RD Sharma Class 11 Solutions Chapter 19 Arithematic Progressions Ex 19.2
Arithematic Progressions Ex 19.2 Q1

Arithematic Progressions Ex 19.2 Q2

Arithematic Progressions Ex 19.2 Q3

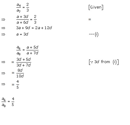
Arithematic Progressions Ex 19.2 Q4

Arithematic Progressions Ex 19.2 Q5

Arithematic Progressions Ex 19.2 Q6

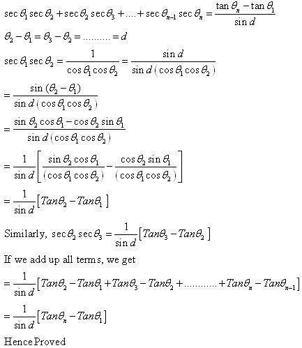
Arithematic Progressions Ex 19.2 Q7

Arithematic Progressions Ex 19.2 Q8

Arithematic Progressions Ex 19.2 Q9

Arithematic Progressions Ex 19.2 Q10

Arithematic Progressions Ex 19.2 Q11

Arithematic Progressions Ex 19.2 Q12

Arithematic Progressions Ex 19.2 Q13

Arithematic Progressions Ex 19.2 Q14

Arithematic Progressions Ex 19.2 Q15

Arithematic Progressions Ex 19.2 Q16

Arithematic Progressions Ex 19.2 Q17

Arithematic Progressions Ex 19.2 Q18

Arithematic Progressions Ex 19.2 Q19

Arithematic Progressions Ex 19.2 Q20

Arithematic Progressions Ex 19.2 Q21

Arithematic Progressions Ex 19.2 Q22

Arithematic Progressions Ex 19.2 Q23
