- Chapter 33 Probability Exercise 33.1
- Chapter 33 Probability Exercise 33.2
- Chapter 33 Probability Exercise 33.3
RD Sharma Class 11 Solutions Chapter 33 Probability Ex 33.4
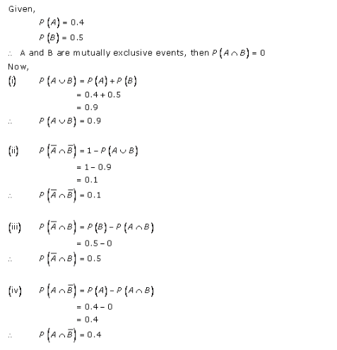
Probability Ex 33.4 Q1(a)

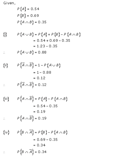
Probability Ex 33.4 Q1(b)

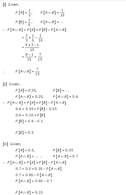
Probability Ex 33.4 Q1(c)

Probability Ex 33.4 Q2

Probability Ex 33.4 Q3

Probability Ex 33.4 Q4

Probability Ex 33.4 Q5

Probability Ex 33.4 Q6

Probability Ex 33.4 Q7

Probability Ex 33.4 Q8

Probability Ex 33.4 Q9

Probability Ex 33.4 Q10

Probability Ex 33.4 Q11

Probability Ex 33.4 Q12

Probability Ex 33.4 Q13

Probability Ex 33.4 Q14

Probability Ex 33.4 Q15

Probability Ex 33.4 Q16

Probability Ex 33.4 Q17

Probability Ex 33.4 Q18

Probability Ex 33.4 Q19

Probability Ex 33.4 Q20

Probability Ex 33.4 Q21

Probability Ex 33.4 Q22

Probability Ex 33.4 Q23

Probability Ex 33.4 Q24

Probability Ex 33.4 Q25

Probability Ex 33.4 Q26

Probability Ex 33.4 Q27

Probability Ex 33.4 Q28
