NCERT Library

RD Sharma Class 10 Solutions Areas related to Circles Ex 16.2

August 18, 2017 by Sastry.CBSE

  1. CBSE

RD Sharma Class 10 Solutions Areas related to Circles Ex 16.2

Formulae Handbook for Class 10 Maths and Science

Exercise 16.2

  • Chapter 16 Surface Areas and Volumes Ex 16.1
  • Chapter 16 Surface Areas and Volumes Ex 16.2
  • Chapter 16 Surface Areas and Volumes Ex 16.3

RD-Sharma-Class-10-Solutions-Surface-areas-and-Volumes-Ex16.2-Q1_i
RD-Sharma-Class-10-Solutions-Surface
RD-Sharma-Class-10-Solutions-Surface-areas-and-Volumes-Ex16.2-Q2_i
RD-Sharma-Class-10-Solutions-Surface-areas-and-Volumes-Ex16.2-Q2_ii
RD-Sharma-Class-10-Solutions-Surface-areas-and-Volumes-Ex16.2-Q3
RD-Sharma-Class-10-Solutions-Surface-areas-and-Volumes-Ex16.2-Q4
RD-Sharma-Class-10-Solutions-Surface-areas-and-Volumes-Ex16.2-Q5_i
RD-Sharma-Class-10-Solutions-Surface-areas-and-Volumes-Ex16.2-Q5_ii
RD-Sharma-Class-10-Solutions-Surface-areas-and-Volumes-Ex16.2-Q6_i
RD-Sharma-Class-10-Solutions-Surface-areas-and-Volumes-Ex16.2-Q6_ii
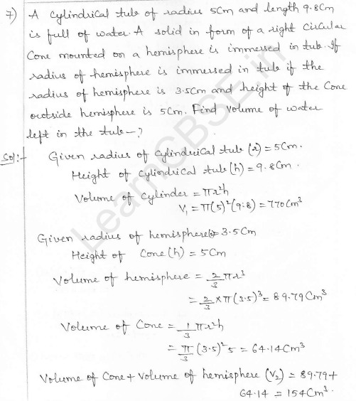
RD-Sharma-Class-10-Solutions-Surface-areas-and-Volumes-Ex16.2-Q7
RD-Sharma-Class-10-Solutions-Surface-areas-and-Volumes-Ex16.2-Q8
RD-Sharma-Class-10-Solutions-Surface-areas-and-Volumes-Ex16.2-Q9
RD-Sharma-Class-10-Solutions-Surface-areas-and-Volumes-Ex16.2-Q9_i
RD-Sharma-Class-10-Solutions-Surface-areas-and-Volumes-Ex16.2-Q10
RD-Sharma-Class-10-Solutions-Surface-areas-and-Volumes-Ex16.2-Q11
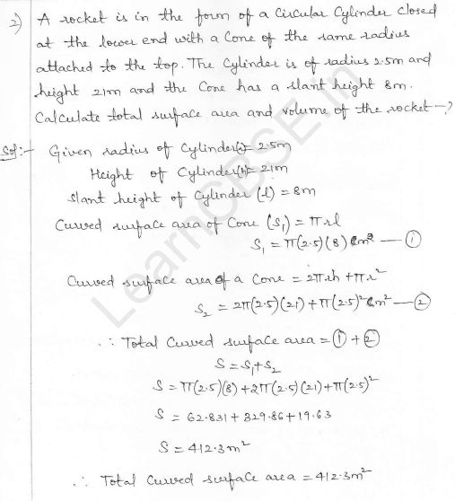
RD-Sharma-Class-10-Solutions-Surface-areas-and-Volumes-Ex16.2-Q12
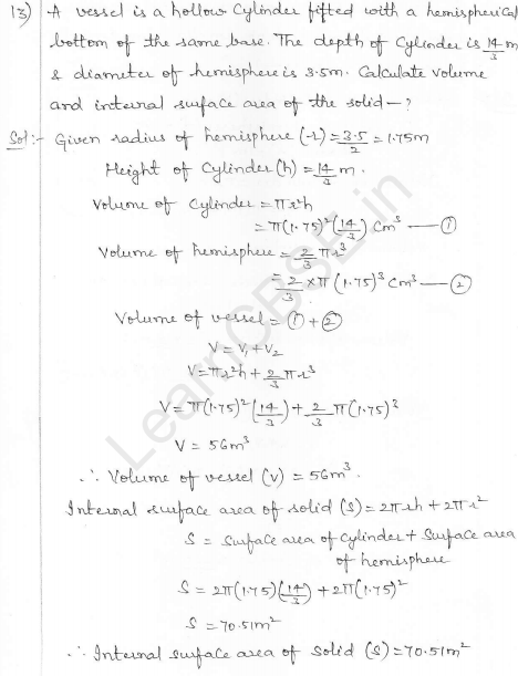
RD-Sharma-Class-10-Solutions-Surface-areas-and-Volumes-Ex16.2-Q13
RD-Sharma-Class-10-Solutions-Surface-areas-and-Volumes-Ex16.2-Q14
