RD Sharma Class 12 Solutions Chapter 7 Adjoint and Inverse of Matrix
RD Sharma Class 12 Solutions Chapter 7 Adjoint and Inverse of Matrix Ex 7.1
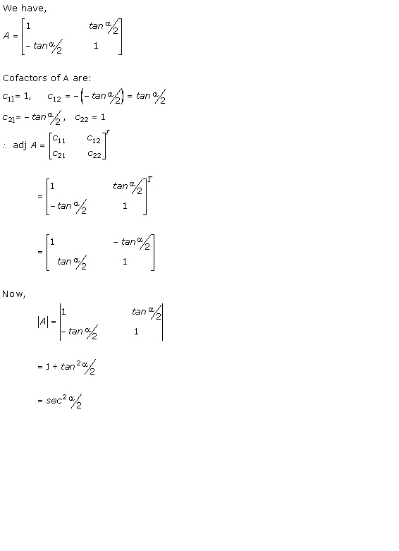
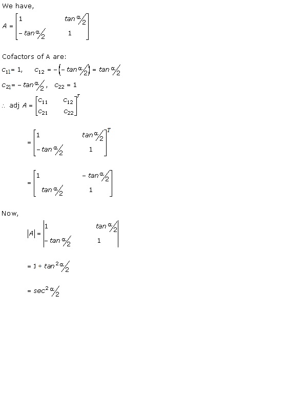
Adjoint and Inverse of Matrix Ex 7.1 Q1(i)

Adjoint and Inverse of Matrix Ex 7.1 Q1(ii)

Adjoint and Inverse of Matrix Ex 7.1 Q1(iii)

Adjoint and Inverse of Matrix Ex 7.1 Q1(iv)


Adjoint and Inverse of Matrix Ex 7.1 Q2(i)

Adjoint and Inverse of Matrix Ex 7.1 Q2(ii)

Adjoint and Inverse of Matrix Ex 7.1 Q2(iii)

Adjoint and Inverse of Matrix Ex 7.1 Q2(iv)


Adjoint and Inverse of Matrix Ex 7.1 Q3

Adjoint and Inverse of Matrix Ex 7.1 Q4

Adjoint and Inverse of Matrix Ex 7.1 Q5

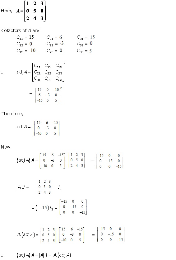
Adjoint and Inverse of Matrix Ex 7.1 Q6

Adjoint and Inverse of Matrix Ex 7.1 Q7 (i)

Adjoint and Inverse of Matrix Ex 7.1 Q7 (ii)

Adjoint and Inverse of Matrix Ex 7.1 Q7 (iii)

Adjoint and Inverse of Matrix Ex 7.1 Q7 (iv)

Adjoint and Inverse of Matrix Ex 7.1 Q8(i)

Adjoint and Inverse of Matrix Ex 7.1 Q8(ii)

Adjoint and Inverse of Matrix Ex 7.1 Q8(iii)

Adjoint and Inverse of Matrix Ex 7.1 Q8(iv)

Adjoint and Inverse of Matrix Ex 7.1 Q8(v)

Adjoint and Inverse of Matrix Ex 7.1 Q8(vi)

Adjoint and Inverse of Matrix Ex 7.1 Q8(vii)

Adjoint and Inverse of Matrix Ex 7.1 Q9(i)

Adjoint and Inverse of Matrix Ex 7.1 Q9(ii)

Adjoint and Inverse of Matrix Ex 7.1 Q10(i)

Adjoint and Inverse of Matrix Ex 7.1 Q10(ii)

Adjoint and Inverse of Matrix Ex 7.1 Q11

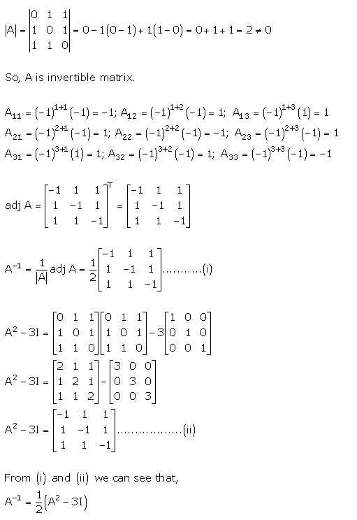
Adjoint and Inverse of Matrix Ex 7.1 Q12

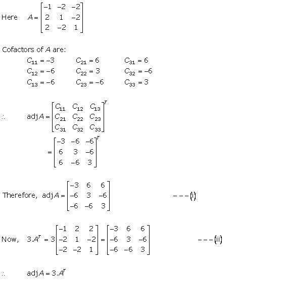
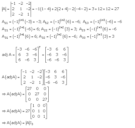
Adjoint and Inverse of Matrix Ex 7.1 Q13

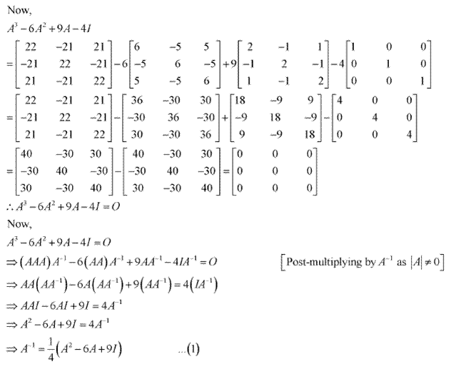
Adjoint and Inverse of Matrix Ex 7.1 Q14

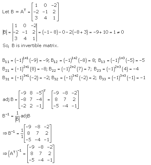
Adjoint and Inverse of Matrix Ex 7.1 Q15

Adjoint and Inverse of Matrix Ex 7.1 Q16(i)

Adjoint and Inverse of Matrix Ex 7.1 Q16(ii)

Adjoint and Inverse of Matrix Ex 7.1 Q16(iii)

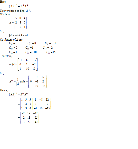
Adjoint and Inverse of Matrix Ex 7.1 Q17

Adjoint and Inverse of Matrix Ex 7.1 Q18

Adjoint and Inverse of Matrix Ex 7.1 Q19

Adjoint and Inverse of Matrix Ex 7.1 Q20

Adjoint and Inverse of Matrix Ex 7.1 Q21

Adjoint and Inverse of Matrix Ex 7.1 Q22

Adjoint and Inverse of Matrix Ex 7.1 Q23

Adjoint and Inverse of Matrix Ex 7.1 Q24



Adjoint and Inverse of Matrix Ex 7.1 Q25

Adjoint and Inverse of Matrix Ex 7.1 Q26



Adjoint and Inverse of Matrix Ex 7.1 Q27

Adjoint and Inverse of Matrix Ex 7.1 Q28

Adjoint and Inverse of Matrix Ex 7.1 Q29

Adjoint and Inverse of Matrix Ex 7.1 Q30

Adjoint and Inverse of Matrix Ex 7.1 Q31

Adjoint and Inverse of Matrix Ex 7.1 Q32

Adjoint and Inverse of Matrix Ex 7.1 Q33

Adjoint and Inverse of Matrix Ex 7.1 Q34

Adjoint and Inverse of Matrix Ex 7.1 Q35

Adjoint and Inverse of Matrix Ex 7.1 Q36

Adjoint and Inverse of Matrix Ex 7.1 Q37

Adjoint and Inverse of Matrix Ex 7.1 Q38

Adjoint and Inverse of Matrix Ex 7.1 Q39

HC Verma Concepts of Physics NCERT Solutions Homepage RD Sharma Solutions
More Resources for CBSE Class 12: