RD Sharma Class 12 Solutions Chapter 2 Functions Ex 2.3
- Chapter 2 Functions Ex 2.3
- Chapter 2 Functions Ex 2.4
- Chapter 2 Functions Ex 2.5
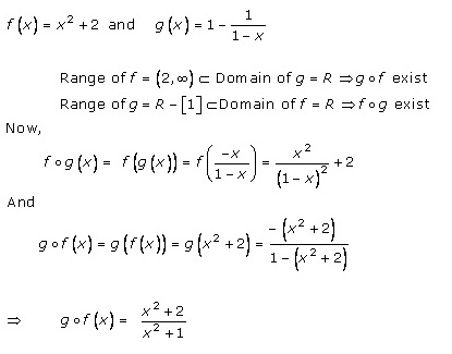
Functions Ex 2.3 Q 1(i)

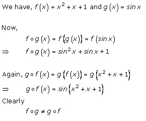
Functions Ex 2.3 Q 1(ii)

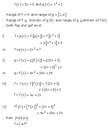
Functions Ex 2.3 Q1(iii)

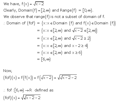
Functions Ex 2.3 Q1(iv)

Functions Ex 2.3 Q1(v)

Functions Ex 2.3 Q 1(vi)

Functions Ex 2.3 Q1(vii)

Functions Ex 2.3 Q1(viii)

Functions Ex 2.3 Q1(ix)

Functions Ex 2.3 Q2

Functions Ex 2.3 Q3

Functions Ex 2.3 Q4

Functions Ex 2.3 Q5

Functions Ex 2.3 Q6

Functions Ex 2.3 Q7

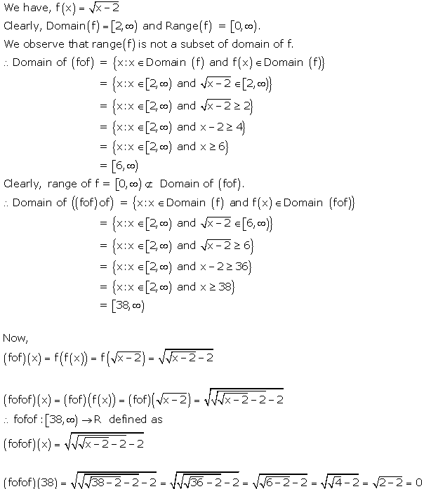
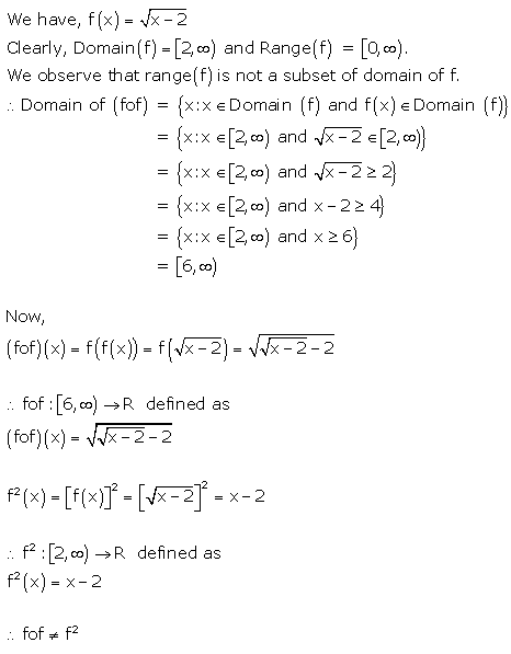
Functions Ex 2.3 Q8

Functions Ex 2.3 Q9

Functions Ex 2.3 Q10

Functions Ex 2.3 Q11(i)

Functions Ex 2.3 Q11(ii)

Functions Ex 2.3 Q11(iii)

Functions Ex 2.3 Q11(iv)

Functions Ex 2.3 Q12
