RD Sharma Class 11 Solutions Chapter 20 Geometric Progressions Ex 20.4
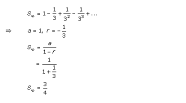
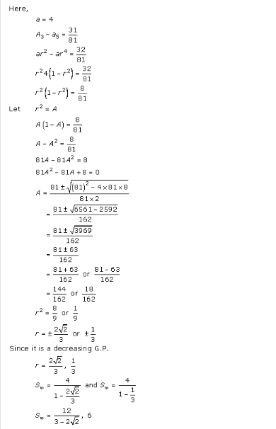
Geometric Progressions Ex 20.4 Q 1





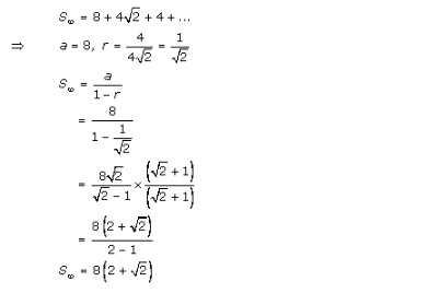
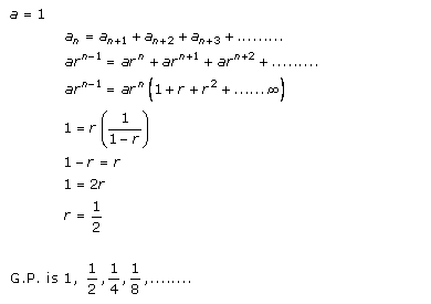
Geometric Progressions Ex 20.4 Q 2

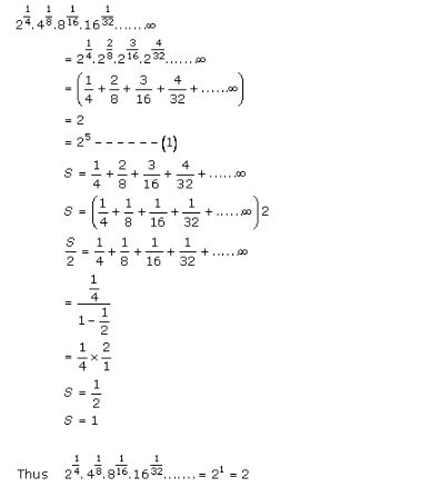
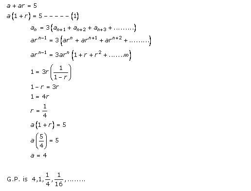
Geometric Progressions Ex 20.4 Q 3

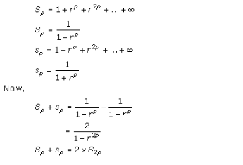
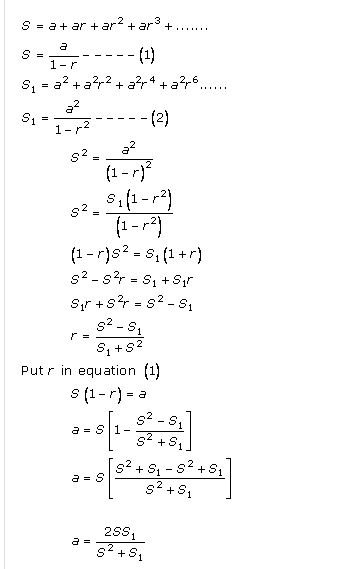
Geometric Progressions Ex 20.4 Q4

Geometric Progressions Ex 20.4 Q5.

Geometric Progressions Ex 20.4 Q6.

Geometric Progressions Ex 20.4 Q 7

Geometric Progressions Ex 20.4 Q8

Geometric Progressions Ex 20.4 Q 9

Geometric Progressions Ex 20.4 Q 10

Geometric Progressions Ex 20.4 Q 11




Geometric Progressions Ex 20.4 Q12

Geometric Progressions Ex 20.4 Q13

RD Sharma Class 11 Solutions