RD Sharma Class 11 Solutions Chapter 20 Geometric Progressions
RD Sharma Class 11 Solutions Chapter 20 Geometric Progressions Ex 20.1 Q 1

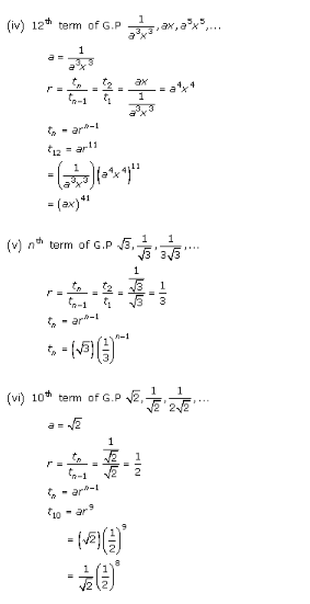
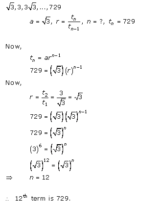
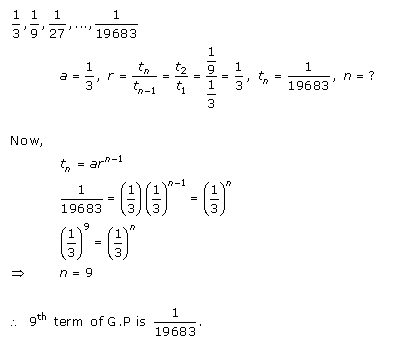
RD Sharma Class 11 Solutions Chapter 20 Geometric Progressions Ex 20.1 Q 1 i

RD Sharma Class 11 Solutions Chapter 20 Geometric Progressions Ex 20.1 Q 2

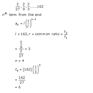
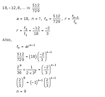
RD Sharma Class 11 Solutions Chapter 20 Geometric Progressions Ex 20.1 Q 3

Solutions Of Geometric Progressions Ex 20.1 Q 3 i

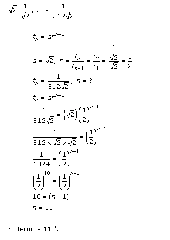
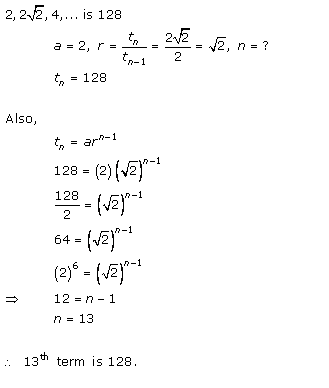
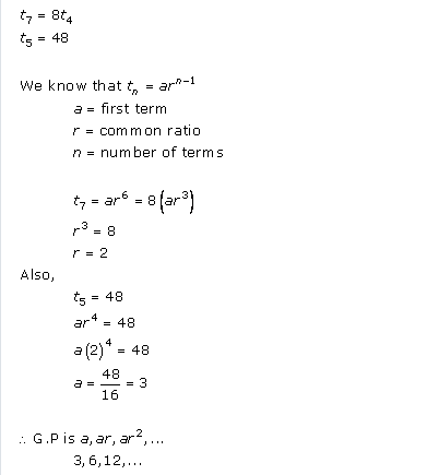
RD Sharma Class 11 Solutions Chapter 20 Geometric Progressions Ex 20.1 Q 4

Solutions Of Geometric Progressions Ex 20.1 Q 5

Solutions Of Geometric Progressions Ex 20.1 Q 6

Solutions Of Geometric Progressions Ex 20.1 Q 6 i

Solutions Of Geometric Progressions Ex 20.1 Q 6 ii

Solutions Of Geometric Progressions Ex 20.1 Q 6 iii

Solutions Of Geometric Progressions Ex 20.1 Q 7

Solutions Of Geometric Progressions Ex 20.1 Q 8

Solutions Of Geometric Progressions Ex 20.1 Q 9

Solutions Of Geometric Progressions Ex 20.1 Q 10

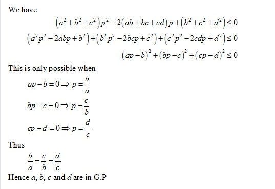
Solutions Of Geometric Progressions Ex 20.1 Q 11

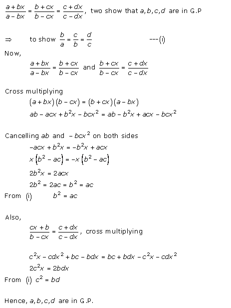
Solutions Of Geometric Progressions Ex 20.1 Q 12

Solutions Of Geometric Progressions Ex 20.1 Q 13

Solutions Of Geometric Progressions Ex 20.1 Q 14

Solutions Of Geometric Progressions Ex 20.1 Q 15

Solutions Of Geometric Progressions Ex 20.1 Q 16

Solutions Of Geometric Progressions Ex 20.1 Q 17
