RD Sharma class 11 solutions Chapter-22 EX 22.2
Chapter 22 Exercise 22.1
Chapter 22 Exercise 22.2
Chapter 22 Exercise 22.3
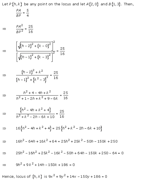
Brief Review of Cartesian System of Rectangular co-ordinates Ex 22.2 Q1

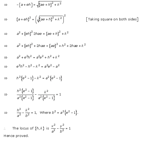
Brief Review of Cartesian System of Rectangular co-ordinates Ex 22.2 Q2

Brief Review of Cartesian System of Rectangular co-ordinates Ex 22.2 Q3


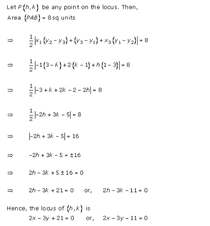
Brief Review of Cartesian System of Rectangular co-ordinates Ex 22.2 Q4

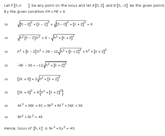
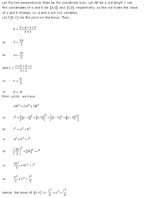
Brief Review of Cartesian System of Rectangular co-ordinates Ex 22.2 Q5

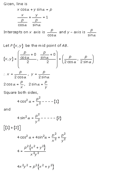
Brief Review of Cartesian System of Rectangular co-ordinates Ex 22.2 Q6

Brief Review of Cartesian System of Rectangular co-ordinates Ex 22.2 Q7

Brief Review of Cartesian System of Rectangular co-ordinates Ex 22.2 Q8

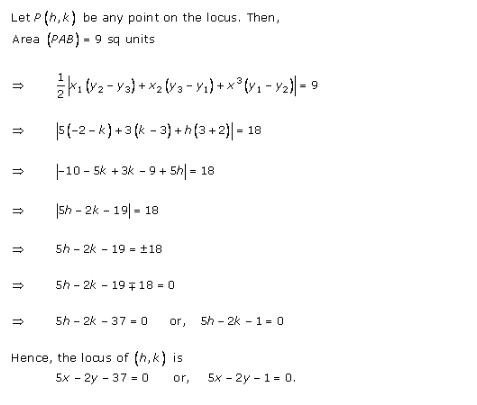
Brief Review of Cartesian System of Rectangular co-ordinates Ex 22.2 Q9

Brief Review of Cartesian System of Rectangular co-ordinates Ex 22.2 Q10

Brief Review of Cartesian System of Rectangular co-ordinates Ex 22.2 Q11

Brief Review of Cartesian System of Rectangular co-ordinates Ex 22.2 Q12
