- Chapter 22 Differential Equations Ex 22.6
- Chapter 22 Differential Equations Ex 22.10
- Chapter 22 Differential Equations Ex 22.11
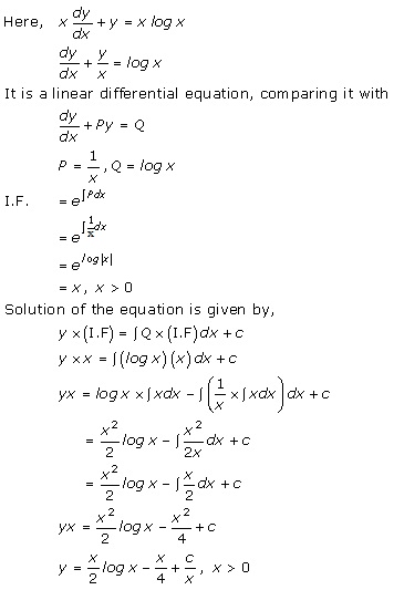
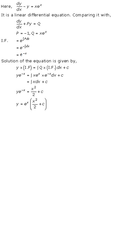
Differential Equations Ex 22.10 Q1

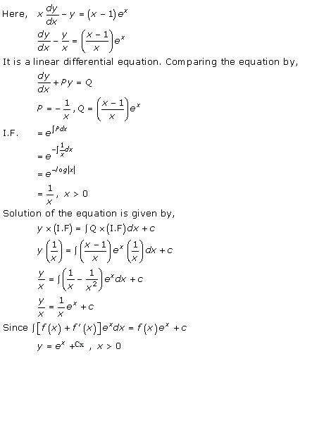
Differential Equations Ex 22.10 Q2

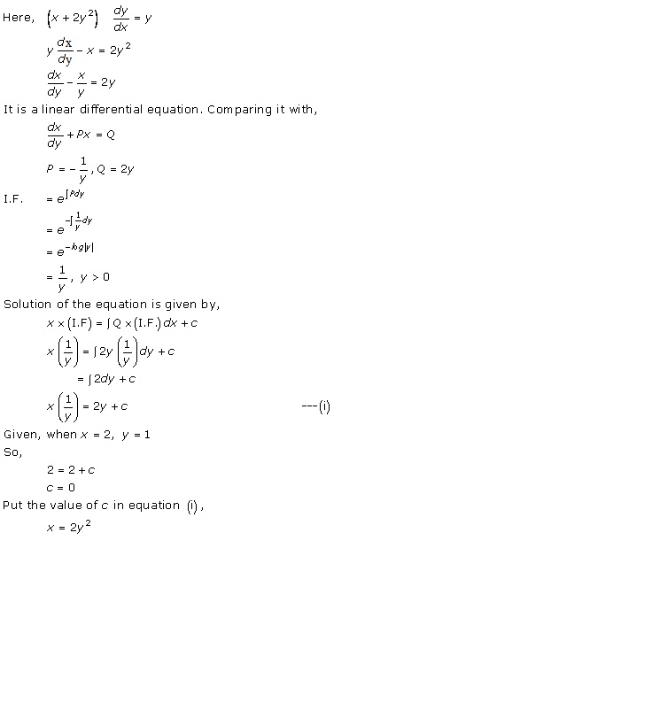
Differential Equations Ex 22.10 Q3

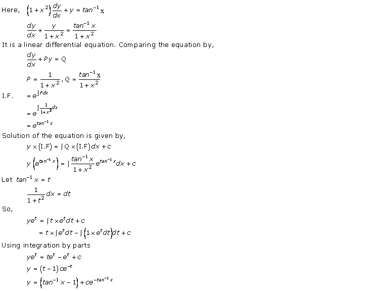
Differential Equations Ex 22.10 Q4

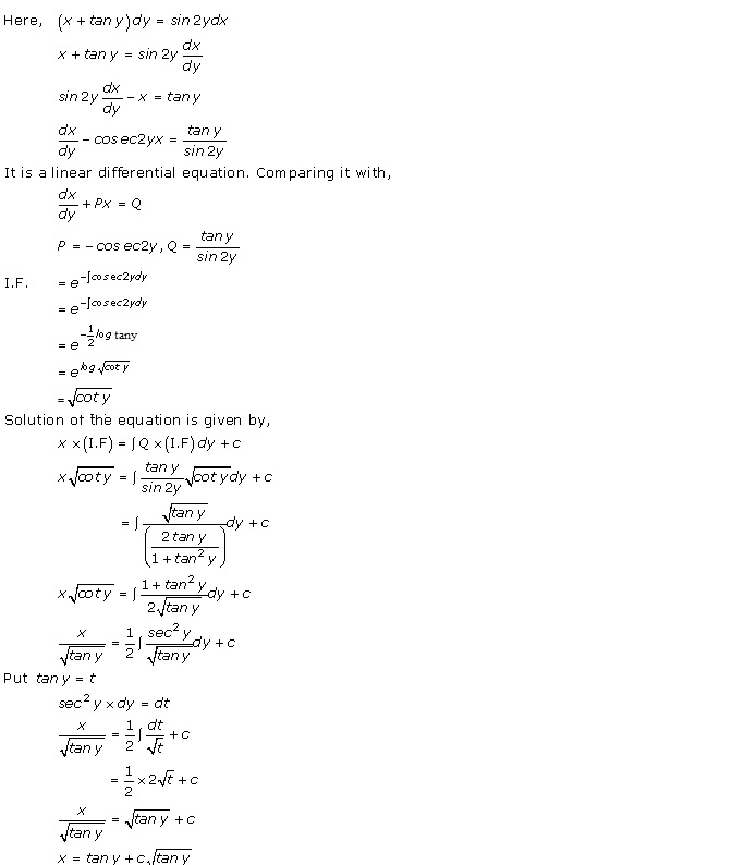
Differential Equations Ex 22.10 Q6

Differential Equations Ex 22.10 Q7

Differential Equations Ex 22.10 Q8

Differential Equations Ex 22.10 Q9

Differential Equations Ex 22.10 Q10

Differential Equations Ex 22.10 Q11

Differential Equations Ex 22.10 Q12

Differential Equations Ex 22.10 Q13

Differential Equations Ex 22.10 Q14

Differential Equations Ex 22.10 Q15

Differential Equations Ex 22.10 Q16

Differential Equations Ex 22.10 Q17

Differential Equations Ex 22.10 Q18

Differential Equations Ex 22.10 Q19

Differential Equations Ex 22.10 Q20

Differential Equations Ex 22.10 Q21

Differential Equations Ex 22.10 Q22

Differential Equations Ex 22.10 Q23

Differential Equations Ex 22.10 Q24

Differential Equations Ex 22.10 Q25

Differential Equations Ex 22.10 Q26

Differential Equations Ex 22.10 Q27

Differential Equations Ex 22.10 Q28

Differential Equations Ex 22.10 Q29

Differential Equations Ex 22.10 Q30

Differential Equations Ex 22.10 Q32

Differential Equations Ex 22.10 Q33

Differential Equations Ex 22.10 Q34

Differential Equations Ex 22.10 Q35

Differential Equations Ex 22.10 Q36(ii)

Differential Equations Ex 22.10 Q36(iii)

Differential Equations Ex 22.10 Q36(iv)

Differential Equations Ex 22.10 Q36(v)
