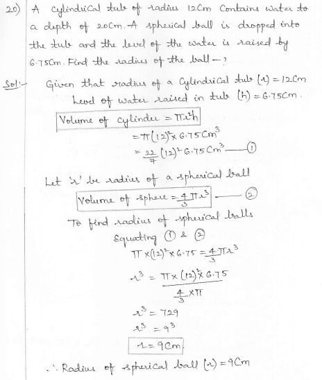
RD Sharma Class 10 Solutions Surface areas and Volumes Ex 16.1 Q20
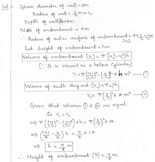
RD Sharma Class 10 Solutions Surface areas and Volumes Ex 16.1 Q21
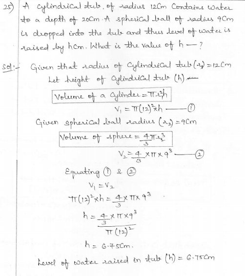
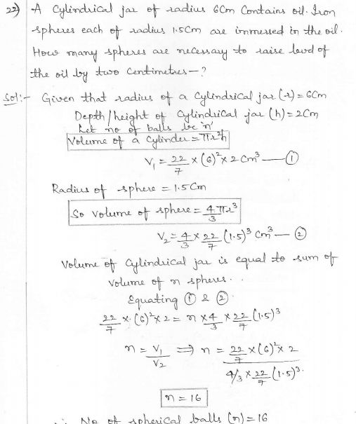
RD Sharma Class 10 Solutions Surface areas and Volumes Ex 16.1 Q22
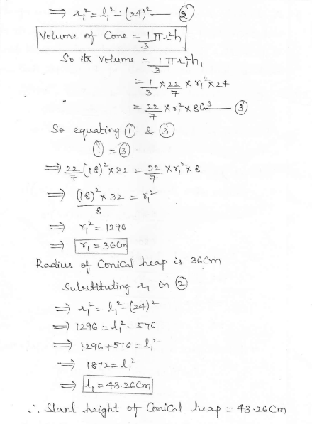
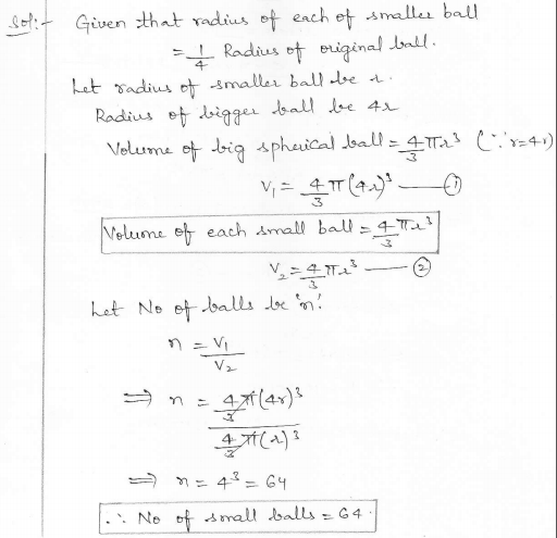
RD Sharma Class 10 Solutions Surface areas and Volumes Ex 16.1 Q23
RD Sharma Class 10 Solutions Surface areas and Volumes Ex 16.1 Q23_i
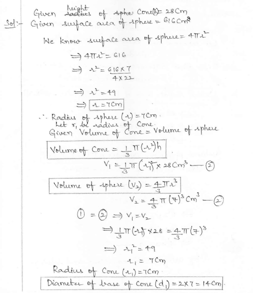
RD Sharma Class 10 Solutions Surface areas and Volumes Ex 16.1 Q24
RD Sharma Class 10 Solutions Surface areas and Volumes Ex 16.1 Q25
RD Sharma Class 10 Solutions Surface areas and Volumes Ex 16.1 Q26
RD Sharma Class 10 Solutions Surface areas and Volumes Ex 16.1 Q26_i
RD Sharma Class 10 Solutions Surface areas and Volumes Ex 16.1 Q27
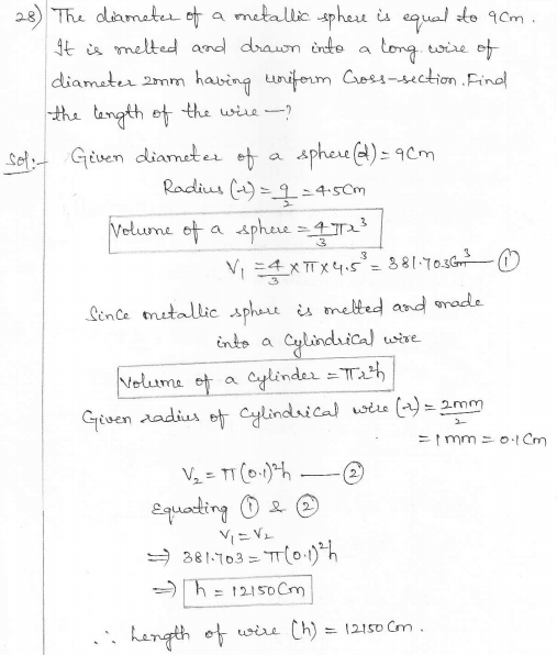
RD Sharma Class 10 Solutions Surface areas and Volumes Ex 16.1 Q28
RD Sharma Class 10 Solutions Surface areas and Volumes Ex 16.1 Q29_i
RD Sharma Class 10 Solutions Surface areas and Volumes Ex 16.1 Q29_iI
RD Sharma Class 10 Solutions Surface areas and Volumes Ex 16.1 Q30
RD Sharma Class 10 Solutions Surface areas and Volumes Ex 16.1 Q30_i
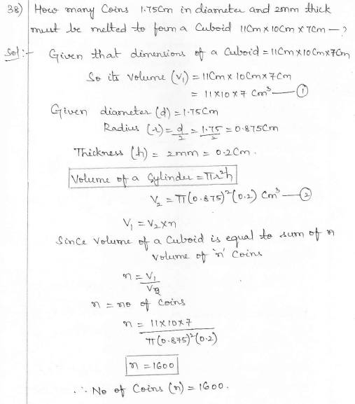
RD Sharma Class 10 Solutions Surface areas and Volumes Ex 16.1 Q32
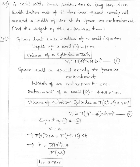
RD Sharma Class 10 Solutions Surface areas and Volumes Ex 16.1 Q31
