RD Sharma Class 11 Solutions Chapter 4 Measurement Of Angles
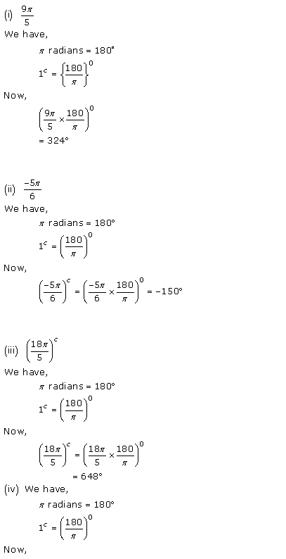
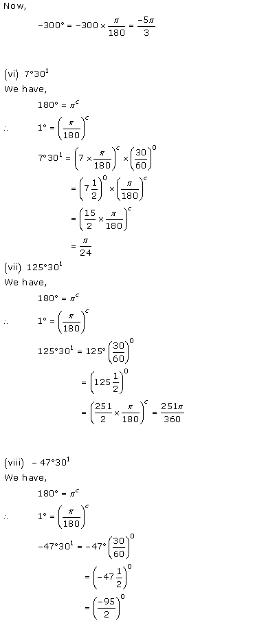
Chapter 4 Measurement Of Angles Ex 4.1 Q1


Chapter 4 Measurement Of Angles Ex 4.1 Q2



Chapter 4 Measurement Of Angles Ex 4.1 Q3

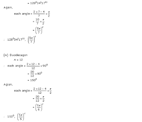
Chapter 4 Measurement Of Angles Ex 4.1 Q4

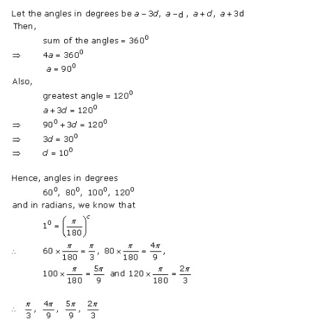
Chapter 4 Measurement Of Angles Ex 4.1 Q5


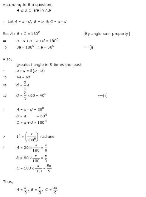
Chapter 4 Measurement Of Angles Ex 4.1 Q6

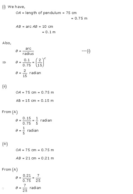
Chapter 4 Measurement Of Angles Ex 4.1 Q7

Chapter 4 Measurement Of Angles Ex 4.1 Q8

Chapter 4 Measurement Of Angles Ex 4.1 Q9

Chapter 4 Measurement Of Angles Ex 4.1 Q10

Chapter 4 Measurement Of Angles Ex 4.1 Q11

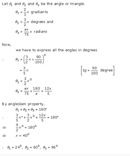
Chapter 4 Measurement Of Angles Ex 4.1 Q12

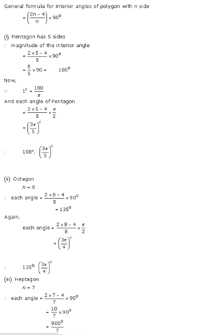
Chapter 4 Measurement Of Angles Ex 4.1 Q13

Chapter 4 Measurement Of Angles Ex 4.1 Q14

Chapter 4 Measurement Of Angles Ex 4.1 Q15

Chapter 4 Measurement Of Angles Ex 4.1 Q16

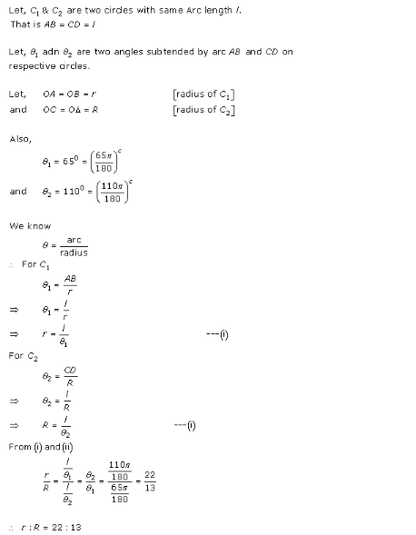
Chapter 4 Measurement Of Angles Ex 4.1 Q17

Chapter 4 Measurement Of Angles Ex 4.1 Q18

Chapter 4 Measurement Of Angles Ex 4.1 Q19

Chapter 4 Measurement Of Angles Ex 4.1 Q20
