RD Sharma Class 12 Solutions Free online Chapter 2 Functions Ex2.2
- Chapter 2 Functions Ex 2.3
- Chapter 2 Functions Ex 2.4
- Chapter 2 Functions Ex 2.5
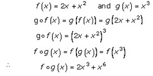
Functions Ex2.2 Q1(i)

Functions Ex2.2 Q1(ii)

Functions Ex2.2 Q1(iii)

Functions Ex2.2 Q1(iv)

Functions Ex2.2 Q1(v)

Functions Ex2.2 Q1(vi)

Functions Ex2.2 Q2

Functions Ex2.2 Q3

Functions Ex2.2 Q4

Functions Ex2.2 Q5

Functions Ex2.2 Q6

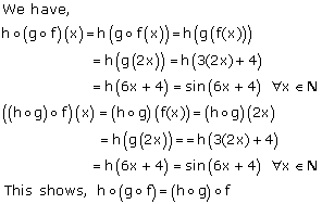
Functions Ex2.2 Q7

Functions Ex2.2 Q8

Functions Ex2.2 Q9

Functions Ex2.2 Q10

Functions Ex2.2 Q11

Functions Ex2.2 Q12

Functions Ex2.2 Q13

Functions Ex2.2 Q14
