- Chapter 22 Differential Equations Ex 22.6
- Chapter 22 Differential Equations Ex 22.10
- Chapter 22 Differential Equations Ex 22.11
Differential Equations Ex 22.6 Q1

Differential Equations Ex 22.6 Q2

Differential Equations Ex 22.6 Q3

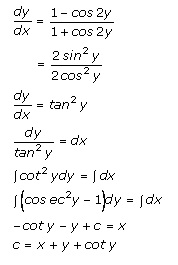
Differential Equations Ex 22.6 Q4
