RD Sharma Class 11 Solutions Chapter 10 Ex 10.2
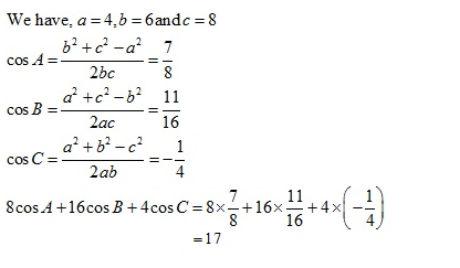
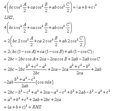
Sine and Cosine Formulae and their Applications Ex-10.2 Q1

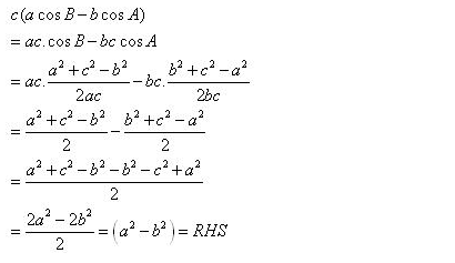
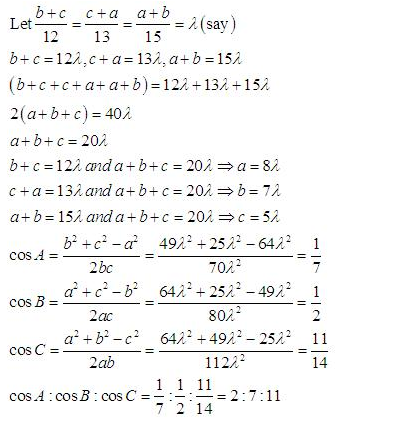
Sine and Cosine Formulae and their Applications Ex-10.2 Q2

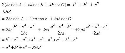
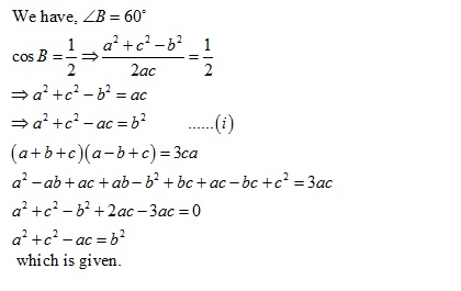
Sine and Cosine Formulae and their Applications Ex-10.2 Q3

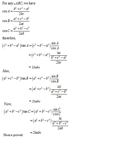
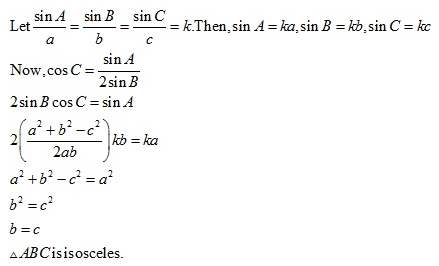
Sine and Cosine Formulae and their Applications Ex-10.2 Q4

Sine and Cosine Formulae and their Applications Ex-10.2 Q5

Sine and Cosine Formulae and their Applications Ex-10.2 Q6

Sine and Cosine Formulae and their Applications Ex-10.2 Q7

Sine and Cosine Formulae and their Applications Ex-10.2 Q8

Sine and Cosine Formulae and their Applications Ex-10.2 Q9

Sine and Cosine Formulae and their Applications Ex-10.2 Q10

Sine and Cosine Formulae and their Applications Ex-10.2 Q11

Sine and Cosine Formulae and their Applications Ex-10.2 Q12

Sine and Cosine Formulae and their Applications Ex-10.2 Q13

Sine and Cosine Formulae and their Applications Ex-10.2 Q14

Sine and Cosine Formulae and their Applications Ex-10.2 Q15

Sine and Cosine Formulae and their Applications Ex-10.2 Q16

Sine and Cosine Formulae and their Applications Ex-10.2 Q17

Sine and Cosine Formulae and their Applications Ex-10.2 Q18

Sine and Cosine Formulae and their Applications Ex-10.2 Q19
