RD Sharma Class 11 Solutions Limits Chapter 29 Ex 29.11
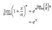
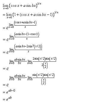
Limits Ex 29.11 Q1

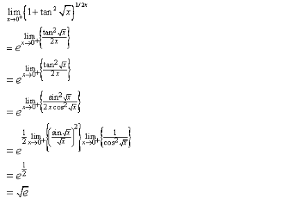
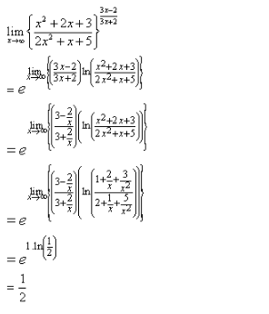
Limits Ex 29.11 Q2

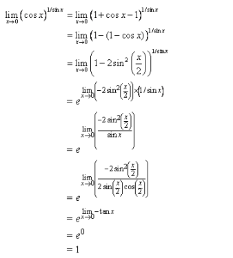
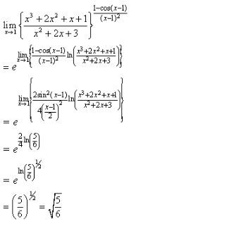
Limits Ex 29.11 Q3

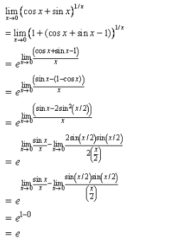
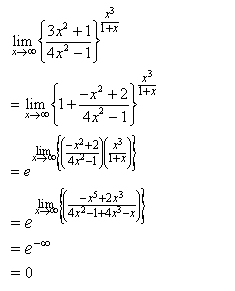
Limits Ex 29.11 Q4

Limits Ex 29.11 Q5

Limits Ex 29.11 Q6

Limits Ex 29.11 Q7

Limits Ex 29.11 Q8

Limits Ex 29.11 Q9

Limits Ex 29.11 Q10
