- Chapter 33 Probability Exercise 33.1
- Chapter 33 Probability Exercise 33.2
- Chapter 33 Probability Exercise 33.4
RD Sharma Class 11 Solutions Chapter 33 Probability Ex 33.3
Probability Ex 33.3 Q1

Probability Ex 33.3 Q2

Probability Ex 33.3 Q3





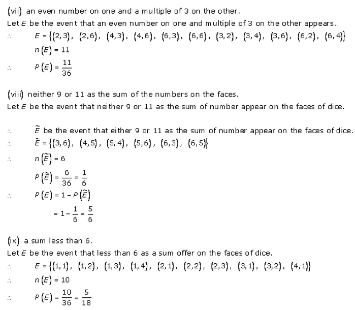
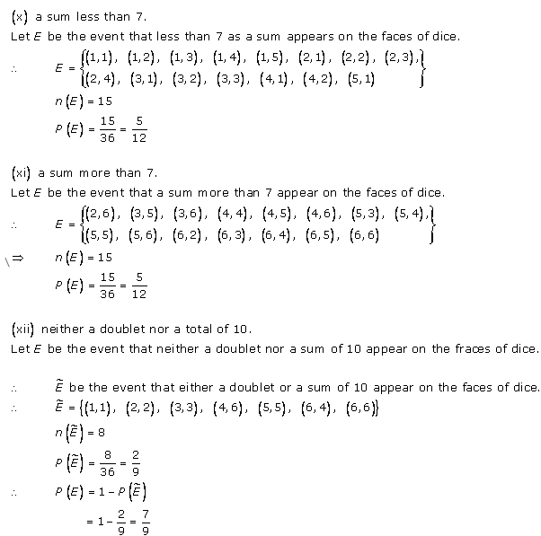
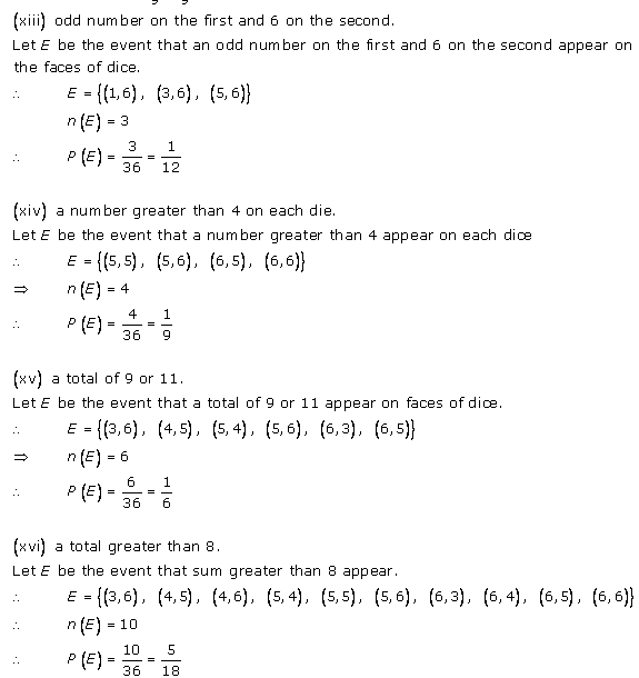
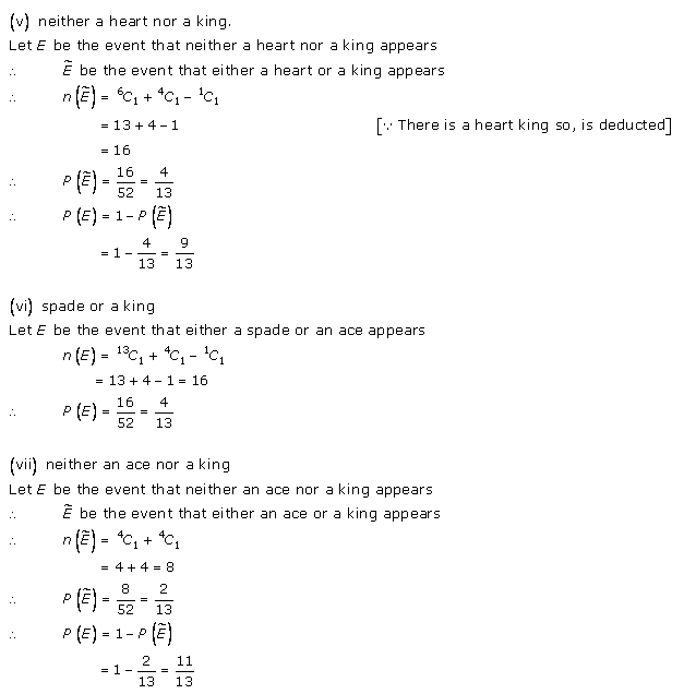
Probability Ex 33.3 Q4

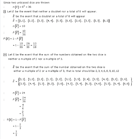
Probability Ex 33.3 Q5

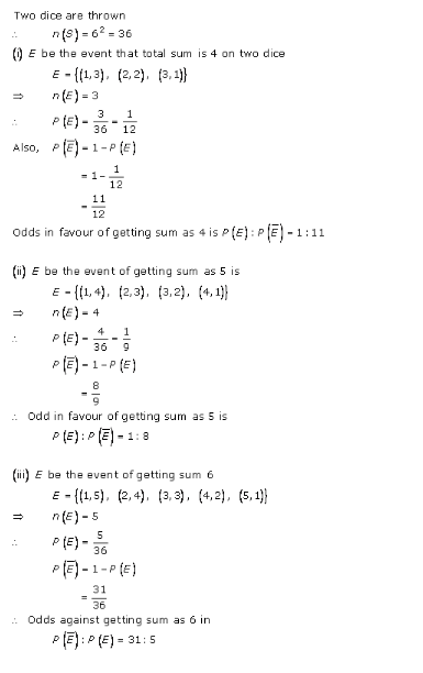
Probability Ex 33.3 Q6

Probability Ex 33.3 Q7

Probability Ex 33.3 Q8

Probability Ex 33.3 Q9

Probability Ex 33.3 Q10

Probability Ex 33.3 Q11




Probability Ex 33.3 Q12

Probability Ex 33.3 Q13

Probability Ex 33.3 Q14

Probability Ex 33.3 Q15

Probability Ex 33.3 Q16


Probability Ex 33.3 Q17

Probability Ex 33.3 Q18

Probability Ex 33.3 Q19

Probability Ex 33.3 Q20

Probability Ex 33.3 Q21


Probability Ex 33.3 Q22

Probability Ex 33.3 Q23

Probability Ex 33.3 Q24

Probability Ex 33.3 Q25

Probability Ex 33.3 Q26

Probability Ex 33.3 Q27

Probability Ex 33.3 Q28

Probability Ex 33.3 Q29

Probability Ex 33.3 Q30

Probability Ex 33.3 Q31

Probability Ex 33.3 Q32

Probability Ex 33.3 Q33

Probability Ex 33.3 Q34


Probability Ex 33.3 Q35

Probability Ex 33.3 Q36

Probability Ex 33.3 Q37

Probability Ex 33.3 Q38


Probability Ex 33.3 Q39


Probability Ex 33.3 Q40

Probability Ex 33.3 Q41

Probability Ex 33.3 Q42

Probability Ex 33.3 Q43

Probability Ex 33.3 Q44

Probability Ex 33.3 Q45
