RD Sharma class 11 solutions Chapter-22

RD Sharma class 11 solutions Chapter-22

Chapter 22 Exercise 22.2
Chapter 22 Exercise 22.3

Brief Review of Cartesian System of Rectangular co-ordinates Ex 22.1 Q1
RD-Sharma-class-11-Solutions-Chapter-22-Brief-review-of-cartesian-system-of-rectangular-coordinates-Ex-22.1-Q-1
Brief Review of Cartesian System of Rectangular co-ordinates Ex 22.1 Q2
RD-Sharma-class-11-Solutions-Chapter-22-Brief-review-of-cartesian-system-of-rectangular-coordinates-Ex-22.1-Q-2
Brief Review of Cartesian System of Rectangular co-ordinates Ex 22.1 Q3
RD-Sharma-class-11-Solutions-Chapter-22-Brief-review-of-cartesian-system-of-rectangular-coordinates-Ex-22.1-Q-3
Brief Review of Cartesian System of Rectangular co-ordinates Ex 22.1 Q4
RD-Sharma-class-11-Solutions-Chapter-22-Brief-review-of-cartesian-system-of-rectangular-coordinates-Ex-22.1-Q-4
Brief Review of Cartesian System of Rectangular co-ordinates Ex 22.1 Q5
RD-Sharma-class-11-Solutions-Chapter-22-Brief-review-of-cartesian-system-of-rectangular-coordinates-Ex-22.1-Q-5
Brief Review of Cartesian System of Rectangular co-ordinates Ex 22.1 Q6
RD-Sharma-class-11-Solutions-Chapter-22-Brief-review-of-cartesian-system-of-rectangular-coordinates-Ex-22.1-Q-6
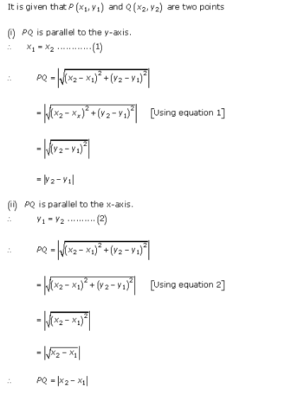
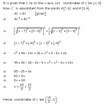
Brief Review of Cartesian System of Rectangular co-ordinates Ex 22.1 Q7
RD-Sharma-class-11-Solutions-Chapter-22-Brief-review-of-cartesian-system-of-rectangular-coordinates-Ex-22.1-Q-7
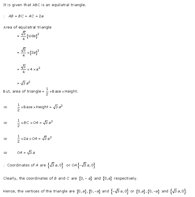
Brief Review of Cartesian System of Rectangular co-ordinates Ex 22.1 Q8
RD-Sharma-class-11-Solutions-Chapter-22-Brief-review-of-cartesian-system-of-rectangular-coordinates-Ex-22.1-Q-8

NCERT SolutionsClass 11 ScienceRD Sharma Solutions