RD Sharma Class 11 Solutions Chapter 5 Trigonometric Functions
We also recommend you to go through from Class 11 NCERT Textbook.
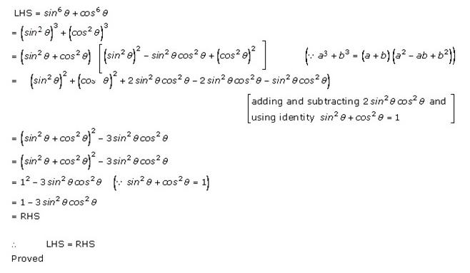
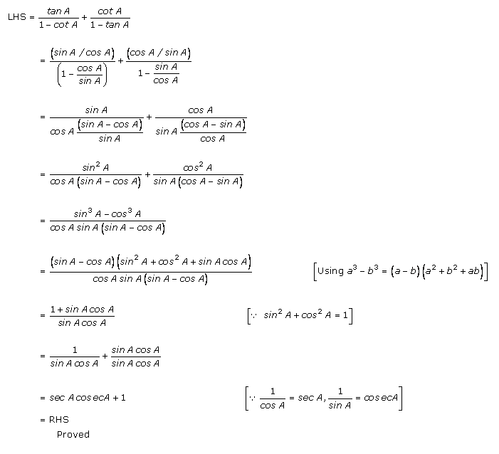
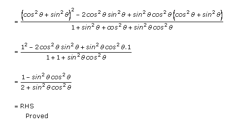
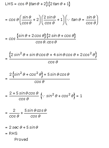
Trigonometric Functions Ex 5.1 Q1

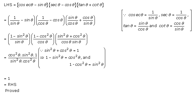
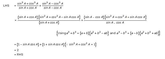
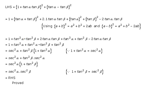
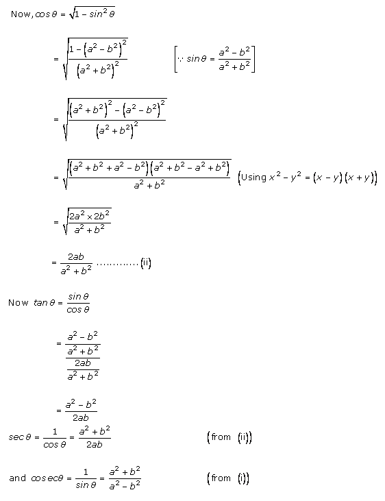
Trigonometric Functions Ex 5.1 Q2

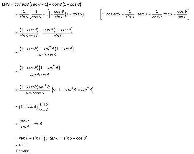
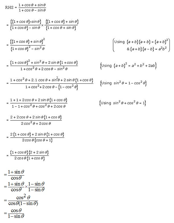
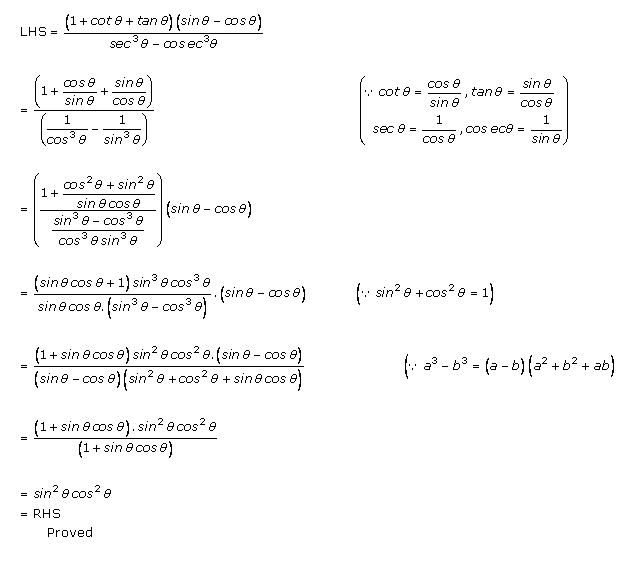
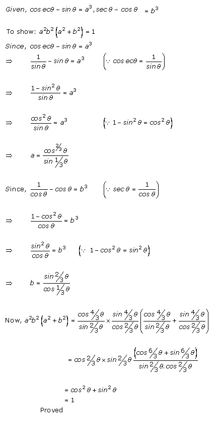
Trigonometric Functions Ex 5.1 Q3

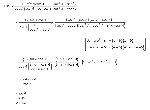
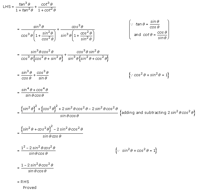
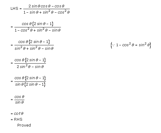
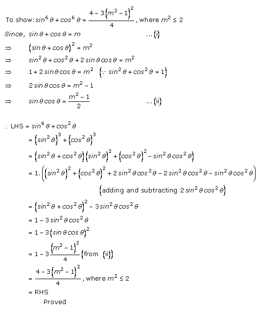
Trigonometric Functions Ex 5.1 Q4

Trigonometric Functions Ex 5.1 Q5

Trigonometric Functions Ex 5.1 Q6

Trigonometric Functions Ex 5.1 Q7

Trigonometric Functions Ex 5.1 Q8

Trigonometric Functions Ex 5.1 Q9

Trigonometric Functions Ex 5.1 Q10

Trigonometric Functions Ex 5.1 Q11

Trigonometric Functions Ex 5.1 Q12


Trigonometric Functions Ex 5.1 Q13

Trigonometric Functions Ex 5.1 Q14

Trigonometric Functions Ex 5.1 Q15

Trigonometric Functions Ex 5.1 Q16

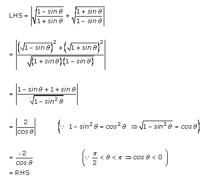
Trigonometric Functions Ex 5.1 Q17

Trigonometric Functions Ex 5.1 Q18

Trigonometric Functions Ex 5.1 Q19

Trigonometric Functions Ex 5.1 Q20

Trigonometric Functions Ex 5.1 Q21

Trigonometric Functions Ex 5.1 Q22

Trigonometric Functions Ex 5.1 Q23

Trigonometric Functions Ex 5.1 Q24

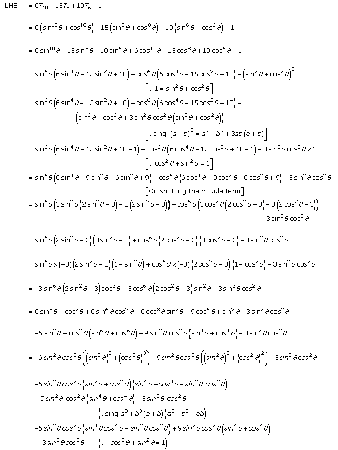
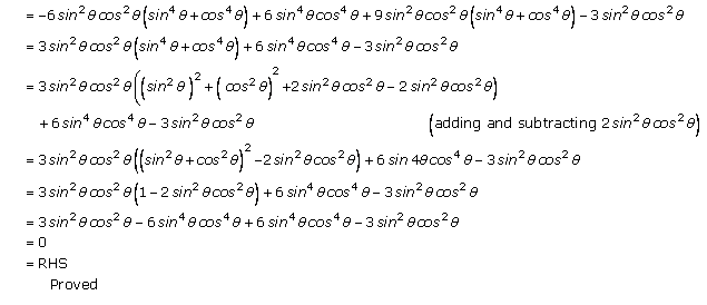
Trigonometric Functions Ex 5.1 Q25

Trigonometric Functions Ex 5.1 Q26



