RD Sharma Class 11 Solutions Limits Chapter 29 Ex 29.5
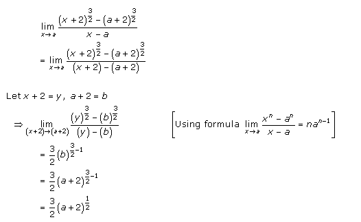
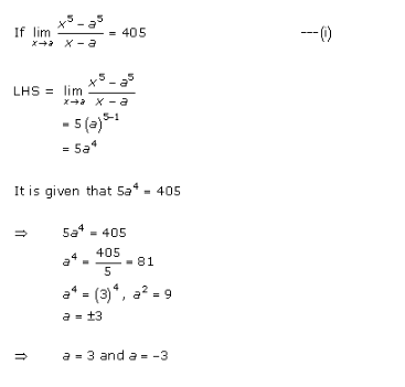
Limits Ex 29.5 Q1

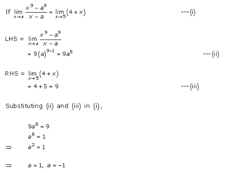
Limits Ex 29.5 Q2

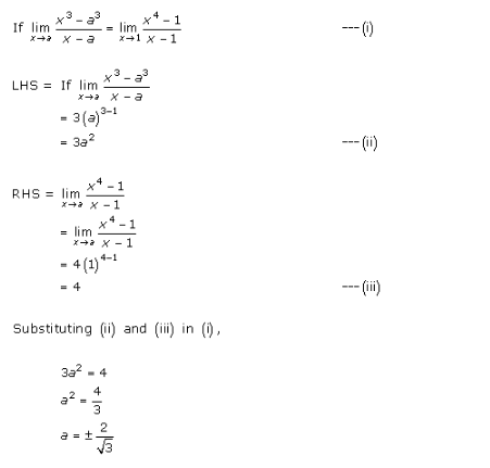
Limits Ex 29.5 Q3

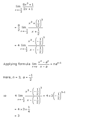
Limits Ex 29.5 Q4

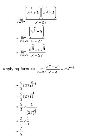
Limits Ex 29.5 Q5

Limits Ex 29.5 Q6

Limits Ex 29.5 Q7

Limits Ex 29.5 Q8

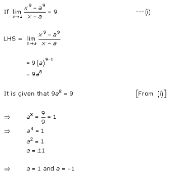
Limits Ex 29.5 Q9

Limits Ex 29.5 Q10

Limits Ex 29.5 Q11

Limits Ex 29.5 Q12

Limits Ex 29.5 Q13

Limits Ex 29.5 Q14

Limits Ex 29.5 Q15

Limits Ex 29.5 Q16
