RD Sharma Class 11 Solutions Chapter 2 Relations Ex 2.1
Class 11 Solutions Chapter 2 Relations Ex 2.1 Q1


Class 11 Solutions Chapter 2 Relations Ex 2.1 Q2

Class 11 Solutions Chapter 2 Relations Ex 2.1 Q3

Class 11 Solutions Chapter 2 Relations Ex 2.1 Q4

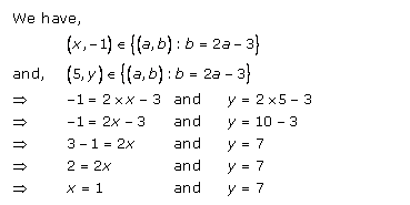
Class 11 Solutions Chapter 2 Relations Ex 2.1 Q5

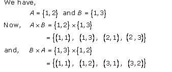
Class 11 Solutions Chapter 2 Relations Ex 2.1 Q6

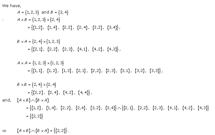
Class 11 Solutions Chapter 2 Relations Ex 2.1 Q7

Class 11 Solutions Chapter 2 Relations Ex 2.1 Q8

Class 11 Solutions Chapter 2 Relations Ex 2.1 Q9

Chapter 2 Relations Ex 2.1 Q10

Chapter 2 Relations Ex 2.1 Q11

Chapter 2 Relations Ex 2.1 Q12

Chapter 2 Relations Ex 2.1 Q13

Chapter 2 Relations Ex 2.1 Q14

Chapter 2 Relations Ex 2.1 Q15