RD-Sharma-Class-10-Solutions-Surface-areas-and-Volumes-Ex16.2-Q15
RD-Sharma-Class-10-Solutions-Surface-areas-and-Volumes-Ex16.2-Q16
RD-Sharma-Class-10-Solutions-Surface-areas-and-Volumes-Ex16.2-Q17
RD-Sharma-Class-10-Solutions-Surface-areas-and-Volumes-Ex16.2-Q18_i
RD-Sharma-Class-10-Solutions-Surface-areas-and-Volumes-Ex16.2-Q18_ii
RD-Sharma-Class-10-Solutions-Surface-areas-and-Volumes-Ex16.2-Q19
RD-Sharma-Class-10-Solutions-Surface-areas-and-Volumes-Ex16.2-Q20
RD-Sharma-Class-10-Solutions-Surface-areas-and-Volumes-Ex16.2-Q20_i
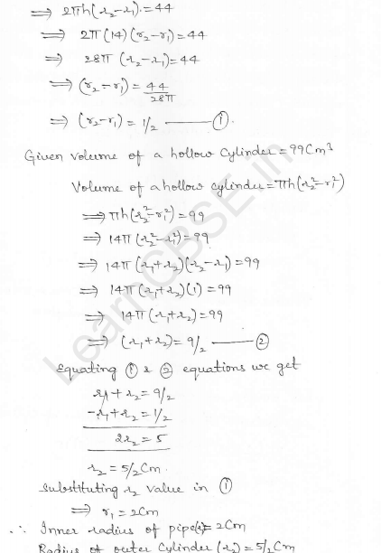
RD-Sharma-Class-10-Solutions-Surface-areas-and-Volumes-Ex16.2-Q21
RD-Sharma-Class-10-Solutions-Surface-areas-and-Volumes-Ex16.2-Q22
RD-Sharma-Class-10-Solutions-Surface-areas-and-Volumes-Ex16.2-Q23
RD-Sharma-Class-10-Solutions-Surface-areas-and-Volumes-Ex16.2-Q24
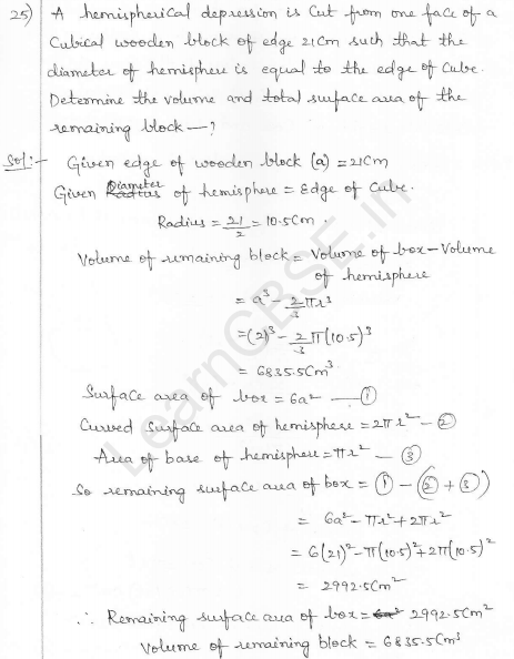
RD-Sharma-Class-10-Solutions-Surface-areas-and-Volumes-Ex16.2-Q25
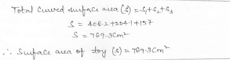
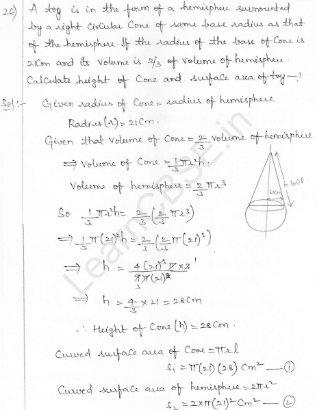
RD-Sharma-Class-10-Solutions-Surface-areas-and-Volumes-Ex16.2-Q26_i
RD-Sharma-Class-10-Solutions-Surface-areas-and-Volumes-Ex16.2-Q26_ii
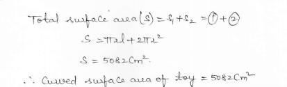
RD-Sharma-Class-10-Solutions-Surface-areas-and-Volumes-Ex16.2-Q27

RD Sharma Class 10 SolutionsClass 10 Maths Sample Papers


Primary Sidebar

Sastry.CBSE

Sastry.CBSE

Sastry.CBSE

More about me

Recent Articles

  • Reasons-Why-Should-Kids-Learn-How-to-Code
    Coding for Kids: Ultimate Guide for Parents in 2020 on Prog…

Scaling Success, One Step at a Time with NCERT Library

More About Us
NCERT Library

Important Links

  • About Us
  • Contact Us
  • Disclaimer
  • Privacy Policy
  • Words and Expressions Class 10 Solutions
  • Words and Expressions Class 9 Solutions

© 2026 ncertlibrary.com