NCERT Library

RD Sharma Class 11 Solutions Chapter 3 Functions Ex 3.3

September 14, 2017 by phani

  1. CBSE

RD Sharma Class 11 Solutions Chapter 3 Functions Ex 3.3

  • Chapter 3 Functions Ex 3.1
  • Chapter 3 Functions Ex 3.2
  • Chapter 3 Functions Ex 3.3
  • Chapter 3 Functions Ex 3.4

 

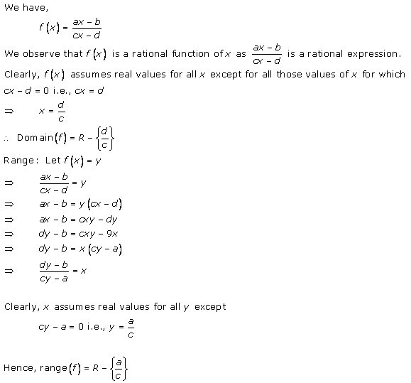
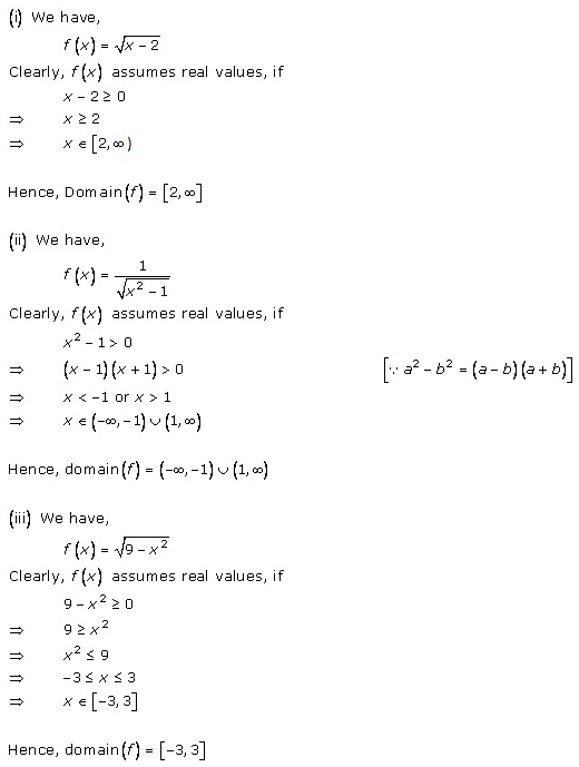
Functions Ex 3.3 Q1
RD-Sharma-Class-11-Solutions-Chapter-3-functions-Ex-3.3-q1-i
RD-Sharma-Class-11-Solutions-Chapter-3-functions-Ex-3.3-q1-ii
RD-Sharma-Class-11-Solutions-Chapter-3-functions-Ex-3.3-q1-iii
RD-Sharma-Class-11-Solutions-Chapter-3-functions-Ex-3.3-q1-iv
RD-Sharma-Class-11-Solutions-Chapter-3-functions-Ex-3.3-q1-v

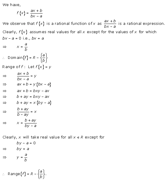
Functions Ex 3.3 Q2
RD-Sharma-Class-11-Solutions-Chapter-3-functions-Ex-3.3-q2
RD-Sharma-Class-11-Solutions-Chapter-3-functions-Ex-3.3-q2-1

Functions Ex 3.3 Q3
RD-Sharma-Class-11-Solutions-Chapter-3-functions-Ex-3.3-q3-i
RD-Sharma-Class-11-Solutions-Chapter-3-functions-Ex-3.3-q3-ii
RD-Sharma-Class-11-Solutions-Chapter-3-functions-Ex-3.3-q3-iii
RD-Sharma-Class-11-Solutions-Chapter-3-functions-Ex-3.3-q3-iv
RD-Sharma-Class-11-Solutions-Chapter-3-functions-Ex-3.3-q3-v
RD-Sharma-Class-11-Solutions-Chapter-3-functions-Ex-3.3-q3-vi
RD-Sharma-Class-11-Solutions-Chapter-3-functions-Ex-3.3-q3-vii
RD-Sharma-Class-11-Solutions-Chapter-3-functions-Ex-3.3-q3-viii

NCERT SolutionsClass 11 ScienceRD Sharma Solutions


Primary Sidebar

phani

phani

phani

More about me

Recent Articles

  • Reasons-Why-Should-Kids-Learn-How-to-Code
    Coding for Kids: Ultimate Guide for Parents in 2020 on Prog…

Scaling Success, One Step at a Time with NCERT Library

More About Us
NCERT Library

Important Links

  • About Us
  • Contact Us
  • Disclaimer
  • Privacy Policy
  • Words and Expressions Class 10 Solutions
  • Words and Expressions Class 9 Solutions

© 2026 ncertlibrary.com