RD Sharma Class 11 Solutions Chapter 20 Geometric Progressions Ex 20.3
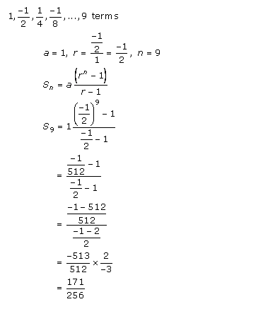
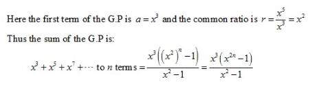
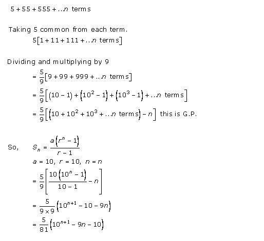
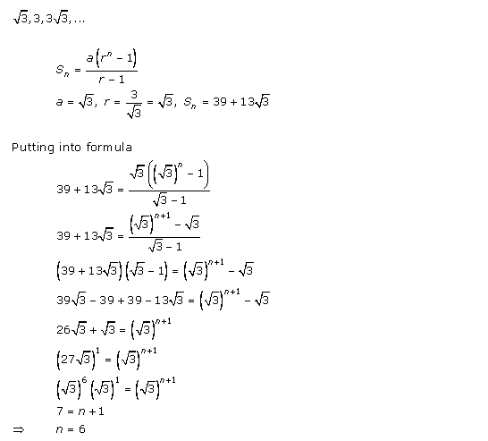
Geometric Progressions Ex 20.3 Q 1





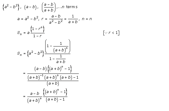
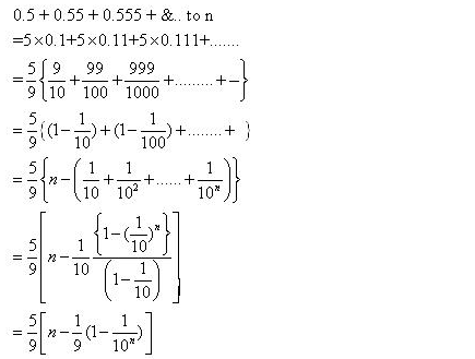
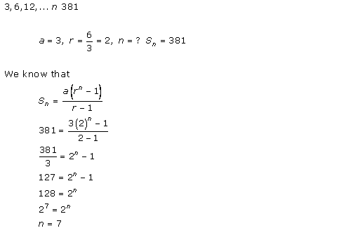
Geometric Progressions Ex 20.3 Q 2









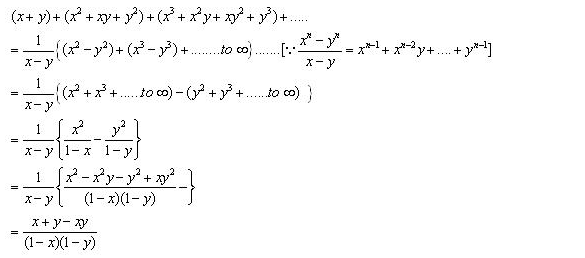
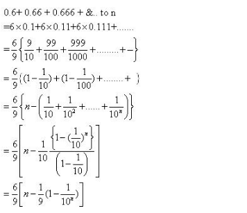
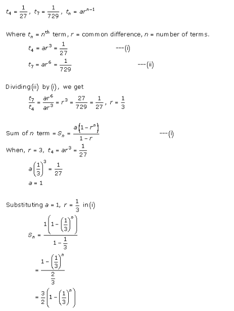
Geometric Progressions Ex 20.3 Q 3



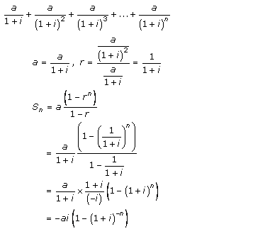
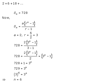
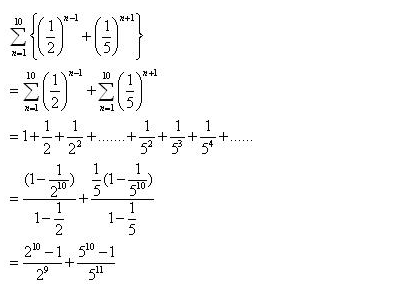
Geometric Progressions Ex 20.3 Q 4





Geometric Progressions Ex 20.3 Q 5

Geometric Progressions Ex 20.3 Q 6

Geometric Progressions Ex 20.3 Q 7

Geometric Progressions Ex 20.3 Q 8

Geometric Progressions Ex 20.3 Q 9

Geometric Progressions Ex 20.3 Q 10

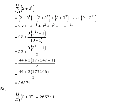
Geometric Progressions Ex 20.3 Q 11

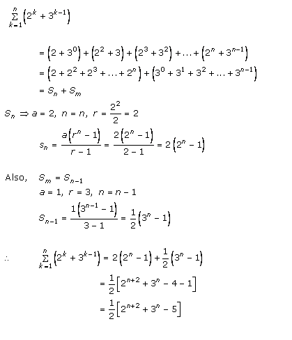
Geometric Progressions Ex 20.3 Q 12

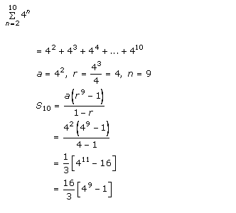
Geometric Progressions Ex 20.3 Q 13

Geometric Progressions Ex 20.3 Q14

Geometric Progressions Ex 20.3 Q15

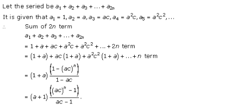
Geometric Progressions Ex 20.3 Q16.

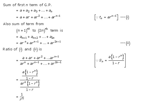
Geometric Progressions Ex 20.3 Q17

Geometric Progressions Ex 20.3 18

Geometric Progressions Ex 20.3 Q19.

Geometric Progressions Ex 20.3 Q20

Geometric Progressions Ex 20.3 Q21.

Geometric Progressions Ex 20.3 Q22.
