RD Sharma Class 12 Solutions Chapter 19 Indefinite Integrals Ex 19.1
RD Sharma Class 12 Solutions Chapter 19 Indefinite Integrals Ex 19.1 are part of RD Sharma Class 12 Solutions. Here we have given Class 12 Maths RD Sharma Solutions Solutions Chapter 19 Indefinite Integrals Ex 19.1
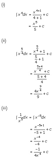
Indefinite Integrals Ex 19.1 Q1



Indefinite Integrals Ex 19.1 Q2

Indefinite Integrals Ex 19.1 Q3

Indefinite Integrals Ex 19.1 Q4

Indefinite Integrals Ex 19.1 Q5

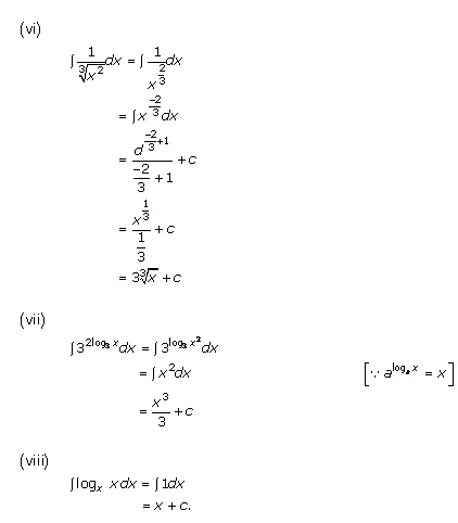
Indefinite Integrals Ex 19.1 Q6

HC Verma Concepts of Physics NCERT Solutions Homepage RD Sharma Solutions
More Resources for CBSE Class 12: