RD Sharma Class 12 Solutions Chapter 6 Determinants
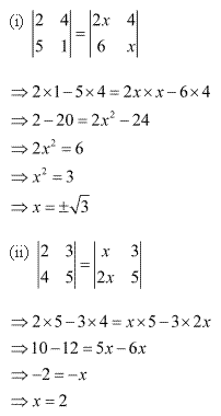
Determinants Ex 6.1 Q1(i)

Determinants Ex 6.1 Q1(ii)

Determinants Ex 6.1 Q1(iii)

Determinants Ex 6.1 Q1(iv)

Determinants Ex 6.1 Q1(v)

Determinants Ex 6.1 Q1(vi)

Determinants Ex 6.1 Q1(vii)

Determinants Ex 6.1 Q2(i)

Determinants Ex 6.1 Q2(ii)

Determinants Ex 6.1 Q2(iii)

Determinants Ex 6.1 Q2(iv)

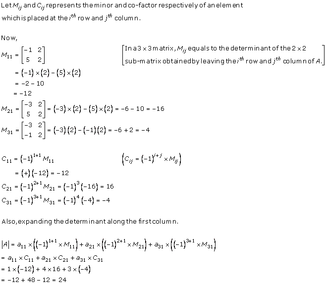
Determinants Ex 6.1 Q3

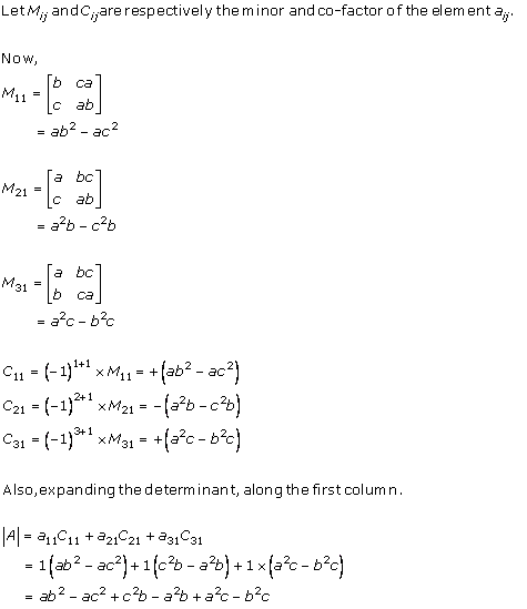
Determinants Ex 6.1 Q4

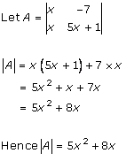
Determinants Ex 6.1 Q5

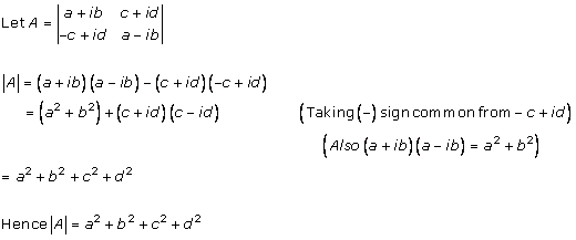
Determinants Ex 6.1 Q6

Determinants Ex 6.1 Q7

Determinants Ex 6.1 Q8

Determinants Ex 6.1 Q9

Determinants Ex 6.1 Q10


Determinants Ex 6.1 Q11

Determinants Ex 6.1 Q12(i)

Determinants Ex 6.1 Q12(ii)

HC Verma Concepts of Physics NCERT Solutions Homepage RD Sharma Solutions
More Resources for CBSE Class 12: