RD Sharma class 11 solutions Chapter 22 EX 22.3
Chapter 22 Exercise 22.1
Chapter 22 Exercise 22.2
Chapter 22 Exercise 22.3
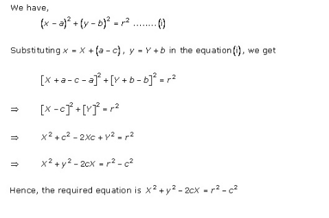
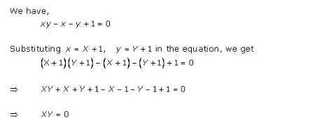
Brief Review of Cartesian System of Rectangular co-ordinates Ex 22.3 Q1

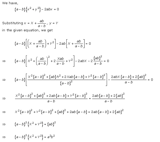
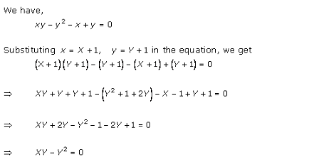
Brief Review of Cartesian System of Rectangular co-ordinates Ex 22.3 Q2

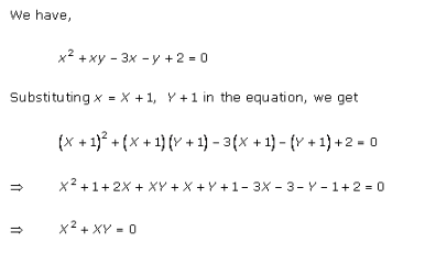
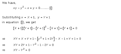
Brief Review of Cartesian System of Rectangular co-ordinates Ex 22.3 Q3(i)

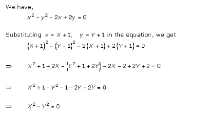
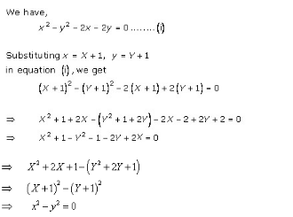
Brief Review of Cartesian System of Rectangular co-ordinates Ex 22.3 Q3(ii)

Brief Review of Cartesian System of Rectangular co-ordinates Ex 22.3 Q3(iii)

Brief Review of Cartesian System of Rectangular co-ordinates Ex 22.3 Q3(iv)

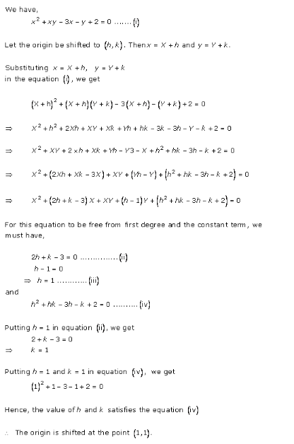
Brief Review of Cartesian System of Rectangular co-ordinates Ex 22.3 Q4

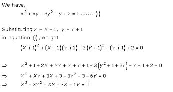
Brief Review of Cartesian System of Rectangular co-ordinates Ex 22.3 Q5

Brief Review of Cartesian System of Rectangular co-ordinates Ex 22.3 Q6(i)

Brief Review of Cartesian System of Rectangular co-ordinates Ex 22.3 Q6(ii)

Brief Review of Cartesian System of Rectangular co-ordinates Ex 22.3 Q6(iii)

Brief Review of Cartesian System of Rectangular co-ordinates Ex 22.3 Q6(iv)

Brief Review of Cartesian System of Rectangular co-ordinates Ex 22.3 Q7(i)

Brief Review of Cartesian System of Rectangular co-ordinates Ex 22.3 Q7(ii)

Brief Review of Cartesian System of Rectangular co-ordinates Ex 22.3 Q7(iii)

Brief Review of Cartesian System of Rectangular co-ordinates Ex 22.3 Q8
