RD Sharma Class 12 Solutions Chapter 2 Functions
- Chapter 2 Functions Ex 2.3
- Chapter 2 Functions Ex 2.4
- Chapter 2 Functions Ex 2.5
Functions Ex 2.1 Q1(i)

Functions Ex 2.1 Q1(ii)

Functions Ex 2.1 Q1(iii)

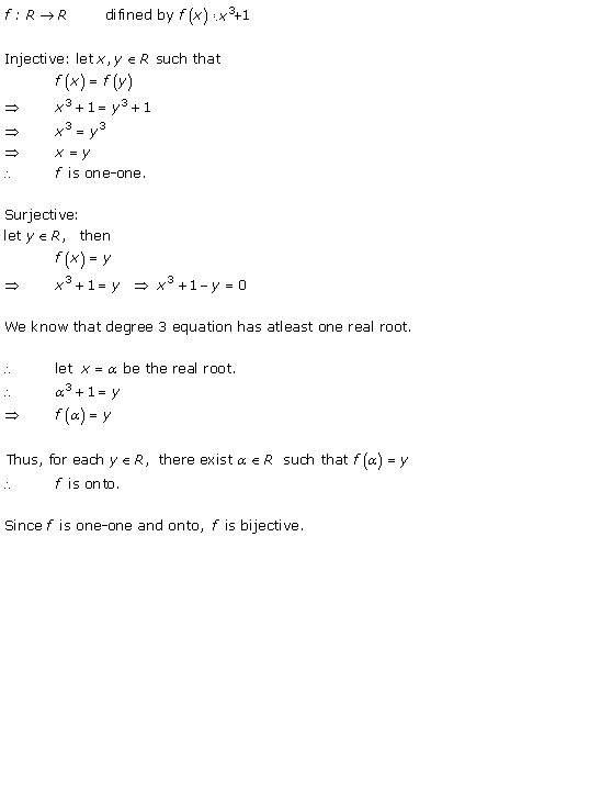
Functions Ex 2.1 Q2

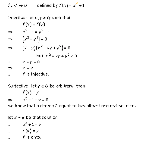
Functions Ex 2.1 Q3

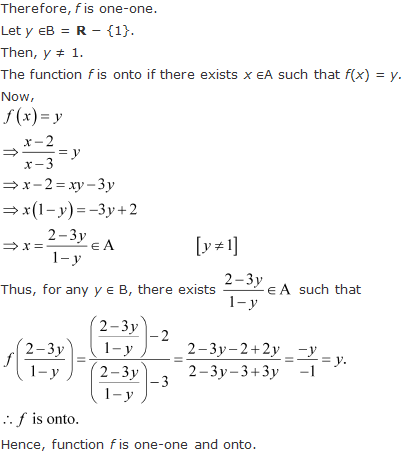
Functions Ex 2.1 Q4.

Functions Ex 2.1 Q5(i)

Functions Ex 2.1 Q5(ii)

Functions Ex 2.1 Q5(iii)

Functions Ex 2.1 Q5(iv)

Functions Ex 2.1 Q5(v)

Functions Ex 2.1 Q5(vi)

Functions Ex 2.1 Q5(viI)

Functions Ex 2.1 Q5(viii)

Functions Ex 2.1 Q5(ix)

Functions Ex 2.1 Q5(x)

Functions Ex 2.1 Q5(xi)

Functions Ex 2.1 Q5(xii)

Functions Ex 2.1 Q5(xiii)

Functions Ex 2.1 Q5(xiv)

Functions Ex 2.1 Q5(xv)

Functions Ex 2.1 Q5(xvi)

Functions Ex 2.1 Q6

Functions Ex 2.1 Q7


Functions Ex 2.1 Q8

Functions Ex 2.1 Q9

Functions Ex 2.1 Q10

Functions Ex 2.1 Q11

Functions Ex 2.1 Q12

Functions Ex 2.1 Q13

Functions Ex 2.1 Q14

Functions Ex 2.1 Q15

Functions Ex 2.1 Q16

Functions Ex 2.1 Q17

Functions Ex 2.1 Q18

Functions Ex 2.1 Q19

Functions Ex 2.1 Q20

Functions Ex 2.1 Q22

Functions Ex 2.1 23

HC Verma Concepts of Physics NCERT Solutions Homepage RD Sharma Solutions
More Resources for CBSE Class 12: