RD Sharma Class 11 Solutions Chapter 10
Class 11 Solutions Chapter 10 Ex 10.2
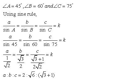
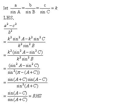
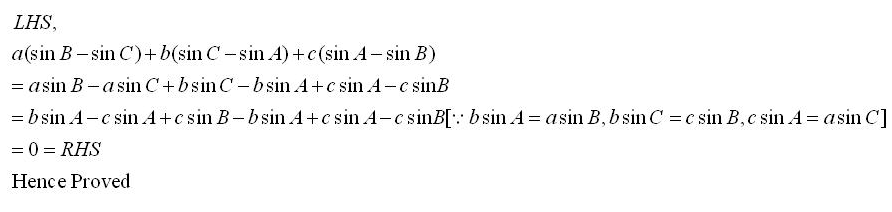
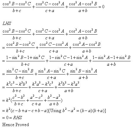
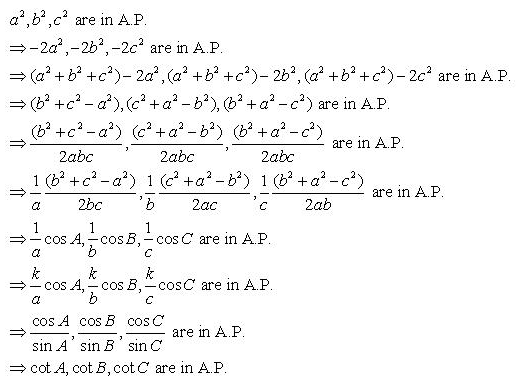
Sine and Cosine Formulae and their Applications Ex-10.1 Q1

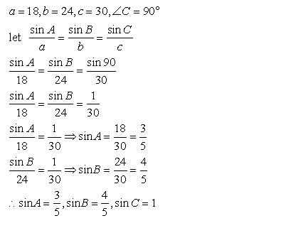
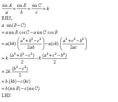
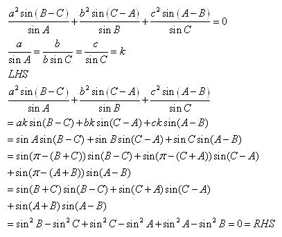
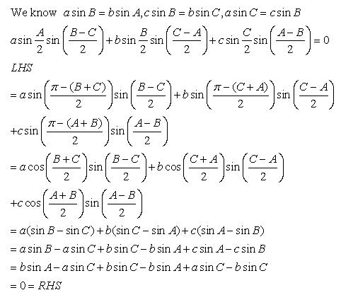
Sine and Cosine Formulae and their Applications Ex-10.1 Q2

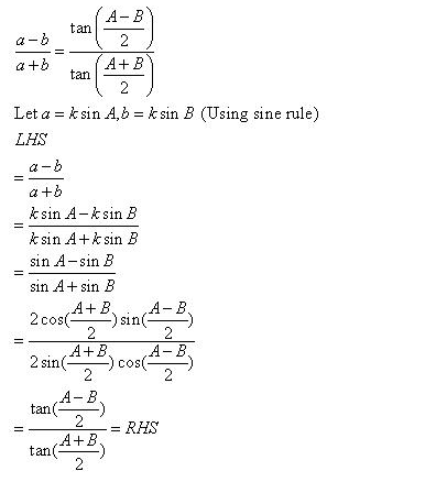
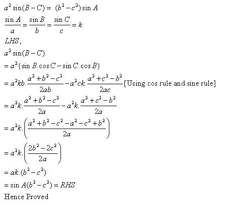
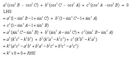
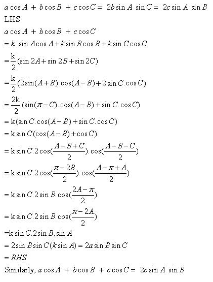
Sine and Cosine Formulae and their Applications Ex-10.1 Q3

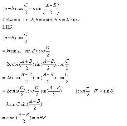
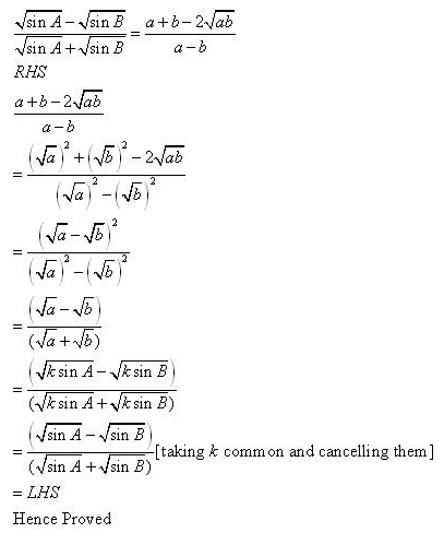
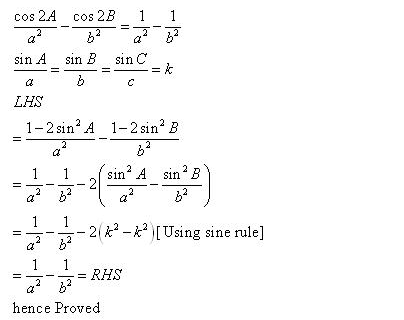
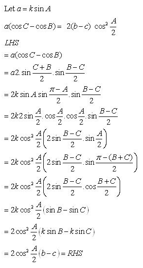
Sine and Cosine Formulae and their Applications Ex-10.1 Q4