RD Sharma Class 10 Solutions Surface areas and Volumes Ex 16.1 Q33
RD Sharma Class 10 Solutions Surface areas and Volumes Ex 16.1 Q34
RD Sharma Class 10 Solutions Surface areas and Volumes Ex 16.1 Q35
RD Sharma Class 10 Solutions Surface areas and Volumes Ex 16.1 Q36
RD Sharma Class 10 Solutions Surface areas and Volumes Ex 16.1 Q37
RD Sharma Class 10 Solutions Surface areas and Volumes Ex 16.1 Q38
RD Sharma Class 10 Solutions Surface areas and Volumes Ex 16.1 Q39
RD Sharma Class 10 Solutions Surface areas and Volumes Ex 16.1 Q40
RD Sharma Class 10 Solutions Surface areas and Volumes Ex 16.1 Q42
RD Sharma Class 10 Solutions Surface areas and Volumes Ex 16.1 Q43
RD Sharma Class 10 Solutions Surface areas and Volumes Ex 16.1 Q44_i
RD Sharma Class 10 Solutions Surface areas and Volumes Ex 16.1 Q44_ii
RD Sharma Class 10 Solutions Surface areas and Volumes Ex 16.1 Q45_i
RD Sharma Class 10 Solutions Surface areas and Volumes Ex 16.1 Q45_ii
RD Sharma Class 10 Solutions Surface areas and Volumes Ex 16.1 Q46_i
RD Sharma Class 10 Solutions Surface areas and Volumes Ex 16.1 Q46_ii

RD Sharma Class 10 SolutionsClass 10 Maths Sample Papers


Primary Sidebar

Sastry.CBSE

Sastry.CBSE

Sastry.CBSE

More about me

Recent Articles

  • Reasons-Why-Should-Kids-Learn-How-to-Code
    Coding for Kids: Ultimate Guide for Parents in 2020 on Prog…

Scaling Success, One Step at a Time with NCERT Library

More About Us
NCERT Library

Important Links

  • About Us
  • Contact Us
  • Disclaimer
  • Privacy Policy
  • Words and Expressions Class 10 Solutions
  • Words and Expressions Class 9 Solutions

© 2026 ncertlibrary.com