RD Sharma Class 11 Solutions Chapter 2 Relations Ex 2.2
Class 11 Solutions Chapter 2 Relations Ex 2.2 Q1

Class 11 Solutions Chapter 2 Relations Ex 2.2 Q2

Class 11 Solutions Chapter 2 Relations Ex 2.2 Q3



Class 11 Solutions Chapter 2 Relations Ex 2.2 Q4


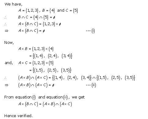
Class 11 Solutions Chapter 2 Relations Ex 2.2 Q5

Class 11 Solutions Chapter 2 Relations Ex 2.2 Q6


Class 11 Solutions Chapter 2 Relations Ex 2.2 Q7
