RD Sharma Class 12 Solutions Free online Chapter 2 Functions Ex 2.5
- Chapter 2 Functions Ex 2.3
- Chapter 2 Functions Ex 2.4
- Chapter 2 Functions Ex 2.5
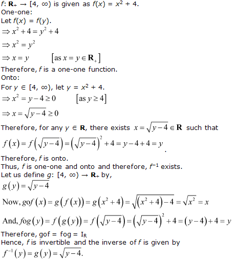
Functions Ex 2.5 Q 1.

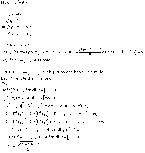
Functions Ex 2.5 Q2


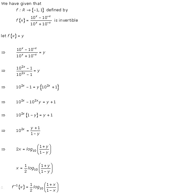
Functions Ex 2.5 Q3


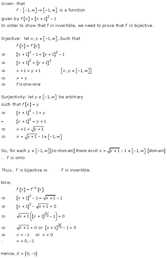
Functions Ex 2.5 Q4

Functions Ex 2.5 Q5

Functions Ex 2.5 Q6


Functions Ex 2.5 Q7

Functions Ex 2.5 Q8

Functions Ex 2.5 Q9


Functions Ex 2.5 Q10

Functions Ex 2.5 Q11

Functions Ex 2.5 Q12


Functions Ex 2.5 Q13

Functions Ex 2.5 Q14


Functions Ex 2.5 Q15

Functions Ex 2.5 Q16

Functions Ex 2.5 Q17

Functions Ex 2.5 Q18

Functions Ex 2.5 Q19

Functions Ex 2.5 Q20

Functions Ex 2.5 Q21

Functions Ex 2.5 Q22

