RD Sharma Class 11 Solutions Chapter 20 Geometric Progressions Ex 20.2
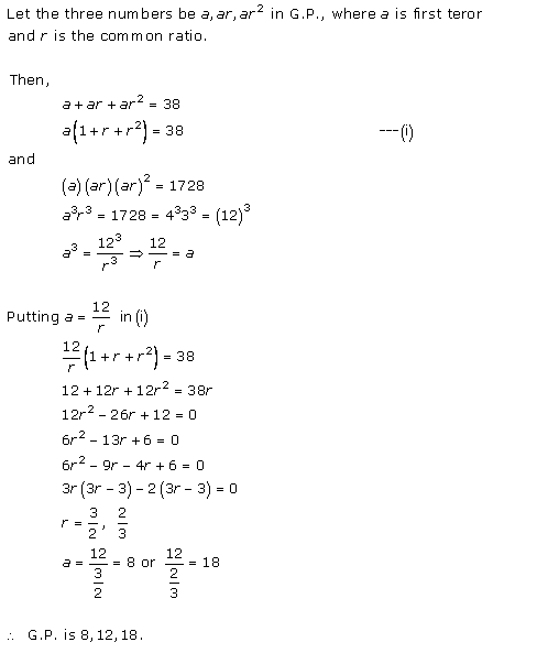
Geometric Progressions Ex 20.2 Q 1

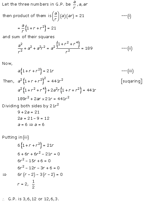
Geometric Progressions Ex 20.2 Q 2

Geometric Progressions Ex 20.2 Q 3

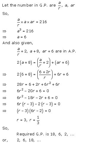
Geometric Progressions Ex 20.2 Q4

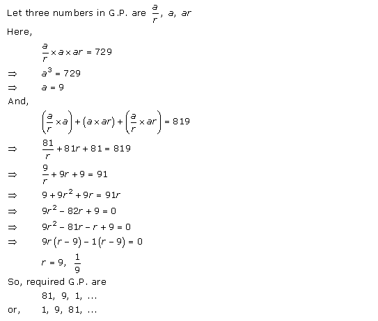
Geometric Progressions Ex 20.2 Q5

Geometric Progressions Ex 20.2 Q6

Geometric Progressions Ex 20.2 Q7

Geometric Progressions Ex 20.2 Q8

Geometric Progressions Ex 20.2 Q9
