RD Sharma Class 11 Solutions Chapter 3 Functions Ex 3.4
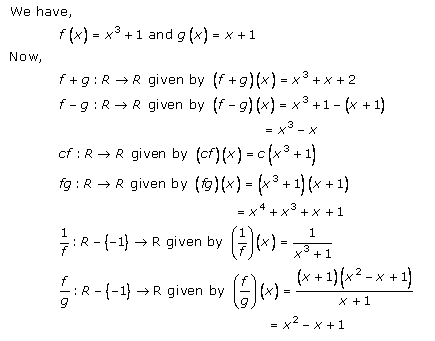
Functions Ex 3.4 Q1


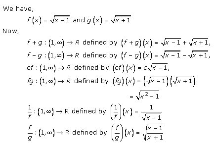
Functions Ex 3.4 Q2


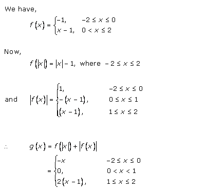
Functions Ex 3.4 Q3

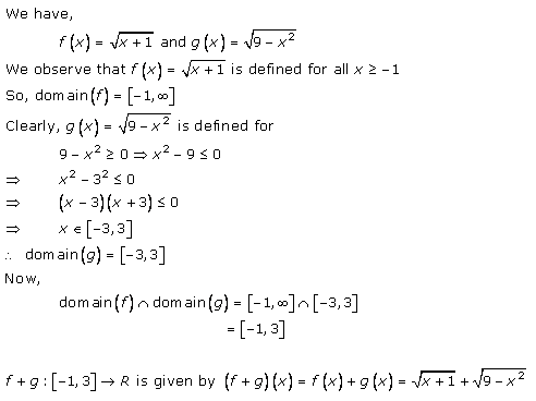
Functions Ex 3.4 Q4








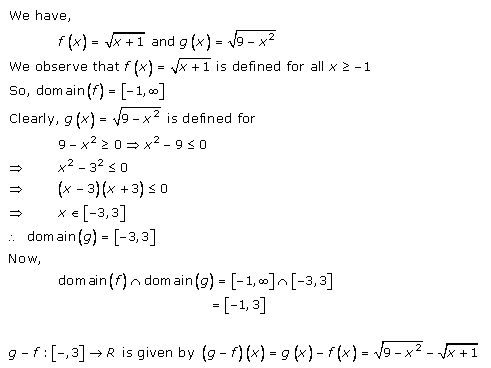
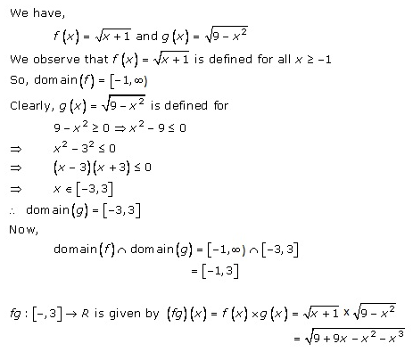
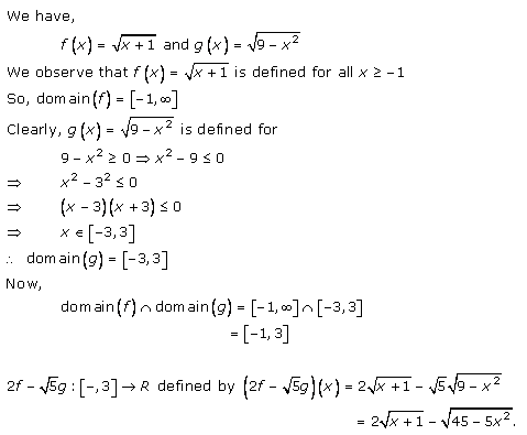
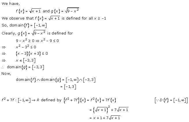
Functions Ex 3.4 Q5


Functions Ex 3.4 Q6

Functions Ex 3.4 Q7

Functions Ex 3.4 Q8

Functions Ex 3.4 Q9

Functions Ex 3.4 Q10