Sine and Cosine Formulae and their Applications Ex-10.1 Q5

Sine and Cosine Formulae and their Applications Ex-10.1 Q6


Sine and Cosine Formulae and their Applications Ex-10.1 Q7

Sine and Cosine Formulae and their Applications Ex-10.1 Q8

Sine and Cosine Formulae and their Applications Ex-10.1 Q9

Sine and Cosine Formulae and their Applications Ex-10.1 Q10

Sine and Cosine Formulae and their Applications Ex-10.1 Q11

Sine and Cosine Formulae and their Applications Ex-10.1 Q12

Sine and Cosine Formulae and their Applications Ex-10.1 Q13

Sine and Cosine Formulae and their Applications Ex-10.1 Q14

Sine and Cosine Formulae and their Applications Ex-10.1 Q15

Sine and Cosine Formulae and their Applications Ex-10.1 Q16

Sine and Cosine Formulae and their Applications Ex-10.1 Q17

Sine and Cosine Formulae and their Applications Ex-10.1 Q18

Sine and Cosine Formulae and their Applications Ex-10.1 Q19

Sine and Cosine Formulae and their Applications Ex-10.1 Q20

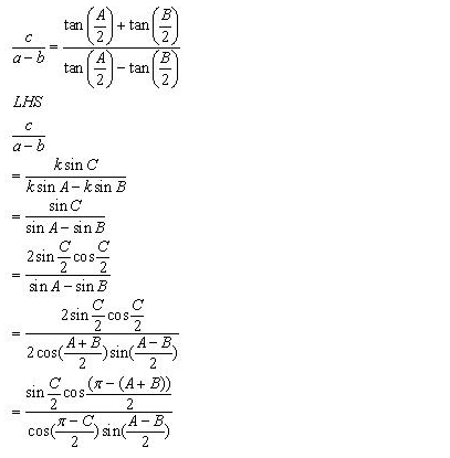
Sine and Cosine Formulae and their Applications Ex-10.1 Q21

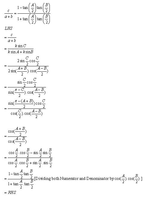
Sine and Cosine Formulae and their Applications Ex-10.1 Q22

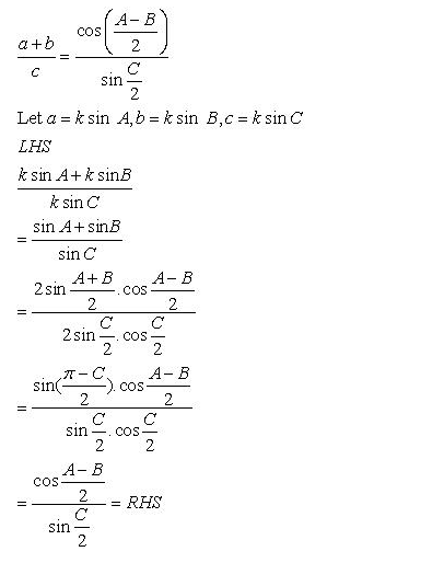
Sine and Cosine Formulae and their Applications Ex-10.1 Q23

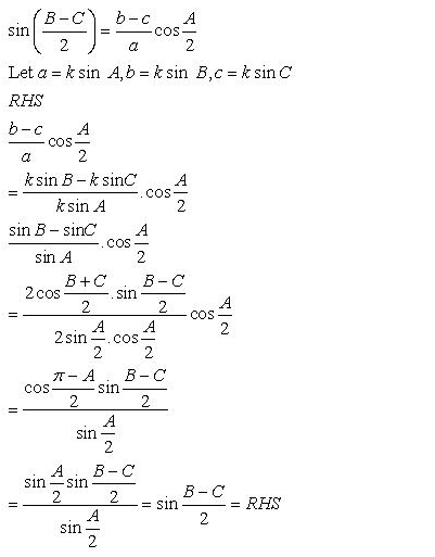
Sine and Cosine Formulae and their Applications Ex-10.1 Q24

Sine and Cosine Formulae and their Applications Ex-10.1 Q25

Sine and Cosine Formulae and their Applications Ex-10.1 Q26

Sine and Cosine Formulae and their Applications Ex-10.1 Q27

Sine and Cosine Formulae and their Applications Ex-10.1 Q28

Sine and Cosine Formulae and their Applications Ex-10.1 Q29


Sine and Cosine Formulae and their Applications Ex-10.1 Q30



Sine and Cosine Formulae and their Applications Ex-10.1 Q31
