RD Sharma Class 11 Solutions Chapter 3 Functions Ex 3.1
Class 11 Solutions Chapter 3 Functions Ex 3.1
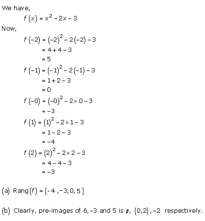
Functions Ex 3.1 Q1

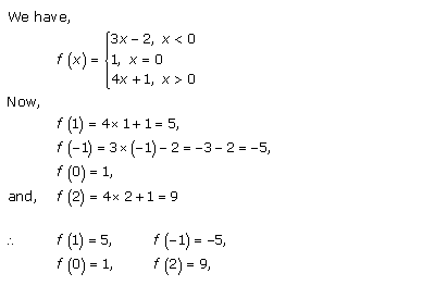
Functions Ex 3.1 Q2

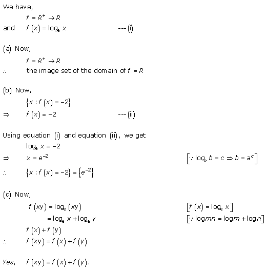
Functions Ex 3.1 Q3

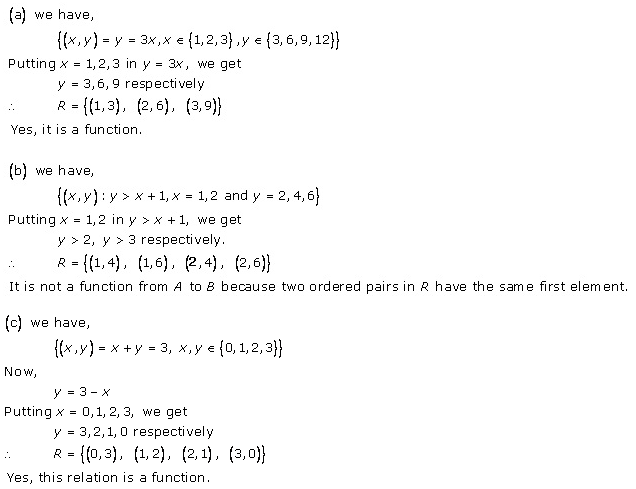
Functions Ex 3.1 Q4

Functions Ex 3.1 Q5

Functions Ex 3.1 Q6

Functions Ex 3.1 Q7

Functions Ex 3.1 Q8

Functions Ex 3.1 Q9

Functions Ex 3.1 Q10

Functions Ex 3.1 Q11

Functions Ex 3.1 Q12

Functions Ex 3.1 Q13

Functions Ex 3.1 Q14

Functions Ex 3.1 Q15

Functions Ex 3.1 Q16

Functions Ex 3.1 Q17

Functions Ex 3.1 Q18
