RD Sharma Class 11 Solutions Chapter 19 Arithematic Progressions Ex 19.6
Arithematic Progressions Ex 19.6 Q1

Arithematic Progressions Ex 19.6 Q2

Arithematic Progressions Ex 19.6 Q3

Arithematic Progressions Ex 19.6 Q4

Arithematic Progressions Ex 19.6 Q5

Arithematic Progressions Ex 19.6 Q6

Arithematic Progressions Ex 19.6 Q7

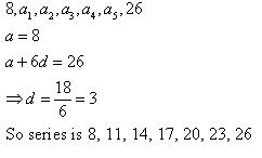
Arithematic Progressions Ex 19.6 Q8

Arithematic Progressions Ex 19.6 Q9
